Modeling the Impact of Electric Vehicle Charging Infrastructure on Regional Energy Systems: Fields of Action for an Improved e-Mobility Integration
Abstract
:1. Introduction
2. Literature Review
3. Materials and Methods
3.1. Agent-Based e-Mobility Model
- Modeling spatially resolved CS availability;
- Regional parametrization and easy adoption to various regions.
3.1.1. Model Framework
Input Parameters
Model Setup and Simulation
3.2. Procedure and Experimental Data
3.2.1. Multi-Output Sobol Sensitivity and Correlation Analysis
3.2.2. Regional Parametrization and Reference Scenario
3.2.3. Sensitivity Input Parameters
3.2.4. Key Model Output Parameters
4. Results and Discussion
4.1. Urban and Rural Reference Scenarios
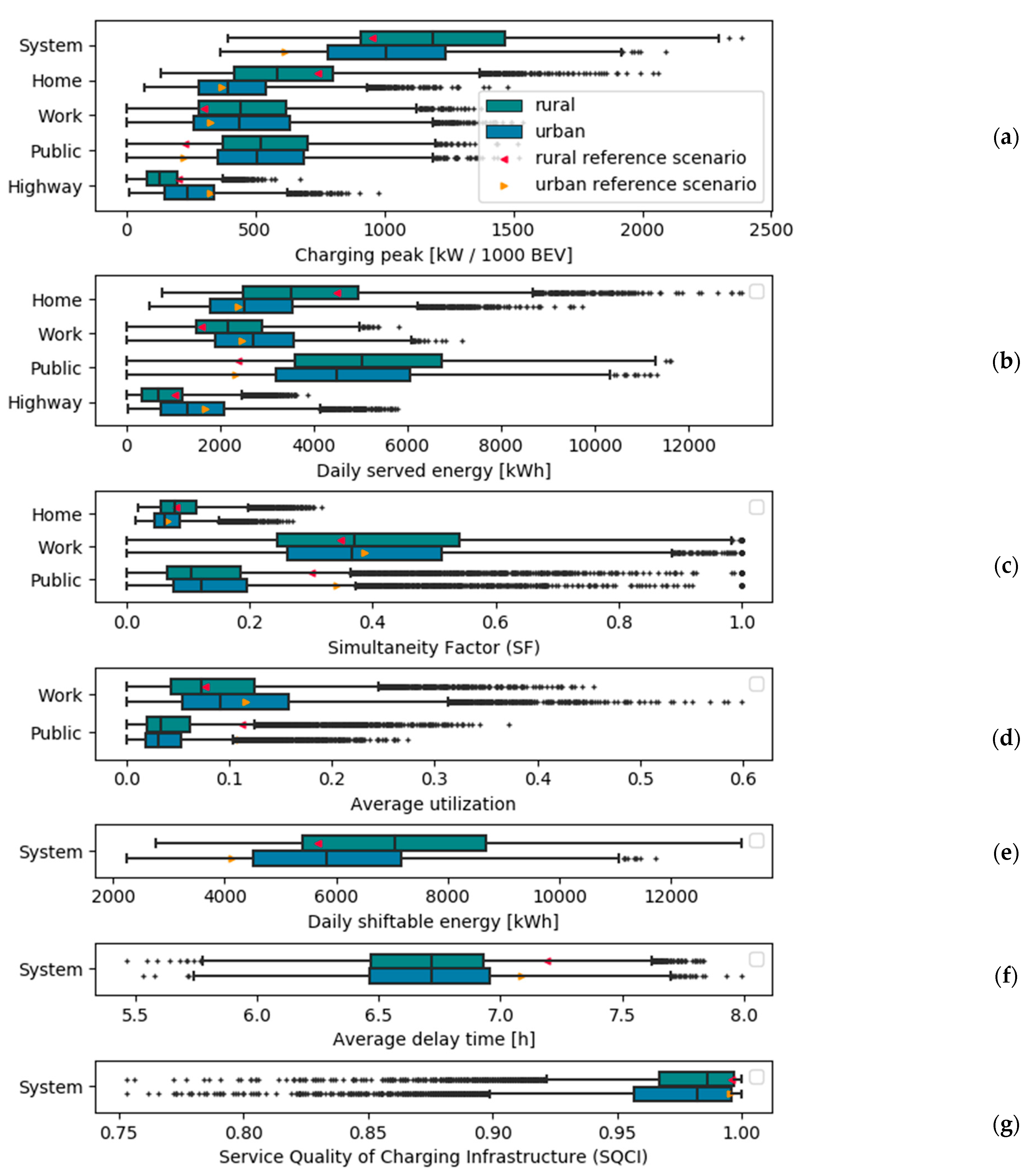
4.2. Model Output Parameter Uncertainties
4.3. Impact Quantification
5. Conclusions and Implications
- Differences in urban and rural areas exist, particularly evident in the charging peak and the charging station utilization;
- Highway charging especially in urban areas required with, on average, 1.9 times more highway charging demand;
- High charging peak uncertainty with expected aggregated regional loads between 400–2300 kW per 1000 BEV;
- High availability of daily shiftable energy with, on average, 7000 kWh in rural areas and a feasible load shift between 5 and 8 h;
- Relatively low utilization rates of public chargers expected with a mean of 7% (urban) and 3% (rural).
- Energy demand and battery size of BEVs are the main driver for the required charging infrastructure.
- Charging power (except highway) explains less than 16% of the peak load variance and is therefore significantly less influential compared to BEVs’ energy consumption and charger availability;
- Highway charging peak load is explained by up to 55% by highway charging power;
- Residential peak load explained by up to 51% by home charger access;
- Cross-locational effects matter: home charging peak explained up to 18% by public charger availability;
- Low effect of charging station parameters on shiftable energy, but the average delay time is explained up to 59% by charger’s availability;
- Highly competitive market: number of public chargers explain up to 69% of the utilization of public chargers.
- Energy system integration: The higher the average consumption of the actual vehicle fleet, the more critical it is to utilize the simultaneously increasing flexibility potential of charging processes by efficient control mechanisms. Considering the significance of the BEVs’ energy consumption, all grid assessment and flexibility studies need to be assessed with respect to their assumptions referring to the usable flexibility potential. In deeply decarbonized energy systems, the value of increased flexibility from charging processes for the integration of renewable energy sources could exceed the impact of the increased charging demand due to an increased temporal oversupply of renewable power. In addition, the flexibility of charging processes in rural areas tend to be greater by 16% compared to the urban areas, revealing great potential for future distributed energy systems and direct alignment with rooftop photovoltaics. Furthermore, while the number of stations at one location is the strongest lever (48–71%) for the peak load at the same location (250–2000 kW per 1000 BEVs), it also attenuates the peak load at other locations significantly with up to 18%. Therefore, we recommend to scatter investment incentives across a variety of different locations to distribute the upcoming charging demand. Holistic modeling approaches must be used to assess these locations and finally, to improve the allocation efficiency.
- Economic viability of charging infrastructure: In particular, the projected energy consumption and battery sizes are strong indicators for the potential infrastructure market volume within a region as well as for the economic viability of CSs. Higher charging power can decrease the economic viability of stations since it comes with higher technology cost, higher grid fees and reduced utilization. Moreover, the average utilization of public charging points is significantly affected by their distribution at other locations especially public (up to 69% impact) and home (up to 7% impact). Hence, we recommend for further roll outs to consider that a higher charging power can impair the business case of charging operators without significant positive impacts on the quality of service. Additionally, competition between different locations must be investigated carefully before building up an extensive infrastructure to enhance the long-term investment security.
- Service quality of charging infrastructure (SQCI): The SQCI is predominantly affected by the vehicle fleet within a region. That is why BEV market projections should be studied concisely when assessing the charging infrastructure needs within a region. Regions with expected higher energy consumption, e.g., due to extreme climates or long travel distances require more CSs, which increases their market volume. This study found two fundamentally different approaches for increasing the SQCI for rural and urban areas most effectively. That is, that urban areas’ SQCI can be enhanced by implementing DC fast charging stations (13% impact) with high charging power while rural areas’ SQCI should be tackled with more focus on public locations (19% impact). Further studies should reveal the different costs of improving SQCI by implementing those measures.
Author Contributions
Funding
Institutional Review Board Statement
Informed Consent Statement
Conflicts of Interest
Abbreviations
| BEV | Battery Electric Vehicle |
| CS | Charging Station |
| DCFC | Direct Current Fast Charging |
| SOC | State of Charge |
| SQCI | Service Quality of deployed Charging Infrastructure |
Appendix A

Appendix B

Appendix C

Appendix D

Appendix E

References
- International Energy Agency. Global EV Outlook 2020. 2020. Available online: https://www.iea.org/reports/global-ev-outlook-2020 (accessed on 1 June 2020).
- The European Parliament and the Council. Directive 2014/94/EU on the Deployment of Alternative Fuels Infrastructure (AFID), 2014/94/EU. 2014. Available online: https://eur-lex.europa.eu/legal-content/EN/TXT/PDF/?uri=CELEX:32014L0094 (accessed on 8 November 2021).
- Bundesnetzagentur. Ladesäulenregister Bundesnetzagentur. 2020. Available online: https://www.bundesnetzagentur.de/SharedDocs/Downloads/DE/Sachgebiete/Energie/Unternehmen_Institutionen/E_Mobilitaet/Ladesaeulenkarte_Datenbankauszug.xlsx?__blob=publicationFile&v=9 (accessed on 8 November 2021).
- Bundesregierung Deutschland. Masterplan Ladeinfrastruktur der Bundesregierung—Ziele und Maßnahmen für den Ladeinfrastrukturaufbau bis 2030. 2019. Available online: https://www.bmvi.de/SharedDocs/DE/Anlage/G/masterplan-ladeinfrastruktur.pdf?__blob=publicationFile (accessed on 8 November 2021).
- Deb, S.; Tammi, K.; Kalita, K.; Mahanta, P. Review of recent trends in charging infrastructure planning for electric vehicles. WIREs Energy Environ. 2018, 7, e306. [Google Scholar] [CrossRef] [Green Version]
- Alhelou, H.H.; Siano, P.; Tipaldi, M.; Iervolino, R.; Mahfoud, F. Primary Frequency Response Improvement in Interconnected Power Systems Using Electric Vehicle Virtual Power Plants. WEVJ 2020, 11, 40. [Google Scholar] [CrossRef]
- Nayak, A.; Rana, R.; Mishra, S. Frequency Regulation by Electric Vehicle during Grid Restoration using Adaptive Optimal Control. IFAC-PapersOnLine 2019, 52, 270–275. [Google Scholar] [CrossRef]
- Babrowski, S.; Heinrichs, H.; Jochem, P.; Fichtner, W. Load shift potential of electric vehicles in Europe. J. Power Sources 2014, 255, 283–293. [Google Scholar] [CrossRef] [Green Version]
- Schäuble, J.; Kaschub, T.; Ensslen, A.; Jochem, P.; Fichtner, W. Generating electric vehicle load profiles from empirical data of three EV fleets in Southwest Germany. J. Clean. Prod. 2017, 150, 253–266. [Google Scholar] [CrossRef] [Green Version]
- Schlößer, T.; Troster, E.; Hülsmann, L. Probabilistic Modeling of Charging Profiles in Low Voltage Networks. In Proceedings of the 2nd E-Mobility Power System Integration Symposium, Stockholm, Sweden, 15 October 2018; p. 5. [Google Scholar]
- Tehrani, N.H.; Wang, P. Probabilistic estimation of plug-in electric vehicles charging load profile. Electr. Power Syst. Res. 2015, 124, 133–143. [Google Scholar] [CrossRef]
- Uimonen, S.; Lehtonen, M. Simulation of Electric Vehicle Charging Stations Load Profiles in Office Buildings Based on Occupancy Data. Energies 2020, 13, 5700. [Google Scholar] [CrossRef]
- Brady, J.; O’Mahony, M. Modelling charging profiles of electric vehicles based on real-world electric vehicle charging data. Sustain. Cities Soc. 2016, 26, 203–216. [Google Scholar] [CrossRef]
- Harbrecht, A.; McKenna, R.; Fischer, D.; Fichtner, W. Behavior-oriented Modeling of Electric Vehicle Load Profiles: A Stochastic Simulation Model Considering Different Household Characteristics, Charging Decisions and Locations. Karlsruhe, April 2018. No. 29. Available online: https://doi.org/10.5445/IR/1000082537 (accessed on 8 November 2021).
- Ul-Haq, A.; Azhar, M.; Mahmoud, Y.; Perwaiz, A.; Al-Ammar, E. Probabilistic Modeling of Electric Vehicle Charging Pattern Associated with Residential Load for Voltage Unbalance Assessment. Energies 2017, 10, 1351. [Google Scholar] [CrossRef]
- VDE|FNN, BDEW. Metastudie Forschungsüberblick Netzintegration Elektromobilität (Study); FGH e.V.: Aachen, Germany, 2018. [Google Scholar]
- Sheppard, C.J.R.; Harris, A.; Gopal, A.R. Cost-Effective Siting of Electric Vehicle Charging Infrastructure With Agent-Based Modeling. IEEE Trans. Transp. Electrific. 2016, 2, 174–189. [Google Scholar] [CrossRef]
- Liu, J. Electric vehicle charging infrastructure assignment and power grid impacts assessment in Beijing. Energy Policy 2012, 51, 544–557. [Google Scholar] [CrossRef]
- Soylu, T.; Anderson, J.E.; Böttcher, N.; Weiß, C.; Chlond, B.; Kuhnimhof, T. Building Up Demand-Oriented Charging Infrastructure for Electric Vehicles in Germany. Transp. Res. Procedia 2016, 19, 187–198. [Google Scholar] [CrossRef]
- Das, H.S.; Rahman, M.M.; Li, S.; Tan, C.W. Electric vehicles standards, charging infrastructure, and impact on grid integration: A technological review. Renew. Sustain. Energy Rev. 2020, 120, 109618. [Google Scholar] [CrossRef]
- Han, Q.; de Vries, B.; Kanters, G. An agent-based multi-objective optimization model for allocating public charging stations for electric vehicles. In Proceedings of the 14th International Conference on Computers in Urban Planning and Urban Management, Cambridge, MA, USA, 7–10 July 2015; p. 17. [Google Scholar]
- Kong, W.; Luo, Y.; Feng, G.; Li, K.; Peng, H. Optimal location planning method of fast charging station for electric vehicles considering operators, drivers, vehicles, traffic flow and power grid. Energy 2019, 186, 115826. [Google Scholar] [CrossRef]
- Gnann, T.; Funke, S.; Jakobsson, N.; Plötz, P.; Sprei, F.; Bennehag, A. Fast charging infrastructure for electric vehicles: Today’s situation and future needs. Transp. Res. Part D Transp. Environ. 2018, 62, 314–329. [Google Scholar] [CrossRef]
- Jochem, P.; Szimba, E.; Reuter-Oppermann, M. How many fast-charging stations do we need along European highways? Transp. Res. Part D Transp. Environ. 2019, 73, 120–129. [Google Scholar] [CrossRef]
- Funke, S.Á.; Sprei, F.; Gnann, T.; Plötz, P. How much charging infrastructure do electric vehicles need? A review of the evidence and international comparison. Transp. Res. Part D Transp. Environ. 2019, 77, 224–242. [Google Scholar] [CrossRef]
- Grube, T.; Linke, A.; Xu, D.; Robinius, M.; Stolten, D. Kosten von Ladeinfrastrukturen für Batteriefahrzeuge in Deutschland 12. 2017. Available online: https://www.researchgate.net/publication/315751834_Kosten_von_Ladeinfrastrukturen_fur_Batteriefahrzeuge_in_Deutschland (accessed on 8 November 2021).
- Nicholas, M.; Wappelhorst, S. Regional Charging Infrastructure Requirements in Germany through 2030. 2020. Available online: https://theicct.org/sites/default/files/publications/germany-charging-infrastructure-20201021.pdf (accessed on 8 November 2021).
- Brost, W.; Funke, T.; Philipsen, R.; Brell, T.; Ziefle, M. Integrated Model Approach STELLA Method of Site Identification for Charging Infrastructure. IFAC-PapersOnLine 2018, 51, 206–211. [Google Scholar] [CrossRef]
- Seddig, K.; Jochem, P.; Fichtner, W. Integrating renewable energy sources by electric vehicle fleets under uncertainty. Energy 2017, 141, 2145–2153. [Google Scholar] [CrossRef] [Green Version]
- Hussain, S.; Ahmed, M.A.; Kim, Y.-C. Efficient Power Management Algorithm Based on Fuzzy Logic Inference for Electric Vehicles Parking Lot. IEEE Access 2019, 7, 65467–65485. [Google Scholar] [CrossRef]
- Hussain, S.; Ahmed, M.A.; Lee, K.-B.; Kim, Y.-C. Fuzzy Logic Weight Based Charging Scheme for Optimal Distribution of Charging Power among Electric Vehicles in a Parking Lot. Energies 2020, 13, 3119. [Google Scholar] [CrossRef]
- Daina, N.; Sivakumar, A.; Polak, J.W. Modelling electric vehicles use: A survey on the methods. Renew. Sustain. Energy Rev. 2017, 68, 447–460. [Google Scholar] [CrossRef] [Green Version]
- Pagany, R.; Ramirez Camargo, L.; Dorner, W. A review of spatial localization methodologies for the electric vehicle charging infrastructure. Int. J. Sustain. Transp. 2019, 13, 433–449. [Google Scholar] [CrossRef] [Green Version]
- Gan, Y.; Duan, Q.; Gong, W.; Tong, C.; Sun, Y.; Chu, W.; Ye, A.; Miao, C.; Di, Z. A comprehensive evaluation of various sensitivity analysis methods: A case study with a hydrological model. Environ. Model. Softw. 2014, 51, 269–285. [Google Scholar] [CrossRef] [Green Version]
- Lee, J.-S.; Filatova, T.; Ligmann-Zielinska, A.; Hassani-Mahmooei, B.; Stonedahl, F.; Lorscheid, I.; Voinov, A.; Polhill, G.; Sun, Z.; Parker, D.C. The Complexities of Agent-Based Modeling Output Analysis. JASSS 2015, 18, 4. [Google Scholar] [CrossRef]
- Thiele, J.C.; Kurth, W.; Grimm, V. Facilitating Parameter Estimation and Sensitivity Analysis of Agent-Based Models: A Cookbook Using NetLogo and “R.”. JASSS 2014, 17, 11. [Google Scholar] [CrossRef]
- Asamer, J.; Graser, A.; Heilmann, B.; Ruthmair, M. Sensitivity analysis for energy demand estimation of electric vehicles. Transp. Res. Part D Transp. Environ. 2016, 46, 182–199. [Google Scholar] [CrossRef]
- Helmers, E.; Dietz, J.; Weiss, M. Sensitivity Analysis in the Life-Cycle Assessment of Electric vs. Combustion Engine Cars under Approximate Real-World Conditions. Sustainability 2020, 12, 1241. [Google Scholar] [CrossRef] [Green Version]
- Husarek, D.; Paulus, S.; Huber, M.; Metzger, M.; Niessen, S. The Contribution of Carbon-optimized Battery Electric Vehicle Charging to the Decarbonization of a Multi-modal Energy System. In Proceedings of the 3rd E-Mobility Power System Integration Symposium, Dublin, Ireland, 14 October 2019. [Google Scholar]
- Hecht, C.; Das, S.; Bussar, C.; Sauer, D.U. Representative, empirical, real-world charging station usage characteristics and data in Germany. eTransportation 2020, 6, 100079. [Google Scholar] [CrossRef]
- Frenzel, I.; Jarass, J.; Trommer, S.; Lenz, B. Erstnutzer von Elektrofahrzeugen in Deutschland. Nutzerprofile, Anschaffung, Fahrzeugnutzung; No. 2. überarbeitete Auflage; Deutsches Zentrum für Luft- und Raumfahrt e. V. (DLR): Berlin, Germany, 2015. [Google Scholar]
- Hardman, S.; Jenn, A.; Tal, G.; Axsen, J.; Beard, G.; Daina, N.; Figenbaum, E.; Jakobsson, N.; Jochem, P.; Kinnear, N.; et al. A review of consumer preferences of and interactions with electric vehicle charging infrastructure. Transp. Res. Part D Transp. Environ. 2018, 62, 508–523. [Google Scholar] [CrossRef] [Green Version]
- Wilensky, U. (Ed.) NetLogo, Version 6.1.0. In Multi-Agent Programmable Modeling Environment; Center for Connected Learning and Computer-Based Modeling, Northwestern University: Evanston, IL, USA, 1999. [Google Scholar]
- Nicholas, M.; Hall, D.; Lutsey, N. Quantifying the Electric Vehicle Charging Infrastructure Gap across U.S. Markets. 2019. Available online: https://theicct.org/publications/charging-gap-US (accessed on 8 November 2021).
- van der Kam, M.; Peters, A.; van Sark, W.; Alkemade, F. Agent-Based Modelling of Charging Behaviour of Electric Vehicle Drivers. JASSS 2019, 22, 7. [Google Scholar] [CrossRef]
- McCollum, D.L.; Wilson, C.; Pettifor, H.; Ramea, K.; Krey, V.; Riahi, K.; Bertram, C.; Lin, Z.; Edelenbosch, O.Y.; Fujisawa, S. Improving the behavioral realism of global integrated assessment models: An application to consumers’ vehicle choices. Transp. Res. Part D Transp. Environ. 2017, 55, 322–342. [Google Scholar] [CrossRef]
- Herman, J.; Usher, W. SALib: An open-source Python library for Sensitivity Analysis. JOSS 2017, 2, 97. [Google Scholar] [CrossRef]
- ten Broeke, G.; van Voorn, G.; Ligtenberg, A. Which Sensitivity Analysis Method Should I Use for My Agent-Based Model? JASSS 2016, 19, 5. [Google Scholar] [CrossRef] [Green Version]
- Saltelli, A.; Annoni, P.; Azzini, I.; Campolongo, F.; Ratto, M.; Tarantola, S. Variance based sensitivity analysis of model output. Design and estimator for the total sensitivity index. Comput. Phys. Commun. 2010, 181, 259–270. [Google Scholar] [CrossRef]
- Archer, G.E.B.; Saltelli, A.; Sobol, I.M. Sensitivity measures,anova-like Techniques and the use of bootstrap. J. Stat. Comput. Simul. 1997, 58, 99–120. [Google Scholar] [CrossRef]
- Bundesministerium für Verkehr und digitale Infrastruktur (BMVI). Mobilität in Deutschland 2017 (MiD 2017) (Study). 2017. Available online: https://www.bmvi.de/SharedDocs/DE/Artikel/G/mobilitaet-in-deutschland.html (accessed on 8 November 2021).
- Agora Verkehrswende, Agora Energiewende, Regulatory Assistance Project (RAP), 2019. Verteilnetzausbau für Die Energiewende—Elektromobilität im Fokus 114. Available online: https://www.agora-energiewende.de/veroeffentlichungen/verteilnetzausbau-fuer-die-energiewende-elektromobilitaet-im-fokus-2/ (accessed on 8 November 2021).
- Robinius, M.; Linßen, J.; Grube, T.; Reuß, M.; Stenzel, P.; Syranidis, K.; Kuckertz, P.; Stolten, D. Comparative Analysis of Infrastructures—Hydrogen Fueling and Electric Charging of Vehicles.pdf (Volume No. 408); IEK-3, Forschungszentrum Jülich GmbH, H2MOBILITY: Jülich, Germany, 2018. [Google Scholar]
- Schmidt, A. Flottenbetrieb von Elektrischen und Autonomen Serviceagenten im Städtischen Personennahverkehr; Karlsruher Institut für Technologie: Karsruhe, Germany, 2016. [Google Scholar]







| Regional Parameter | Rural | Urban |
|---|---|---|
| Driving profiles (MiD, 2017) [51] filtered by municipality type | Small-town area, village area | Regiopolis |
| Home charger access | 84% | 60% |
| Share of commuters | 49% | 46% |
| Inter-regional commuters | −23% | 36% |
| BEVs in region | 8400 | 11,000 |
| BEVs per public location | 24 | 15 |
| BEVs per work location | 37 | 67 |
| BEV penetration | 10% | 10% |
| Regional Parameter | Rural and Urban Value |
|---|---|
| Number of work chargers | 80 (40 stations) |
| Number of public chargers | 80 (40 stations) |
| DCFC coverage | 50 km |
| Charge power home | 11 kW |
| Charge power work | 11 kW |
| Charge power public | 11 kW |
| Charge power highway | 350 kW |
| Vehicle consumption | small: 16 kWh/100 km medium: 20 kWh/100 km large: 24 kWh/100 km |
| Battery size | small: 40 kWh medium: 60 kWh large: 80 kWh |
| Input Parameter | Minimum | Maximum |
|---|---|---|
| Battery size | 25 kWh | 100 kWh |
| Energy consumption | 12 kWh | 40 kWh |
| Charge power home | 3.7 kW | 22 kW |
| Charge power work | 3.7 kW | 22 kW |
| Charge power public | 11 kW | 50 kW |
| Charge power highway | 50 kW | 350 kW |
| Home charger access | 30% | 100% |
| Number of work chargers | 0 | 250 |
| Number of public chargers | 0 | 500 |
| DCFC-coverage: Distance between highway chargers | 0.1 km | 200 km |
| Output Parameter | Relevant Perspective | Description |
|---|---|---|
| Peak load system | ESI | Charging peak load based on the aggregated electricity demand of all CSs within the region. |
| Peak load home, work, public | ESI, ECV | Charging peak load based on the aggregated electricity demand of all CSs at location home, work or public, respectively. |
| Peak load highway | ESI, ECV | Charging peak load based on all charging processes at highways. |
| Simultaneity factor at home, work, public | ESI | Maximum occurring simultaneity of charging processes measured by dividing the occurring peak load through the maximum possible charging peak at this location. |
| Daily energy served at home, work, public, highway | ESI, ECV | Daily energy served within over all CSs at the specified type of location. |
| Daily shiftable energy | ESI, ECV | Daily shiftable energy (flexibility) measured according to Husarek et al., 2019 [39]. |
| Average delay time | ESI, ECV | Aggregation of all possible delay time of all charging processes within each time step as in Husarek et al., 2019 [39], and averaging over the course of the week. |
| Average CS utilization rate at work, public | ECV | Averaged utilization of CSs measured by the total energy served over one week divided by the maximum potential energy that could have been served. |
| Service quality of charging infrastructure (SQCI) | SQCI, ECV | Share of electrically driven kilometers within the simulation period (cf. Section 3.1.1). |
Publisher’s Note: MDPI stays neutral with regard to jurisdictional claims in published maps and institutional affiliations. |
© 2021 by the authors. Licensee MDPI, Basel, Switzerland. This article is an open access article distributed under the terms and conditions of the Creative Commons Attribution (CC BY) license (https://creativecommons.org/licenses/by/4.0/).
Share and Cite
Husarek, D.; Salapic, V.; Paulus, S.; Metzger, M.; Niessen, S. Modeling the Impact of Electric Vehicle Charging Infrastructure on Regional Energy Systems: Fields of Action for an Improved e-Mobility Integration. Energies 2021, 14, 7992. https://doi.org/10.3390/en14237992
Husarek D, Salapic V, Paulus S, Metzger M, Niessen S. Modeling the Impact of Electric Vehicle Charging Infrastructure on Regional Energy Systems: Fields of Action for an Improved e-Mobility Integration. Energies. 2021; 14(23):7992. https://doi.org/10.3390/en14237992
Chicago/Turabian StyleHusarek, Dominik, Vjekoslav Salapic, Simon Paulus, Michael Metzger, and Stefan Niessen. 2021. "Modeling the Impact of Electric Vehicle Charging Infrastructure on Regional Energy Systems: Fields of Action for an Improved e-Mobility Integration" Energies 14, no. 23: 7992. https://doi.org/10.3390/en14237992
APA StyleHusarek, D., Salapic, V., Paulus, S., Metzger, M., & Niessen, S. (2021). Modeling the Impact of Electric Vehicle Charging Infrastructure on Regional Energy Systems: Fields of Action for an Improved e-Mobility Integration. Energies, 14(23), 7992. https://doi.org/10.3390/en14237992

