The Characteristics and Main Controlling Factors for the Formation of Micropores in Shale from the Niutitang Formation, Wenshuicun Section, Southwest China
Abstract
:1. Introduction
2. Geological Setting
3. Materials and Methods
3.1. Materials
3.2. Methods
3.2.1. Pore Types
3.2.2. Pore Size
3.2.3. Mineral Composition
3.2.4. Thermal Maturity
3.2.5. Abundance of Organic Matter
3.2.6. Types of Organic Matter
4. Results
4.1. Pore Types
4.2. Characteristics of Pore Size, Pore Volume and Specific Surface Area
4.3. Mineral Composition Characteristics
4.4. Thermal Maturity
4.5. Abundance of Organic Matter
4.6. Types of Organic Matter
5. Discussion
5.1. Effect of BET Specific Surface Area on Pore Size
5.2. The Influence of Organic Matter Composition on Organic Pore Development in Lower Cambrian Shale
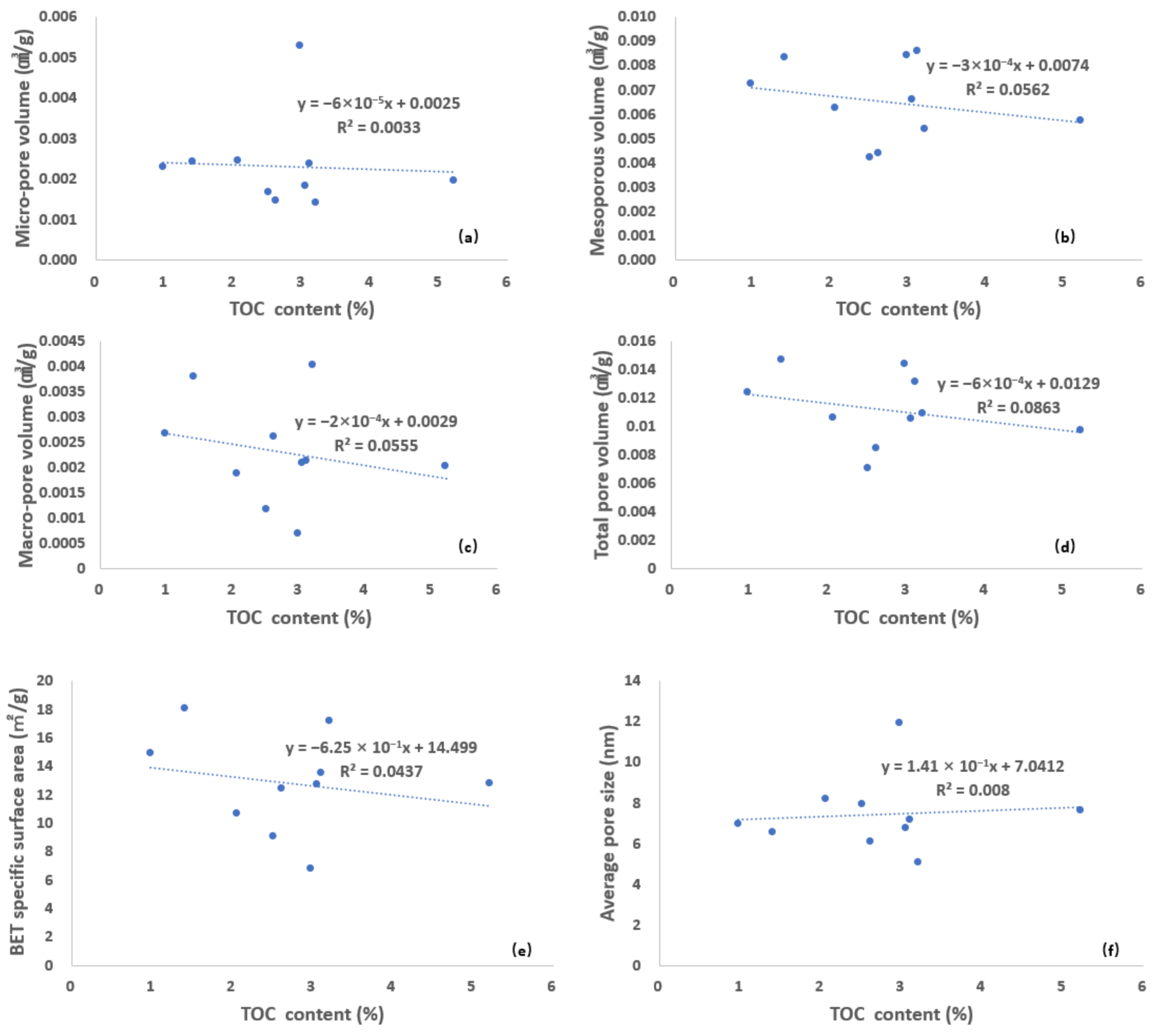
5.2.1. The Influence of Organic Matter Abundance on Organic Pore Development
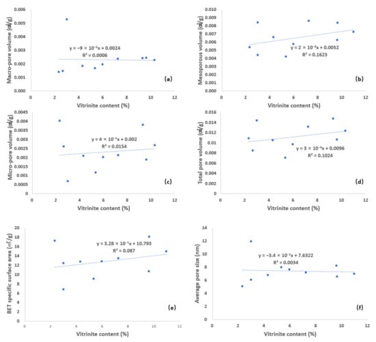
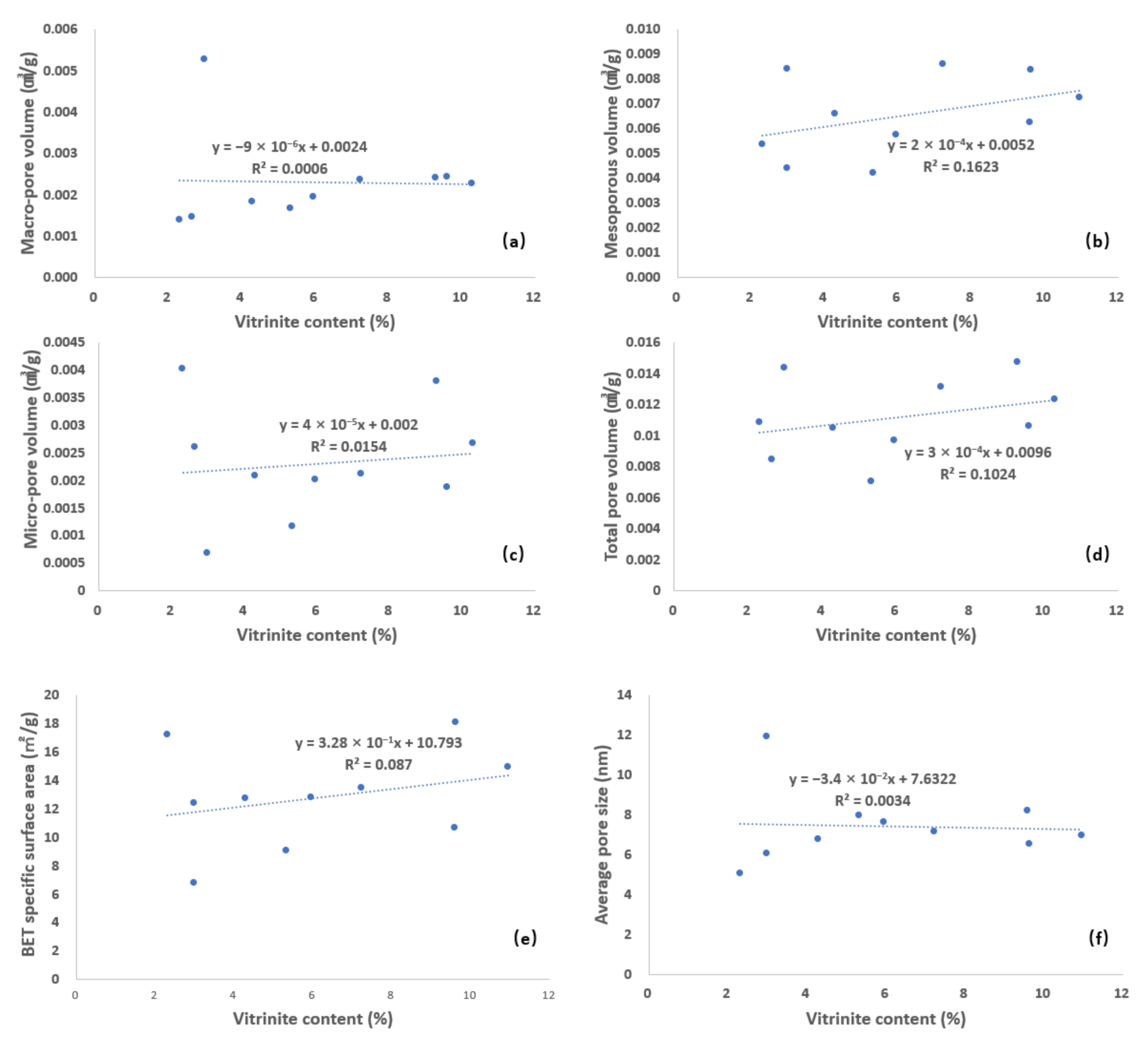
5.2.2. The Influence of Organic Matter Types on Organic Pore Development
5.2.3. The Influence of Thermal Maturity on Organic Pore Development
5.3. The Influence of Inorganic Minerals on Shale Pore Development
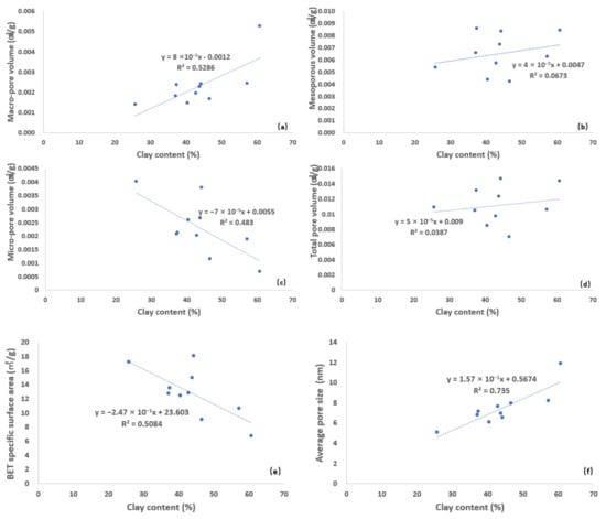
5.3.1. Content and Composition of Clay Minerals
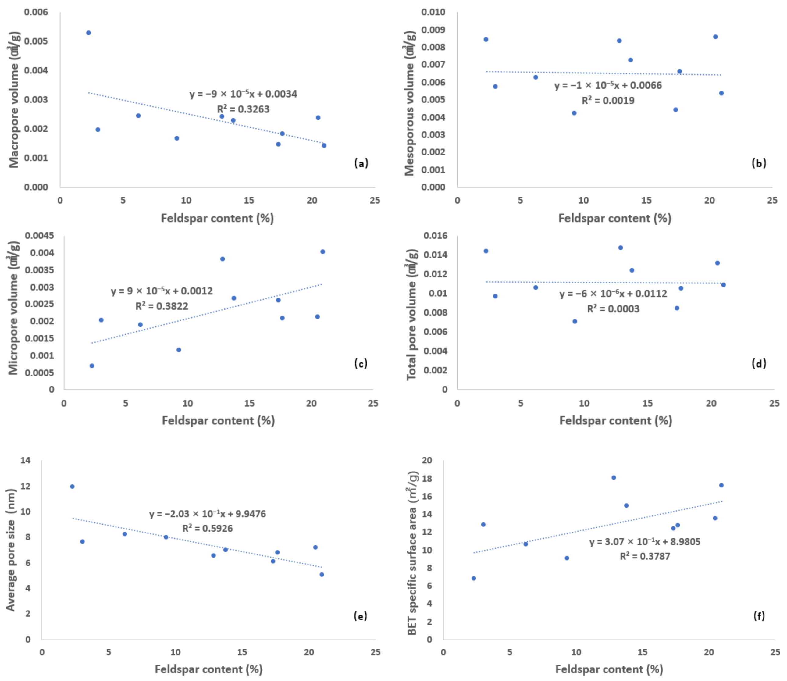
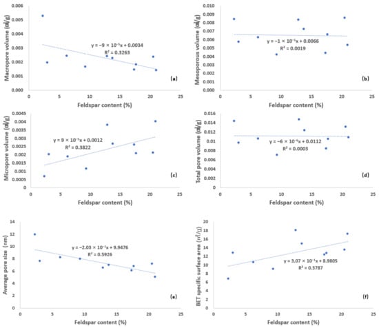
5.3.2. The Influence of Feldspar Content on Pore System
6. Conclusions
- (1)
- The pore types of over-mature black shale of the Niutitang formation in Wenshuicun section, Guizhou province are mainly inorganic pores, generally including nanopores, and mesopores.
- (2)
- The TOC content and organic matter type of shale in this region had little effect on the development of organic matter pores. In this region, organic matter pores were not developed in the over-mature Lower Cambrian shale.
- (3)
- Inorganic mineral composition was the main controlling factor for the development of micropores in shale in this region. Clay mineral content had an obvious positive correlation with mesopore volume, macropore volume and average pore diameter, and a strong negative correlation with micropore volume.
- (4)
- The over-mature Niutitang formation shale mainly developed inorganic pores, without the capacity of adsorbing gas. In the future, the Lower Cambrian shale gas development needs to exploit the areas with a low degree of thermal maturity and high TOC.
Author Contributions
Funding
Institutional Review Board Statement
Informed Consent Statement
Acknowledgments
Conflicts of Interest
References
- Zhao, W.Z.; Jia, A.L.; Wei, Y.S.; Wang, J.L.; Zhu, H.Q. Progress in shale gas and exploration in China and prospects for future development. Pet. Explor. China 2020, 25, 31–44. [Google Scholar]
- Zhou, C.N.; Zhao, Q.; Cong, L.Z.; Wang, H.Y.; Shi, Z.S.; Wu, J.; Pang, S.Y. Development potential and prospect of shale gas in China. Nat. Gas Ind. 2021, 41, 1–14. [Google Scholar]
- Nie, H.K.; He, Z.L.; Liu, G.X.; Zhang, G.R.; Lu, Z.Y.; Li, D.H.; Sun, C.X. Status and direction of shale gas exploration and development in China. J. China Univ. Min. Technol. 2020, 49, 13–35. [Google Scholar]
- Ma, Y.S.; Cai, X.Y.; Zhao, P.R. China’s shale gas exploration and development: Understanding and practice. Pet. Explor. Dev. 2018, 45, 561–574. [Google Scholar] [CrossRef]
- Zhou, C.N.; Dong, D.Z.; Wang, Y.M.; Li, X.J.; Huang, J.L.; Wang, S.F.; Guan, Q.Z.; Zhang, C.C.; Wang, H.Y.; Liu, H.L. Shale gas in China: Characteristics, Challenges and prospects (I). Pet. Explor. Dev. 2015, 42, 689–701. [Google Scholar]
- Zhou, C.N.; Dong, D.Z.; Wang, Y.M.; Li, X.J.; Huang, J.L.; Wang, S.F.; Guan, Q.Z.; Zhang, C.C.; Wang, H.Y.; Liu, H.L. Shale gas in China: Characteristics, Challenges and prospects (II). Pet. Explor. Dev. 2016, 43, 166–178. [Google Scholar]
- Dong, T.; He, Q.; He, S.; Zhai, G.; Zhang, Y.R.; Wei, S.L.; Wei, C.; Hou, Y.G.; Guo, X.W. Quartz types, origins and organic matter-hosted pore systems in the lower cambrian Niutitang Formation, middle yangtze platform, China. Mar. Pet. Geol. 2021, 123, 104739. [Google Scholar] [CrossRef]
- Li, Y.; Qiao, D.; Jiang, W.; Zhang, C. Gas content of gas-bearing shale and its geological evaluation summary. Geol. Bull. China 2011, 30, 308–317. [Google Scholar]
- Yang, C. Pore Development Characteristics and Main Controlling Factors of Shale Organic Matter; China University of Geosciences: Beijing, China, 2017. [Google Scholar]
- Sun, W.J.B.; Zuo, Y.J.; Wu, Z.H.; Liu, H.; Zheng, L.J.; Wang, H.; Shuai, Y.; Lou, Y.L.; Xi, S.J.; Li, T.T. Pore characteristics and evolution mechanism of shale in a complex tectonic area: Case study of the Lower Cambrian Niutitang Formation in Northern Guizhou, Southwest China. J. Pet. Sci. Eng. 2020, 193, 107373. [Google Scholar] [CrossRef]
- Ding, J.H.; Zhang, J.C.; Yang, C.; Huo, Z.P.; Lang, Y. Formation Evolution and Influencing Factors of Organic Pores in Shale. J. Southwest Pet. Univ. (Sci. Technol. Ed.) 2019, 41, 33–44. [Google Scholar]
- Qin, M.Y.; Cao, Z.; Guo, J.H.; Huang, Y.R.; Sun, L.P.; Dong, L. Characteristics of Shale Reservoir and Sweet Spot Identification of the Lower Cambrian Niutitang Formation in Northwestern Hunan Province, China. Acta Geol. Sin. (Engl. Ed.) 2019, 93, 573–587. [Google Scholar] [CrossRef]
- Liang, F.; Qiu, X.X.; Dai, Y.; Zhang, Q.; Lu, B.; Chen, P.; Ma, C.; Qi, L.; Hu, X. Characteristics and main controls of nano-pores in the Lower Silurian Longmaxi shale, Sichuan Basin. Pet. Geol. Exp. 2020, 42, 920–927. [Google Scholar]
- Xiong, L. The characteristics of pore development of the Lower Cambrian organic-rich shale in Sichuan Basin and its periphery. Nat. Gas Geosci. 2019, 3, 1319–1331. [Google Scholar]
- Cao, T.T.; Liu, G.X.; Cao, Q.G.; Deng, M. Influence of maceral composition on organic pore development in shale: A case study of transitional Longtan Formation shale in eastern Sichuan Basin. Oil Gas Geol. 2018, 39, 40–53. [Google Scholar]
- Borjigin, T.; Lu, L.F.; Yu, L.J.; Zhang, W.T.; Pan, A.Y.; Shen, B.J.; Wang, Y.; Yang, Y.F.; Gao, Z.W. Formation, preservation and connectivity control of organic pores in shale. Petrol. Explor. Develop. 2021, 48, 798–812. [Google Scholar] [CrossRef]
- Guang, H.; Qian, P.; Kun, J.; Chao, W.H.; Zhi, W.L. Development of organic pores in the Longmaxi Formation overmature shales: Combined effffects of thermal maturity and organic matter composition. Mar. Pet. Geol. 2020, 116, 104314. [Google Scholar]
- Wen, L.; Hu, S.Y.; Tian, H.Q. Study on Cambrian source rocks in Yangtze area. Northwest Geol. 2001, 34, 67–74. [Google Scholar]
- Li, B.; Hu, B.; Luo, Q. Tectonic sequence stratigraphy and sedimentary environment evolution of prototype basin in middle and upper Yangtze Region. Coal Sci. Technol. 2018, 46, 19–27. [Google Scholar]
- Yi, T.S.; Zhao, X. Characteristics and distribution patterns of the Lower Cambrian Niutitang Shale reservoirs in Guizhou, China. Nat. Gas Ind. 2014, 34, 8–14. [Google Scholar]
- Liu, Z.B.; Gao, B.; Zhang, Y.Y.; Du, W.; Feng, D.J.; Nie, H.K. Types and distribution of the shale sedimentary facies of the Lower Cambrian in Upper Yangtze area, South China. Pet. Explor. Dev. 2017, 44, 21–31. [Google Scholar] [CrossRef]
- Zeng, W.T.; Ding, W.L.; Zhang, J.C.; Li, Y.X.; Wang, R.Y.; Jiu, K. Analyses of the characteristics and main controlling factors for the micro/nanopores in Niutitang shale from China’s southeastern Chongqing and northern Guizhou regions. Earth Sci. Front. 2019, 26, 220–235. [Google Scholar]
- Qing, J.Z.; Tao, G.L.; Teng, G.R.; Bian, L.Z.; Xie, X.M.; Fu, X.D. Htdrocarbon-forming organisms in excellent marine source rocks in south China. Pet. Geol. Exp. 2010, 32, 220–235. [Google Scholar]
- George, O.A.; Phillips, R.I.; Francis, A.-D.; Ayoade, F.A.; Sphiwe, E.M.; Joshua, N.E.; Vincent, O.O.; Ademola, O.J.; Akintunde, I.A.; Niyiola, O.A. Geochemical evaluation of the carbonaceous shale of the upper cretaceous Anambra Basin for potential gas generation, Nigeria. Arab. J. Geosci. 2021, 14, 456. [Google Scholar]
- Quaid, K.J.; Eric, R.; Tom, B.; Raphael, W. Organic petrography and thermal maturity of the Permian Roseneath and Murteree shales in the Cooper Basin, Australia. Int. J. Coal Geol. 2016, 154–155, 240–256. [Google Scholar]
- Wang, S.F.; Zhang, Z.Y.; Dong, D.Z.; Wang, Y.M.; Li, X.J.; Hu, J.W.; Huang, J.L.; Guan, Q.Z. Microscopic pore structure and reasons making reservoir property weaker of Lower Cambrian Qiongzhusi shale Basin, China. Nat. Gas Geoscience. 2016, 27, 1619–1628. [Google Scholar]
- Yuliana, Z.; Sakhaee-Pour, A. Modeling adsorption–desorption hysteresis in shales: Acyclic pore model. Fuel 2016, 181, 557–565. [Google Scholar]
- Alessa, S.; Sakhaee-Pour, A.; Sadooni, F.N.; AI-Kuwari, H.A. Comprehensive pore size characterization of Midra shale. J. Pet. Sci. Eng. 2021, 203, 108576. [Google Scholar] [CrossRef]
- Medina-Rodriguez, B.X.; Alvarado, V.; Hossain, M. Use of Gas Adsorption and Inversion Methods for Shale Pore Structure Characterization. Energies 2021, 14, 2880. [Google Scholar] [CrossRef]
- Hackley, P.C.; Araujo, C.V.; Borrego, A.G.; Bouzinos, A.; Cardott, B.J.; Cook, A.C.; Eble, C.; Flores, D.; Gentzis, T.; Gonçalves, P.A.; et al. Standardization of measurements in dispersed organic matter:Results of an exercise to improve inter laboratory agreement. Mar. Pet. Geol. 2015, 59, 22–34. [Google Scholar] [CrossRef]
- Wang, Y.; Qiu, N.S.; Ma, Z.L.; Ning, C.X.; Zheng, L.J.; Zhou, Y.Y.; Fang, G.J.; Ran, X.Q.; Rao, D. Evaluation of equivalent relationship between vitrinite reflectance and solid bitumen reflectance. J. China Univ. Min. Technol. 2020, 49, 563–575. [Google Scholar]
- Zhou, Z.; Pan, C. Paleotemperature Determination and Its Application in Sedimentary Basin; Guandong Science & Technology Press: Guangzhou, China, 1992; pp. 1–225. [Google Scholar]
- Jacob, H. Disperse solid bitumens as an indicator for migration and maturity in prospecting for oil and gas. Erdol Kohgle 1985, 38, 365. [Google Scholar]
- He, J.X.; Duan, Y.; Zhang, X.L.; Wu, B.X. Geologic characteristics and hydrocarbon resource implication of the black shale in Niutitang Formation of the Lower Cambrian, Guizhou Province. J. Xi’Shiyou Univ. Nat. Sci. Ed. 2011, 26, 37–44. [Google Scholar]
- Long, P.Y.; Zhang, J.C.; Jiang, W.L.; Nie, H.K.; Tang, X.; Han, S.B.; Xing, Y.W. Analysis on pores forming features and its influence factors of reservoir well Yuye-1. J. Cent. South Univ. (Sci. Technol.) 2012, 43, 3954–3963. [Google Scholar]
- Huang, P.; Jiang, Z.X.; Cheng, L.J.; Wang, P.F.; Tang, X.L.; Wang, Z. Pore structural characteristics and their controlling factors of Niutitang-formation Shale in northeast Sichuan Basin. Pet. Geol. Oilfield Dev. Daqing 2016, 35, 152–162. [Google Scholar]
- Chen, X.L.; Guo, T.X.; Shi, D.S.; Hou, Q.D.; Wang, C. Pore structure characteristics and adsorption capacity of Niutitang Formation shale in southern Shaanxi. Lithol. Reserv. 2019, 31, 52–60. [Google Scholar]
- Cai, S.Y.; Xiao, Q.L.; Zhu, W.P.; Wang, X.L.; Yuan, H.; Chen, J.; Chen, S.P. Characteristics and controlling factors of nano pores in shale reservoirs of Wufeng—Longmaxi formations in southern Sichuan Basin: Insights from Shuanghe outcrop in Changning area. Pet. Geol. Exp. 2020, 42, 920–927. [Google Scholar]
- He, Q.; He, S.; Dong, T.; Qu, G.Y.; Wang, Y.; Wan, K. Pore structure characteristics and controls of Lower Cambrian Niutitang Formation, western Hubei Province. Pet. Geol. Exp. 2019, 41, 530–539. [Google Scholar]
- Wang, R.Y.; Gong, D.J.; Leng, J.G.; Wang, X.H.; Cong, S.; Ding, W.L.; Fu, F.Q.; Yang, T.; Lai, F.Q. Development characteristics of the Lower Cambrian Niutitang shale reservoir in Northern Guizhou area: A case study in Cengong block. Earth Sci. Front. 2017, 24, 286–299. [Google Scholar]
- Zhang, C.; Li, H.C.; Liu, D.Y.; Peng, P.A. A comparative study of the pore structure of Niutitang shales at different tectonic positions in the Upper Yangtze region. Geochimica 2019, 48, 171–183. [Google Scholar]
- Cao, T.T.; Song, Z.G. Influence of shale organic matter characteristics on organic pore development and reservoir. Spec. Oil Gas Reserv. 2016, 23, 7–13. [Google Scholar]
- Tian, H.; Zhang, S.C.; Liu, S.B.; Zhang, H. Determination of organic-rich shale pore features by mercury injection and gas adsorption methods. Acta Pet. Sin. 2012, 33, 419–427. [Google Scholar]
- Jiang, Z.X.; Li, X.; Wang, X.M.; Wang, G.Z.; Chou, H.Y.; Zhu, D.Y.; Jiang, H.Y. Characteristic differences and controlling factors of pores in typical South China shale. Oil Geol. 2021, 42, 41–53. [Google Scholar]
- Zhang, J.K.; He, S.; Yan, X.L.; Hou, Y.G.; Chen, X.J. Structural characteristics and thermal evolution of nanoporosity in shales. J. China Univ. Pet. Ed. Nat. Sci. 2017, 41, 11–24. [Google Scholar]
- Curtis, M.E.; Cardott, B.J.; Sondergeld, C.H.; Rai, C.S. Development of organic porosity in the Woodford Shale with increasing thermal maturity. Int. J. Coal Geol. 2012, 103, 26–31. [Google Scholar] [CrossRef]
- Zhao, X.; He, D. Clay Minerals and Shale Gas. Xinjiang Pet. Geol. 2012, 33, 643–647. [Google Scholar]
- Utpalendu, K.; Manika, P. Specific surface area and pore-size distribution in clays and shales. Geophys. Prospect. 2013, 61, 341–362. [Google Scholar]
- Li, W.B.; Lu, S.F.; Li, J.Q.; Zhang, P.F.; Chen, C.; Wang, S.Y. The coupling relationship between material composition and pore microstructure of southern China marine shale. Nat. Gas Geosci. 2019, 30, 27–38. [Google Scholar]
- Lu, Y.H.; Yang, D.R.; Jin, Y.; Liang, C. Micro-mechanism of water-rock interaction of clay minerals in a deep shale gas reservoir in the Longmaxi Formation. Geochimica 2020, 49, 76–83. [Google Scholar] [CrossRef]
- Jin, P.P.; Ou, C.H.; Ma, Z.G.; Li, D.; Ren, Y.J.; Zhao, Y.F. Evolution of montmorillonite and its related minerals and their effects on shale gas development. Geophys. Prospect. Pet. 2018, 57, 344–355. [Google Scholar]












| No. | Sample ID | Mineralogical Composition (%) | Clay Composition (%) | |||||||
|---|---|---|---|---|---|---|---|---|---|---|
| Quartz | Feldspar | Carbonate | Pyrite | Clay | I | K | I/S | C/S | ||
| 1 | WSC-7 | 35.30 | 2.32 | 1.15 | 0.46 | 60.77 | 39.02 | 19.1 | 41.88 | - |
| 2 | WSC-8 | 33.81 | 3.07 | 9.94 | 10.3 | 42.93 | 55.54 | 11.19 | 33.27 | - |
| 3 | WSC-12 | 36.98 | 9.33 | 2.04 | 4.29 | 46.72 | 47.91 | 16.86 | 35.23 | - |
| 4 | WSC-18X | 35.82 | 6.25 | 0.41 | 0.30 | 57.22 | 57.85 | 10.35 | 31.80 | - |
| 5 | WSC-18Z | 41.35 | 13.82 | 0.82 | - | 43.87 | 82.17 | 3.96 | 13.87 | - |
| 6 | WSC-18S | 41.18 | 12.9 | 1.61 | - | 44.31 | 79.74 | 5.12 | 15.14 | - |
| 7 | WSC-19Z | 39.56 | 17.38 | 1.5 | 1.04 | 40.52 | 79.75 | 6.31 | 13.94 | - |
| 8 | WSC-20X | 41.75 | 20.53 | 0.23 | - | 37.49 | 73.60 | 3.22 | 23.18 | - |
| 9 | WSC-20Z | 42.79 | 17.7 | 1.62 | - | 37.19 | 80.15 | 3.24 | 15.02 | 1.59 |
| 10 | WSC-20S | 37.20 | 21.01 | 10.7 | 5.00 | 25.82 | 77.80 | 8.59 | 13.61 | - |
| Sample ID | Rbo, % | Ro1, % | Ro2, % |
|---|---|---|---|
| WSC-7 | 3.89 | 2.89 | 2.80 |
| WSC-12 | 3.98 | 2.95 | 2.86 |
| WSC-18X | 3.94 | 2.92 | 2.83 |
| WSC-19Z | 4.02 | 2.98 | 2.88 |
| WSC-20Z | 3.93 | 2.92 | 2.83 |
| Average | 3.95 | 2.93 | 2.84 |
| Sample ID | WSC-7 | WSC-8 | WSC-12 | WSC-18X | WSC-18Z | WSC-18S | WSC-19Z | WSC-20X | WSC-20Z | WSC-20S | Average |
|---|---|---|---|---|---|---|---|---|---|---|---|
| TOC/% | 2.98 | 5.22 | 2.51 | 2.07 | 0.98 | 1.41 | 2.62 | 3.12 | 3.06 | 3.21 | 2.72 |
| Sample ID | Sapropelinite(%) | Exinite(%) | Vitrinite(%) | Inertinite(%) | Hydrogen-Like Index | Organic Matter Type | ||
|---|---|---|---|---|---|---|---|---|
| Sapropelic Amorphous Body | Cutinite | Mycetome | Hydrogen-rich Vitrinite | Normal Vitrinite | Fusinite | |||
| WSC-7 | 96.01 | - | 0.33 | - | 2.99 | 0.66 | 93.27 | Ⅰ |
| WSC-8 | 92.05 | 0.66 | - | - | 5.96 | 1.32 | 86.59 | Ⅰ |
| WSC-12 | 93.67 | 0.67 | - | - | 5.33 | 0.33 | 89.67 | Ⅰ |
| WSC-18X | 90.07 | 0.33 | - | - | 9.60 | - | 83.03 | Ⅰ |
| WSC-18Z | 88.37 | - | - | 0.66 | 10.30 | 0.66 | 80.05 | Ⅰ |
| WSC-18S | 89.04 | 0.66 | - | 0.33 | 9.30 | 0.66 | 81.76 | Ⅰ |
| WSC-19Z | 96.01 | 0.66 | 0.33 | 0.33 | 2.66 | - | 94.55 | Ⅰ |
| WSC-20X | 92.43 | - | - | - | 7.24 | 0.33 | 86.68 | Ⅰ |
| WSC-20Z | 95.03 | 0.33 | - | - | 4.30 | 0.33 | 91.64 | Ⅰ |
| WSC-20S | 95.71 | 1.32 | - | - | 2.31 | 0.66 | 93.98 | Ⅰ |
Publisher’s Note: MDPI stays neutral with regard to jurisdictional claims in published maps and institutional affiliations. |
© 2021 by the authors. Licensee MDPI, Basel, Switzerland. This article is an open access article distributed under the terms and conditions of the Creative Commons Attribution (CC BY) license (https://creativecommons.org/licenses/by/4.0/).
Share and Cite
Li, D.; Fu, M.; Huang, Y.; Wu, D.; Xue, R. The Characteristics and Main Controlling Factors for the Formation of Micropores in Shale from the Niutitang Formation, Wenshuicun Section, Southwest China. Energies 2021, 14, 7858. https://doi.org/10.3390/en14237858
Li D, Fu M, Huang Y, Wu D, Xue R. The Characteristics and Main Controlling Factors for the Formation of Micropores in Shale from the Niutitang Formation, Wenshuicun Section, Southwest China. Energies. 2021; 14(23):7858. https://doi.org/10.3390/en14237858
Chicago/Turabian StyleLi, Danlong, Meiyan Fu, Yun Huang, Dong Wu, and Rui Xue. 2021. "The Characteristics and Main Controlling Factors for the Formation of Micropores in Shale from the Niutitang Formation, Wenshuicun Section, Southwest China" Energies 14, no. 23: 7858. https://doi.org/10.3390/en14237858
APA StyleLi, D., Fu, M., Huang, Y., Wu, D., & Xue, R. (2021). The Characteristics and Main Controlling Factors for the Formation of Micropores in Shale from the Niutitang Formation, Wenshuicun Section, Southwest China. Energies, 14(23), 7858. https://doi.org/10.3390/en14237858

