You are currently viewing a new version of our website. To view the old version click .
Energies
  • Article
  • Open Access

25 January 2021

Investigation into the Impact of the Composition of Ethanol Fuel Deposit Control Additives on Their Effectiveness

,
,
and
Oil and Gas Institute—National Research Institute, 31-503 Kraków, Poland
*
Author to whom correspondence should be addressed.

Abstract

An increasing percentage of ethanol in fuel leads to significant changes in polarity and solubility, which makes conventional gasoline deposit control additives (DCAs) difficult to dissolve in ethanol fuels, resulting in the formation of deposits on engine elements. Critical areas of deposit formation in an engine are constituted by inlet valves, combustion chambers, and fuel injectors. As a consequence, operational parameters of the engine are disturbed to a large extent by the total effect of the deposits. To prevent the aforementioned phenomena, in the operation of engines fueled with ethanol-containing blends, it is necessary to use specifically prepared DCAs. The paper briefly presents a process of development of DCAs dedicated to high-ethanol fuels. Each of the prepared DCA formulations contained a substance having detergent-emulsifying properties (referred to in the text as DEM), a carrier oil, and a solvent. The composition and ratios of components used in the DCA, by testing their effectiveness in engine deposit formation, are verified. A motor station and a test procedure developed for this purpose were used. In search of alternative solutions to conventional polyisobutyleneamines (PIBA) and polyetheramines (PEA) surfactants, which have good solubility in hydrocarbons but not in ethanol, a substance with a benzoxazine structure and a Mannich base were synthesized. Their chemical structures were confirmed by nuclear magnetic resonance (NMR) DCAs were developed, and the effectiveness of their action was verified. Moreover, attention was paid to the dosage level of the DEM and the carrier oil in the DCA. Finally, it was confirmed in the studies carried out that DCAs used for improvement of conventional hydrocarbon engine gasolines are not efficient enough when used in E85 fuels. In the case of the latter, DCAs that have been specifically developed for such fuels should be used, because they have a different chemical structure, and are soluble in the ethanol-gasoline mixture in any ratio of both components.

1. Introduction

Considering the necessity to diversify fuels because of decreasing petroleum oil sources, accompanied by the increase in the demand for fuels and increasingly strict limitations on CO2 emissions, alternative fuels are becoming more significant. The fundamental criterion determining the possibility of using an alternative fuel for currently used vehicles is its pro-ecological properties, and ethanol fuels are characterized by such properties [1,2,3]. However, this does not mean that the use of ethanol-containing fuels is not connected to various problems and hazards for an engine’s operation. These problems require a solution for the safe and effective use of ethanol fuels.
Similarly, as in the case of conventional hydrocarbon fuels, a lack of adequate protection in commercial gasoline containing bioethanol and detergent additives leads to the formation of deposits on engine components [4,5,6]. Critical areas of deposit formation in an engine, leading to an adverse influence on the engine’s operational parameters, are constituted by inlet valves, combustion chambers, and fuel injectors. Usually, different types of deposits are present in an engine simultaneously and formed due to various factors. As a consequence, operational parameters of the engine are disturbed to a large extent by the total effect of the deposits [6,7,8,9,10,11,12,13]. Hard deposits on inlet valves and in combustion chambers limit airflow and change the pattern of the airflow turbulence in cylinders, disturbing the processes of blend formation and its combustion in the engine. In some engines with indirect fuel injection, even a low level of deposits on inlet valves may have a significant impact on the spatial distribution of the excess air in the blend and destructively affect the combustion processes in the engine. The impact of these deposits on the operational properties of the engine may be particularly noticeable during a difficult engine start-up and because of the increased fuel consumption and increased emissions of hazardous substances into the atmosphere. Under actual operating conditions, the emissions increase may be surprisingly high, because the deposits (particularly those having a loose, spongy structure) absorb fresh fuel temporarily and then release it, disturbing the proportions of the air-fuel blend formation. Disturbance and a lack of control over the ratio of air and fuel mixing not only increase the emissions originating from the engine but also decrease the efficiency of catalytic converters, and it may even cause them thermal damage. Other problems connected with deposits on valves manifest themselves through hindered movement or even the seizure of inlet valve stems in their runners. This leads to a burning of valve seats and their faces with a simultaneous misfiring and thus engine failure [6,7,8,9,10,11].
To maintain the purity of the inlet system (the prevention of deposit formation on inlet valves), the fuel injection system (the prevention of both internal and external deposits on components of the injectors), and the combustion chambers, adequately formulated batches of deposit control additives (DCAs) are used, containing, among others, detergent-emulsifying additives [14]. These detergent-emulsifying additives are composed of a hydrophilic group and a hydrophobic hydrocarbon chain. The hydrophilic functional group binds the deposits forming on the engine surfaces, while the hydrocarbon chain enables solubilization in the fuel [15]. Polyisobutyleneamines (PIBA) [16,17] and polyetheramines (PEA) [18,19] substances are used as standard detergent-emulsifying additives for engine gasolines. Their efficacy is so high that, despite the fact that they belong to older generations (Generation IV) of detergent-emulsifying additives, they are still commonly used [18]. On the other hand, the latest generations of this additive type include Mannich bases (Generation V) and derivatives of Mannich bases (Generation VI) [15]. Generation V and VI additives are able not only to prevent the formation of deposits in combustion chambers, but also to remove already formed deposits [19]. Examples of Generation V and VI additives having structures of Mannich bases and their derivatives are described, among others, in patent literature [20,21,22,23,24,25].
An increasing percentage of ethanol in fuel leads to significant changes in polarity and solubility, which makes conventional detergent-emulsifying additives for gasoline difficult to dissolve, resulting in the formation of deposits [18,19,20,21,22,23,24,25,26,27]. Such problems are described in [28], where, as a result of studies carried out using ethanol-containing fuel and commercial gasoline improved with standard additives, a distinct increase in the amount of deposits on inlet valves, in comparison to fuel that did not contain ethanol, was observed. The same problem was described in [29]. To prevent the aforementioned phenomena, in the case of engines fueled with ethanol-containing blends, it is necessary to use specifically prepared detergent additives with different chemical structures that are soluble in ethanol-gasoline mixtures in any ratio.
In the studies described in [9], tests of detergent-emulsifying additives conventionally used in commercial gasolines were carried out by improving the E85 fuel in them. When applying a typical concentration of additives used in commercial gasolines, the average content of deposits on valves amounted to 52 mg/valve. After increasing the concentration of the additive to a value intended for premium gasolines (Top Tier Detergent Gasoline), the amount of deposits was reduced to 27 mg/valve.
In investigations on the formation of deposits on inlet valves in a Flex Fuel Vehicle (FFV) engine with E85 fuel described in [10], standard detergent-emulsifying additives for (PIBA-based) gasolines were used, and applying an amount of over 300 mg/kg yielded satisfactory results.
In [30], the effectiveness of detergent-emulsifying additives in a Gasoline Direct Injection (GDI) engine fueled with hydrocarbon gasoline was compared. Three additives, products of Mannich synthesis and commercial PIBA- and PEA-based additives, were compared. In a specifically designed test procedure focused on increasing the carbonization of injector’s tips, the best results (6–7 times better than those of commercial additives) were obtained using Mannich bases.
In [31], the effectiveness of detergent-emulsifying additives—5 Mannich bases and 4 polyetheramines—in the prevention of any fouling at the injector’s tips in a GDI engine was compared. The best PEA additive obtained a flow reduction of 8%, while the worst Mannich base obtained one of 5.7% (with 3% obtained by the best one).
The prepared critical literature review proves that there is still a need for special DCA-type additives for ethanol fuels, which is the motivation and the goal of this project.
In the practical application of detergent additives, it is important to determine an optimal concentration of detergent-emulsifying additives in the fuel. At a low concentration, the amount of deposits may be even larger than when no additives are used. Overdosing is also undesirable, because it may intensify the formation of deposits and cause an increased emission of particulates [32].
In DCA-type additive batches for engine gasolines, carrier oils are used to increase the effectiveness of detergent-emulsifying additives. The oils cause a synergism with the detergent-emulsifying substances in these batches and reduce deposit formation on the engine components. Mineral carrier oils include base oils, aromatic hydrocarbons, paraffin hydrocarbons, and alkoxyalkanols, and synthetic carrier oils include polyolefins, polyesters, polyethers, carbamates, aliphatic polyetheramines, and carboxylic esters of long-chain alkanols [33,34,35,36].
The dosage level of carrier oils is connected to the amount of detergent-emulsifying additives present in the batch. Typically, the mass ratio of the detergent additive to the carrier oil ranges from 1:0.5 to 1:2.0 [37].
This paper briefly presents a process of development of DCA batches dedicated to high-ethanol fuels. The composition and ratios of components used in the DCA, by testing their effectiveness in engine deposit formation, are verified. A motor station and a test procedure are developed.

2. Materials and Methods

In search of alternatives to conventional PIBA and PEA surfactants, which have good solubility in hydrocarbons but not in ethanol, a substance with a benzoxazine structure and a Mannich base with a similar chemical structure, which are well-soluble in ethanol, were synthesized. Their chemical structures were confirmed using nuclear magnetic resonance spectroscopy. Detergent-emulsifying batches containing a detergent-emulsifying additive and a carrier oil were developed. Afterwards, their detergent-emulsifying substance–carrier oil ratio and their proper dosage level were selected based on the results of engine tests.
Mannich reactions consist of the condensation of three substrates: an aldehyde (usually formaldehyde), a first- or second-order amine, and a compound containing active hydrogen, e.g., a nitrile, an aliphatic nitro compound, or a phenol. The final result of the condensation is a Mannich base [38,39,40] (Figure 1).
Figure 1. Scheme of Mannich base synthesis reaction.
One of the methods for the preparation of 3,4-dihydro-2H-1,3-benzoxazines consists a two-step reaction of phenol derivatives with first-order amines in the presence of an aldehyde. In the first step, a Mannich base is obtained, and then again in the presence of an aldehyde, a benzoxazine derivative [41,42] (Figure 2).
Figure 2. Scheme of the 3,4-dihydro-2H-1,3-benzoxazine synthesis reaction.

2.1. Materials

For all engine tests, the same batch of E85 fuel additized with one of the compositions of DCA type additives prepared within the project was used. The physicochemical properties of the E85 fuel in comparison with the E0 fuel was presented in Table 1.
Table 1. Physicochemical properties of the E0 and E85 fuels.
3-(dimethylamino)-1-propylamine (99%) and 4-dodecylphenol mixture of isomers (98.5%) were purchased from Sigma–Aldrich Co. (St. Louis, MO, USA), xylene mixture of isomers pure (>98.5%) and formaldehyde 36–38% solution were purchased from Chempur (Piekary Śląskie, Poland), ethanol pure (>96%) was obtained from Alpinus Chemia Ltd. (Solec Kujawski, Poland) and methanol pure (>99.8%) from Avantor Performance Materials Poland Inc. (Gliwice, Poland) was used. All these chemicals were used without any further treatment.

2.2. Preparation of DCA

The DCA synthesis methods used in the studies (with reaction schemes—Figure 3 and Figure 4) are presented in Section 2.2.1 and Section 2.2.2 points.
Figure 3. Scheme of the 6-dodecyl-3-(N,N-dimethylaminopropyl)-3,4-dihydro-2H-[1,3]-benzoxazine (DEM1) synthesis reaction.
Figure 4. Scheme of the 2-(((3-dimethylaminopropyl)amino)methyl)-4-dodecylphenol (DEM2) synthesis reaction.

2.2.1. Preparation of 6-Dodecyl-3-(N,N-dimethylaminopropyl)-3,4-dihydro-2H-[1,3]-benzoxazine (DEM1)

Amounts of 0.05 mol 3-(dimethylamino)-1-propylamine and 0.05 mol 4‑dodecylphenol dissolved in methanol were placed in a round-bottom three-neck flask equipped with an azeotropic adapter with a reflux condenser and a dropper. The flask was placed in an oil bath positioned on a magnetic stirrer. The reaction mixture was cooled to 10 °C, and 0.1 mol formaldehyde was added dropwise for 8 min. During this time, the temperature of the reaction mixture was maintained at 10–12 °C. When the addition was complete, the temperature was increased to 60 °C and maintained for 60 min. Afterwards, the mixture was heated to 80 °C, and at this temperature, methanol was distilled off and replaced with xylene as received. When all methanol was distilled off, the temperature was increased to 145 °C. At this temperature, water introduced initially and obtained during the reaction was distilled off. DEM1 in the form of a dense liquid was obtained, with a TBN (total base number) of 246.5 mg KOH/g.

2.2.2. Preparation of 2-(((3-Dimethylaminopropyl)amino)methyl)-4-dodecylphenol (DEM2)

Amounts of 0.05 mol of 3-(dimethylamino)-1-propylamine and 0.05 mol of 4‑dodecylphenol dissolved in xylene were placed in a round-bottom three-neck flask equipped with an azeotropic adapter with a reflux condenser and a dropper. The flask was placed in an oil bath positioned on a magnetic stirrer. The reaction mixture was heated to 60 °C, and 0.05 mol formaldehyde was added dropwise for 4 min. When the adding was complete, the temperature was increased to 145 °C. At this temperature, water introduced initially and obtained during the reaction was distilled off. The mixture was maintained at this temperature for 180 min. DEM2 in the form of a dense liquid was obtained, with a total base number (TBN) of 279.8 mg KOH/g.

2.3. Preparation of Detergent-Emulsifying Additive Batches

Each of the prepared DCA batch formulations contained a substance with detergent-emulsifying properties, a carrier oil, and a solvent. Substances prepared in Oil and Gas Institute—National Research Institute (INiG—PIB): 6-dodecyl-3-(N,N-dimethylaminopropyl)-3,4-dihydro-2H-[1,3]-benzoxazine (DEM1) and 2-(((3-dimethylaminopropyl)amino)methyl)-4-dodecylphenol (DEM2)—were used as detergent-emulsifying additives. Commercial Petrotex DF30 carrier oil from PCC Synteza S.A., a propoxylated dodecylphenol, was used. As a solvent, Shellsol A150 from Shell Chemicals or an aromatic solvent obtained from petroleum oil processing was used, with a boiling range of 180–220 °C and an aromatic compound content higher than 99%. In Table 2, compositions of all tested formulations are shown.
Table 2. Compositions of the developed additive batch formulations.

2.4. Experimental Apparatus and Procedure

The studies were carried out on a test station with an FFV-type engine (FORD 1.8 L Duratec-HE PFI FFV (125 PS) MI4), factory-adapted to be fueled with a biofuel with an ethanol content up to 85% (v/v). Selected technical parameters of the engine are presented in Table 3.
Table 3. Selected technical parameters of the FORD 1.8 L Duratec-HE PFI FFV (125 PS) MI4 engine.
The engine has been mounted on the performance testing device with electric dynamometer type Zollner A-220AE. Before the start of the test, the test parameters were programmed with the Zollner PRE 5 system which is a controller for both the dynamometer and the test engine
Evaluations of fuels with various compositions for their tendency to form deposits on the engine components and the effectiveness of various DCA batches in the prevention of deposit formation were carried out in simulated engine tests. The test procedure included a 4-stage repeatable test cycle simulating average operating conditions of an engine during operation of a vehicle in low-intensity urban traffic (Table 4) and it is based on a 4-stage cycle contained in the Pan-European test procedure CEC F-20-98 developed by The Coordinating European Council for the Development of Performance Tests for Fuels, Lubricants and other Fluids. The test time was 100 h, during which the test cycle was successively repeated.
Table 4. Parameters and requirements of the 4-stage test cycle of the FORD FlexFuel engine.
Engine research and testing methodology for the evaluation of detergent and detergent-dispersing properties of high ethanol fuels included the following activities (parts):
  • preparation of the engine for testing, including removal of all deposits and contaminants that formed on its internal components during the previous test (inlet and outlet valves, combustion chambers, intake pipes, intake channels in the engine head). For each test, a new set of injectors is assumed (brand new set).
  • assembly of the engine for testing.
  • preparation of the ethanol fuel to be tested, including the package of additives used in it, defined in a qualitative and quantitative manner.
  • carrying out a full 100-h engine test under the conditions of a 4-phase cyclic test (Table 3).
  • removing the head from the engine, and then removing the intake valves and fuel injection system components.
  • mass evaluation of deposits formed on the intake valves and in the engine combustion chambers (according to CEC F-20-98—Mercedes Benz M111).
The deposits formed on the inlet valves and in the combustion chambers during the tests were evaluated by weight using methodology described in the CEC F-20-98 procedure (Mercedes Benz M111) [43,44].
Before weighing the valves at the end of the test, they are dipped in n-heptane for ten seconds and air dried for at least 10 min and a maximum of 2 h. Each valve is then weighed on a precision scale to an accuracy of at least one milligram to determine the total weight of the valve and all its deposits. The inlet valve deposit weight is determined by subtracting the weight of the clean intake valve that was determined before commencement of the test.
The test procedure consists of four stages:
1—stage
simulates unloaded engine operation at low speed (idle);
2—stage
transition from 1st to 2nd stage and 2nd stage reflects engine operation at soft acceleration, low load and engine speed (conditions of starting and slow acceleration of the vehicle);
3—stage
simulates prolonged operation of a lightly loaded engine (conditions of free movement of the vehicle in the city);
4—stage
simulates the working conditions of a lightly loaded engine at medium speed (conditions of fast vehicle movement through the city streets).

3. Results and Discussion

3.1. Structural Analysis of 6-Dodecyl-3-(N,N-dimethylaminopropyl)-3,4-dihydro-2H-[1,3]-benzoxazine (DEM1)

The 1H-NMR spectrum of the post-reaction sample of DEM1 in CDCl3 was recorded (Figure 5) using an Avance III 600 MHz apparatus from Bruker.
Figure 5. 1H-NMR spectrum of the DEM1 substance.
Two groups of signals characteristic of the benzoxazine structure were found. The first group was a pair of signals at approximately 4.8 ppm (two signals), originating from protons at a carbon atom located between the oxygen and nitrogen atoms. The second group (one signal) at approximately 3.9 ppm was a signal connected with a proton at the C7 atom located between the aromatic ring and the nitrogen atom.
Moreover, two distinct singlets at approximately 2.3 were present, originating from protons of the CH3 groups (C14, C28) connected to the nitrogen atom. The remaining signals were located in the range of 2.0–3.0 ppm and may be attributed to protons connected to carbon atoms in the remaining methylene groups connected with nitrogen atoms (C11 and C13), and to the methylene group of the aliphatic chain in the α position in relation to the ring (Figure 6).
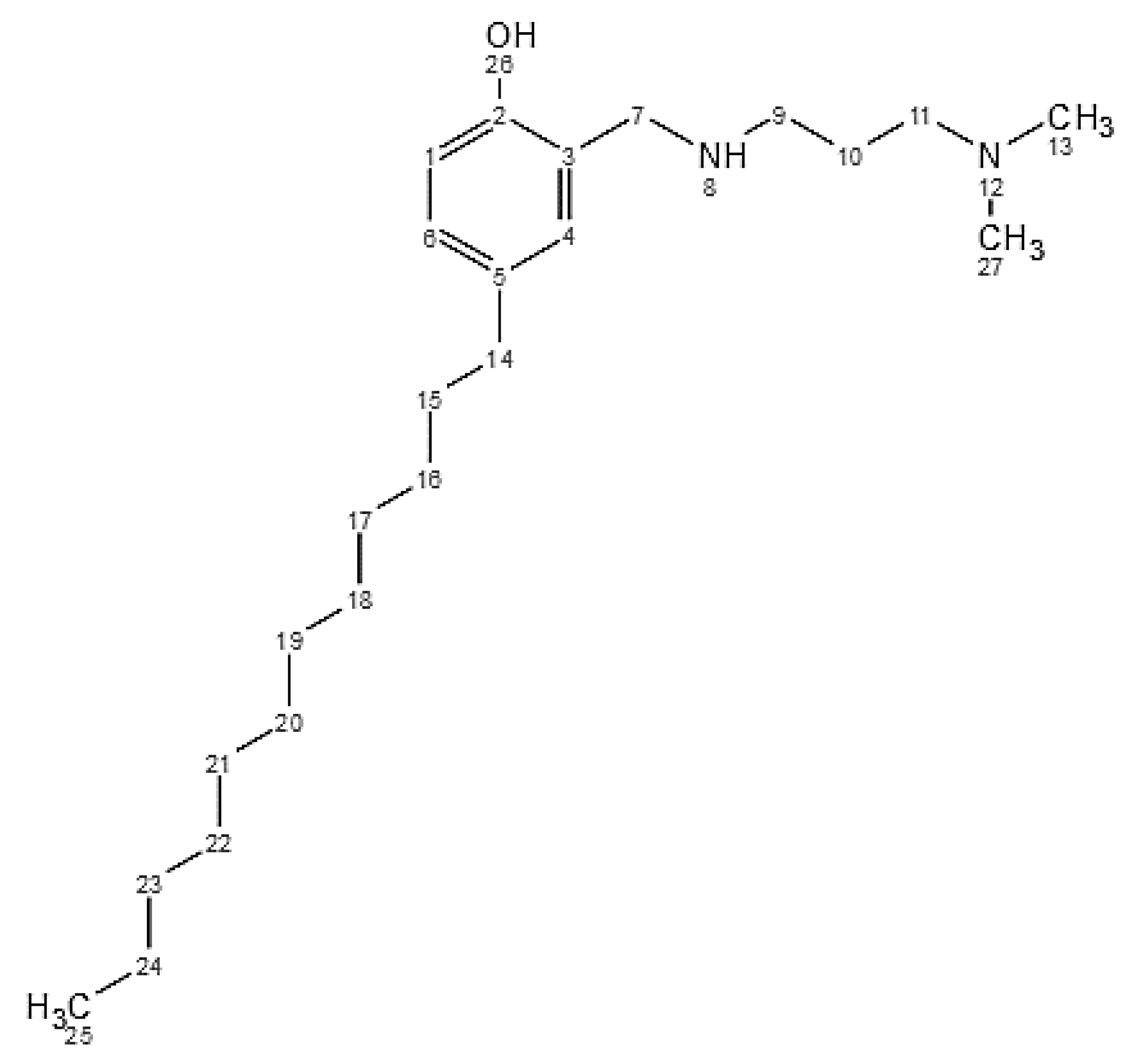
Figure 6. Structure of 6-dodecyl-3-(N,N-dimethylaminopropyl)-3,4-dihydro-2H-[1,3]-benzoxazine with numbered carbon atoms.
In the range of 1.5–2.0 ppm, signals of protons of methylene group from the aliphatic chain in the β position in relation to the ring and of the amine methylene group in the β position in relation to the nitrogen atom were observed. The remaining signals in the range of 0.5–1.5 ppm were typical for aliphatic structures, and their structure indicates a strong chain branching.
The proposed structure (Figure 6) is the main component of the DEM1 post-reaction mixture. In this connection, while analyzing integrations of protons, it is assumed that the reference integration of the aforementioned protons at the C7 atom are equal to 2H; for the other ranges, it was confirmed that the signal locations correspond to the assumed structural fragments and that the integrations are not smaller than those assumed. A higher integration of the individual ranges of the spectrum may result from the presence of by-products with higher molecular masses and a residue of the applied solvent in the mixture.

3.2. Structural Analysis of 2-(((3-Dimethylaminopropyl)amino)Methyl)-4-dodecylphenol (DEM2)

The 1H-NMR spectrum of the post-reaction sample of DEM2 in CDCl3 was recorded (Figure 7) using an Avance III 600 MHz apparatus from Bruker.
Figure 7. 1H-NMR spectrum of the DEM2 substance.
Two signals characteristics for Mannich bases, originating from protons at the C7 carbon atom, were found at approximately 3.9 ppm, located between the aromatic ring and the nitrogen atom.
Two distinct singlets at approximately 2.2 ppm originate from protons of CH3 groups (C13, C27) connected to the nitrogen atom. The remaining signals in the range of 2.0–3.0 ppm may be attributed to protons connected to carbon atoms in the remaining methylene groups connected with nitrogen atoms (C9 and C11) and to the methylene group of the aliphatic chain in the α position in relation to the ring. In the range of 1.5–2.0 ppm, signals of protons of the methylene group from the aliphatic chain in the β position in relation to the ring and of the amine methylene group in the β position in relation to the nitrogen atom were observed. The remaining signals in the range of 0.5–1.5 ppm are typical for aliphatic structures, and their structure indicates a strong chain branching.
The proposed structure (Figure 8) is the main component of the DEM2 post-reaction mixture. In this connection, while analyzing integrations of protons, it is assumed that the reference integration of the aforementioned protons at the C7 atom are equal to 2H; for the other ranges, it was confirmed that the signal locations correspond to the assumed structures and that the integrations are not smaller than those assumed. A higher integration of the individual ranges of the spectrum may result from the presence of by-products with higher molecular masses and a residue of the applied solvent in the mixture.
Figure 8. Structure of 2-(((3-dimethylaminopropyl)amino)methyl)-4-dodecylphenol with numbered carbon atoms.
Studies on DCA effectiveness started from selecting a ratio between the detergent-emulsifying additive (DEM) and Petrotex DF30 carrier oil. The tests were carried out in parallel, using both prepared additives, DEM1 and DEM2, and formulating DCAs with a ratio between the detergent-emulsifying additive and the carrier oil equal to, respectively, 1.0:1.1 (DCA1 and DCA2), 1.0:1.3 (DCA3 and DCA4), and 1.0:1.5 (DCA5 and DCA6) (Table 2). Results obtained in the engine tests are presented in Table 4. The evaluated parameters include the effectiveness of the aforementioned DCAs in preventing the formation of deposits on inlet valves, in combustion chambers, and in fuel injectors.
A change in the detergent-emulsifying additive–carrier oil ratio from 1.0:1.1 to 1.0:1.3 in the case of the pair of batches containing DEM1 additive (DCA1 and DCA3; Table 5) caused a 60% reduction in the amount of deposits on inlet valves and more than doubled the increase of deposits in combustion chambers. In addition, a slight decrease in the amount of deposits formed in the outlet ducts and around the outlet orifices of the fuel injectors was observed. Further increasing the carrier oil amount in relation to the detergent-emulsifying additive to the level of 1.0:1.5 (DCA5; Table 5) caused an increase in the amount of deposits on the inlet valves to the highest value detected while using the DEM1 additive, despite the fact that it reduced the amount of deposits in the combustion chambers to a value comparable to that observed in the case of the 1.0:1.1 ratio (DCA1). Moreover, deposits in the ducts and around the outlet orifices of the fuel injectors increased. Therefore, the most favorable ratio between the detergent-emulsifying additive and the carrier oil in DEM1-containing DCAs was 1.0:1.3 (DCA3; Table 2). It reduced the amount of deposits on the inlet valves to 6 mg/valve and maintained an amount of deposits in the combustion chambers at a level not exceeding 2000 mg and a low decontamination level of fuel injectors (Table 5).
Table 5. Deposits on inlet valves, in combustion chambers, and in fuel injectors with different amounts of detergent-emulsifying additive and carrier oil.
The amount of deposits on the inlet valves obtained as a result of the tests of DCA2-, DCA4-, and DCA6-improved fuels (Table 5), or as a result of the DEM2 detergent-emulsifying additive, exhibited a downward trend with an increase in the amount of the carrier oil in the batch, from 19 mg/valve (DCA2) to 8 mg/valve (DCA6). Simultaneously, there was a gradual increase in the amount of deposits in the combustion chambers from 1650 mg (DCA2) to 2636 mg (DCA6) (Table 5). The application of DCA4 instead of DCA2 reduced the size of the deposits in the fuel injectors (visually method), too. Ultimately, in the case of DEM2-containing DCAs, despite the fact that a good result was obtained for DCA6 (8 mg/valve) (Table 5), the possibility of its further testing was turned down because of a high level of deposits in the combustion chamber, approaching a value of 3000 mg, and an abrupt increase in the size of deposits in the fuel injectors. DCA4 was selected for further tests, in which the ratio between the detergent-emulsifying additive and the carrier oil amounted to 1.0:1.3 (Table 2). For this DCA, the amount of deposits on the inlet valves did not exceed 15 mg/valve; in the combustion chambers, it was only slightly larger than 2000 mg (Table 5).
Further tests were aimed at a determination of dosage levels of the detergent-emulsifying additive, which ensure the highest DCA effectiveness. Batches in which the amount of the detergent-emulsifying additives (DEM) was increased from 72 mg/kg (DCA7 and DCA8), to 117 mg/kg (DCA3 and DCA4), and to 162 mg/kg (DCA9 and DCA10) (while maintaining the selected ratio of the DEM1 and DEM2 additives to the carrier oil) were tested (Table 2 and Table 6).
Table 6. Deposits on inlet valves, in combustion chambers, and in fuel injectors with different dosages of detergent-emulsifying additives DEM1 and DEM2.
In comparison with the results obtained for the DEM1 dosage level of 72 mg/kg (DCA7), an increase in the dosage of this additive to 117 mg/kg (DCA3) (Table 2) caused a significant drop of deposit mass on the inlet valves to 6 mg/valve and a more than 2-fold higher mass of deposits in the combustion chambers, albeit not exceeding 2000 mg (Table 6). In addition, a slight decrease in deposits in the evaluated areas of the fuel injectors was found. The results obtained by increasing the DEM1 dosage to 162 mg/kg (DCA9) (Table 2) were probably an effect of a so-called “overdosing,” leading to an increase in the amount of deposits on the inlet valves to a value higher than that while using DEM1 at the lowest of the tested dosage levels (Table 6). A significant increase was also observed in deposits in fuel injectors. The obtained results illustrate a phenomenon also shown in [32,41]. The increase in the amount of deposits is connected to an increasing dosage of detergent-emulsifying additives (DEM) that exceeds a certain optimal level.
In the case of DCA containing the DEM2 detergent-emulsifying additive, it was observed that an increase in the dosage level was accompanied by a gradual decrease in the mass of deposits on the inlet valves from 21 mg/valve (DCA8) to 14 mg/valve (DCA4), to a very low value of 7 mg/valve (DCA10) (Table 6). In the case of application of DCA4 and DCA10, a very small amount of deposits contaminating fuel injectors was found. The mass of deposits in the combustion chambers, after an initial increase from 1142 mg to 2133 mg, decreased to 1141 mg at the highest dosage of the DEM2 additive (DCA10) (Table 6).
The effectiveness of two DCA batches from renowned manufacturers designated as “X” and “Y” was evaluated (Table 7). The DCA batches were used in the amount of 600 mg/kg, corresponding to the dosage applied in the earlier presented tests of the newly developed DCA (Table 5 and Table 6). The obtained results were compared with those obtained for the base (unimproved) E85 fuel and for a fuel prepared by mixing E95 commercial gasoline (in accordance with EN 228) with ethanol. E85 fuel prepared by mixing E95 commercial gasoline with ethanol exhibited an almost twofold increase in the mass of the deposits on the inlet valves (from 30 mg/valve to 59 mg/valve) and a fivefold increase in the mass of the deposits in the combustion chambers (from 426 mg to 2163 mg). This confirms the thesis on the incompatibility with ethanol, and the lack of effectiveness of additives used for hydrocarbon gasolines in the case of E85 fuel (Table 7).
Table 7. Effectiveness tests results of deposit control additives (DCA) batches from renowned manufacturers X and Y.
The application of commercial DCA X1 caused a significant decrease in the mass of the deposits on the inlet valves in relation to the mass of the deposits forming during tests of unimproved gasoline (from 30 to 6 mg/valve), and commercial DCA Y1 reduced this parameter from 30 to 20 mg/valve. The application of both commercial DCA X1 and commercial DCA Y1 resulted in an increase in the amount of deposits in the combustion chambers from 426 mg (for base E85) to 2050 mg (commercial DCA X1) and to 807 mg (commercial DCA Y1) (Table 7).

4. Conclusions

The research described in this paper confirmed that ethanol blends require dedicated DCA packages. The process of selecting the composition and proportions of DCA components is also of great importance, which is described in the article. Below, the most important indications and conclusions that were drawn from the conducted research.
  • It was confirmed that deposit control additives (DCAs) used for the improvement of conventional hydrocarbon engine gasolines are not efficient enough when used in E85 fuels. DCAs specifically developed for E85 fuels should have a different chemical structure and be soluble in an ethanol-gasoline mixture at any ratio.
  • The effectiveness of DCAs developed for E85 fuels is largely affected by the selection of the ratio between the detergent-emulsifying additive (DEM) and the carrier oil.
  • When optimizing the effectiveness of DCAs developed for E85 fuels, a proper selection of dosage level of the detergent-emulsifying additive (DEM) and the carrier oil in the DCA batch should be taken into account.
  • DCAs containing detergent-emulsifying additives with a benzoxazine structure and a Mannich base structure, when used with a proper amount of carrier oil and with a properly selected dosage level, can effectively reduce the mass of deposits forming on inlet valves at a level that is comparable to or greater than the level achieved by commercial additives, and can reduce deposit formation in combustion chambers at a level that is comparable to or slightly greater than the level achieved by the reference commercial additives.
  • In the case of the FlexFuel-type engine with port fuel injection (PFI) used for the study, no correlation between the changes in the size of injector deposits and the changes in the size of deposits on the inlet valves and in combustion chambers was found.

Author Contributions

Conceptualization, Z.S., G.Ż., J.M. and M.W.; methodology, Z.S. and G.Ż.; formal analysis, Z.S. and J.M.; investigation, Z.S., G.Ż. and J.M.; resources, Z.S and G.Ż.; data curation, J.M.; writing—original draft preparation, Z.S., G.Ż., J.M and M.W.; writing—review and editing, Z.S., J.M., and M.W.; visualization, J.M. and M.W.; supervision, Z.S.; project administration, M.W. All authors have read and agreed to the published version of the manuscript.

Funding

This research was funded by the Ministry of Science and Higher Education of Republic of Poland.

Institutional Review Board Statement

Not applicable.

Data Availability Statement

Not applicable.

Acknowledgments

This work was supported by the Ministry of Science and Higher Education of Republic of Poland, grant numbers INiG-PIB/0091/TE/17/01 and INiG-PIB/0046/TE/16.

Conflicts of Interest

The authors declare no conflict of interest.

References

  1. Pałuchowska, M.; Stępień, Z.; Żak, G. The prospects for the use of ethanol as a fuel component and its potential in the reduction of exhaust emissions. Combust. Engines 2014, 158, 80–92. [Google Scholar]
  2. Stępień, Z. Multidirectional investigations of high-ethanol fuels on deposit formation in spark ignition engines. Combust. Engines 2015, 162, 608–618. [Google Scholar]
  3. Magaril, E.; Magaril, R.; Al-Kayiem, H.H.; Skvortsova, E.; Anisimov, I.; Rada, E.R. Investigation on the Possibility of Increasing the Environmental Safety and Fuel. Sustainability 2019, 11, 2165. [Google Scholar] [CrossRef] [Green Version]
  4. Kalghatgi, G. Fuel/Engine Interactions; SAE International: Warrendale, PA, USA, 2013; ISBN 978-0-7680-6458-2. [Google Scholar]
  5. Orhan, A.; Semith, E. Carbon Deposit Formation From Thermal Stressing of Petroleum Fuels. Prepr. Pap. Am. Chem. Soc. Div. Fuel Chem. 2004, 49, 764. [Google Scholar]
  6. Schwahn, H.; Lutz, U. Deposit Formation of Flex Fuel Engines Operated on Ethanol and Gasoline Blends; SAE Paper No. 2010-01-1464; SAE International: Warrendale, PA, USA, 2010. [Google Scholar]
  7. Parsinejad, F.; Biggs, W. Direct Injection Spark Ignition Engine Deposit Analysis: Combustion Chamber and Intake Valve Deposits; SAE Paper No. 2011-01-2110; SAE International: Warrendale, PA, USA, 2010. [Google Scholar]
  8. Stępień, Z. Intake valve and combustion chamber deposits formation–the engine and fuel related factors that impacts their growth. Nafta Gaz 2014, 4, 28–34. [Google Scholar]
  9. Vilardo, J.S.; Arters, D.; Corkwell, K.; Cerda de Groote, C.L. A Comprehensive Examination of the Effect Ethanol-Blended Gasoline on Intake Valve Deposits in Spark-Ignited Engines; SAE Technical Paper No. 2007-01-3995; SAE International: Warrendale, PA, USA, 2007. [Google Scholar]
  10. DuMont, R.J.; Cunningham, L.; Oliver, M.K.; Studzinski, W.M.; Galante-Fox, J.M. Controlling Induction System Deposits in Flexible Fuel Vehicles Operating on E85; SAE Technical Paper No. 2007-01-4071; SAE International: Warrendale, PA, USA, 2007. [Google Scholar]
  11. Russell, M.; Cummings, J.; Cushing, T.; Studzinski, W. Cellulosic Ethanol Fuel Quality Evaluation and its Effects on PFI Intake Valve Deposits and GDI Fuel Injector Plugging Performance; SAE Technical Paper No. 2013-01-0855; SAE International: Warrendale, PA, USA, 2013. [Google Scholar]
  12. Marrodán, L.; Fuster, M.; Millera, A.; Bilbao, R. Ethanol as a Fuel Additive: High-Pressure Oxidation of Its Mixtures with Acetylene. Energy Fuels 2018, 32, 10078–10087. [Google Scholar] [CrossRef] [Green Version]
  13. Tibaquirá, J.E.; Huertas, J.I.; Ospina, S.; Quirama, L.F.; Niño, J.E. The Effect of Using Ethanol-Gasoline Blends on the Mechanical. Energy and Environmental Performance of In-Use Vehicles. Energies 2018, 11, 221. [Google Scholar] [CrossRef] [Green Version]
  14. Gibbs, L.M. Gasoline Additives-When and Why. SAE Trans. J. Fuels Lubr. 1990, 99, 618–638. [Google Scholar]
  15. Danilov, A.M. Progress in research on fuel additives (review). Pet. Chem. 2015, 55, 69–179. [Google Scholar] [CrossRef]
  16. Graupner, O.; Mundt, M.; Schütze, A.; Louis, J.J.J.; Kendall, D.R.; Tait, N.P. Gasoline Additives. U.S. Patent 7901470, 8 March 2011. [Google Scholar]
  17. Mingxing, F.; Shumin, C.; Xinchang, Z.; Wenbiao, L.; Yongsheng, C. Petrol. Detergent Capable of Reducing Deposit of Gasoline Engine Combustion Chamber. Patent CN 101230297, 25 November 2009. [Google Scholar]
  18. Babic, G.T. Classification System for Gasoline Detergent Performance. International Symposium of Fuels and Lubricants; ISFL-1997; Proceedings: New Delhi, India, 1997; ISFL-1997. [Google Scholar]
  19. Srivastava, S.P.; Hancsók, J. Fuels and Fuel Additives; Wiley and Sons, Inc.: Hoboken, NJ, USA, 2014. [Google Scholar]
  20. Roberts, R.; Ross, A.N. Composition, Method and Use. Patent GB 201705089, 30 March 2017. [Google Scholar]
  21. Obiols, J. Composition of Fuel Additives. Patent FR 3074498, 17 April 2019. [Google Scholar]
  22. Lange, A.; Böhnke, H.; Grabarse, W.; König, H.M.; Hansch, M.; Völkel, L.; Castro, I.G. Polytetrahydrobenzoxazines and Bistetrahydrobenzoxazines and Use Thereof as a Fuel Additive or Lubricant Additive. U.S. Patent 9006158, 2015. [Google Scholar]
  23. Lange, A.; Rath, H.P.; Posselt, D.; Trötsch-Schaller, L.; Walter, M. Method for Producing Mannich Adducts that Contain Polyisobutylene Phenol. Patent WO 2001025293, 12 November 2004. [Google Scholar]
  24. Ali, R.; Filip, S.V. Fuel Compositions with Additives. Patent WO 2017137519, 17 August 2017. [Google Scholar]
  25. Schifter, U.; González, C.; González-Macías, R. Effects of ethanol, ethyl-tert-butyl ether and dimethyl-carbonate blends with gasoline on SI engine. Fuel 2016, 183, 253–261. [Google Scholar] [CrossRef]
  26. Sharudin, H.; Abdullah, N.R.; Najafi, G.; Mamat, R.; Masjuki, H.H. Investigation of the effects of iso-butanol additives on spark ignition engine fuelled with methanol-gasoline blends. Appl. Therm. Eng. 2017, 114, 593–600. [Google Scholar] [CrossRef] [Green Version]
  27. Najjar, R. Application and Characterization of Surfactants; BoD: Norderstedt, Germany, 2017. [Google Scholar]
  28. Shilbolm, C.M.; Schoonveld, G.A. Effect on Intake Valve Deposits of Ethanol and Additives Common to the Available Ethanol Supply; SAE Paper No. 902109; SAE International: Warrendale, PA, USA, 1990. [Google Scholar]
  29. Renewable Fuels Association (RFA) Fuel Ethanol Industry Guidelines, Specifications and Procedures. July 2018. Available online: https://ethanolrfa.org/wp-content/uploads/2018/07/Fuel-Ethanol-Industry-Guidelines-Specifications-2018.pdf (accessed on 19 June 2020).
  30. Aradi, A.A.; Evans, J.; Miller, K.; Hotchkiss, A. Direct Injection Gasoline (DIG) Injector Deposit Control with Additives; SAE Technical Paper No. 2003-01-2024; SAE International: Warrendale, PA, USA, 2003. [Google Scholar]
  31. Aradi, A.A.; Colucci, W.J.; Scull, H.M.; Openshaw, M.J. A Study of Fuel Additives for Direct Injection Gasoline (DIG) Injector Deposit Control; SAE Technical Paper No. 2000-01-2020; SAE International: Warrendale, PA, USA, 2000. [Google Scholar]
  32. Turovskii, F.V. In Proceedings of the V International Scientific-Practical Conference on New Fuels with Additives (APRIS), St. Petersburg, Russia, 20–23 May 2008; p. 23.
  33. Colucci, W.J.; Pettigrew, F.A.; Cunningham, F.J. Additives for Minimizing Intake Valve Deposits, and Their Use. U.S. Patent 5634951, 3 June 1997. [Google Scholar]
  34. Voelkel, L.; Hansch, M.; Hayden, Y.; Walter, M.; Kashani-Shirazi, N.; Weiss, T. Use of Polyalkylene Glycol to Reduce Fuel Consumption. U.S. Patent 20150113859, 30 April 2015. [Google Scholar]
  35. Wolf, L.R. Low Sulfur Fuel Compositions having Improved Lubricity. U.S. Patent 20130180164, 18 July 2013. [Google Scholar]
  36. Cunningham, L.J. Biodegradable Fuel Performance Additives. U.S.Patent 9562498, 7 February 2017. [Google Scholar]
  37. Burgess, V.; Reid, J.; Mulqueen, S. Gasoline Composition, Method and Use. U.S. Patent 9932536, 3 April 2018. [Google Scholar]
  38. Miller, F.P.; Vandome, A.F.; McBrewster, J. Mannich Base; Alphascript Publishing: Saarbrücken, Germany, 2010. [Google Scholar]
  39. Cummings, T.F.; Shelton, J.R. Mannich Reaction Mechanisms. Org. Chem. 1960, 25, 419–423. [Google Scholar] [CrossRef]
  40. Markowski, J.; Krasodomski, W. Synthesis of new surface-active substance. Przemysł Chem. 2016, 5, 920–927. [Google Scholar]
  41. Deng, Y.; Zhang, Q.; Zhang, H.; Zhng, C.; Wang, W.; Gu, Y. Kinetics of 3,4-Dihydro-2H-3-phenyl-1,3-benzoxazine Synthesis from Mannich Base and Formaldehyde. Ind. Eng. Chem. Res. 2014, 53, 1933–1939. [Google Scholar] [CrossRef]
  42. Ishida, H.; Agag, T. Handbook of Benzoxazine Resins; Elsevier: Amsterdam, The Netherlands, 2011. [Google Scholar]
  43. Danilov, A.M. Research on Fuel Additives During 2011–2015. Chem. Tech. Fuels Oil. 2017, 53, 705–721. [Google Scholar] [CrossRef]
  44. Deposit Forming Tendency on Intake Valves; Test Method No. CEC-F-20-98; The Coordinating European Council for the Development of Performance Tests for Fuels, Lubricants and other Fluids: Brussels, Belgium, 2019.
Publisher’s Note: MDPI stays neutral with regard to jurisdictional claims in published maps and institutional affiliations.

Article Metrics

Citations

Article Access Statistics

Multiple requests from the same IP address are counted as one view.