Abstract
Countries around the world develop and use software based on the monthly calculation method of DIN V 18599:2007 and EN ISO13790 for building energy performance evaluations. The purpose of this study is to propose a method that can consider the effect of reducing cooling energy demand by hybrid ventilation outdoor air cooling in monthly calculation method-based software. For ventilation simulation, some representative floor plans and area types of Korean residential buildings were established through literature research. A number of dynamic energy simulations were performed for various building orientations, heights, and opening factors. Based on the simulation results, a nomograph that can calculate the cooling energy demand reduction factor according to hybrid ventilation that can be applied to the ventilation heat transfer coefficient is proposed.
1. Introduction and Objectives
Due to the rapid increase in the use of energy in the modern era, many problems, such as the destruction of the ozone layer, heat waves, and the increase in the sea level, are occurring due to climate change caused by an increase in carbon emissions and greenhouse gases. Korea is one of the top countries in the emission of greenhouse gases, and also has a relatively large width in the increase of emissions among OECD (Organization for Economic Cooperation and Development) nations. Thus, the government prepared a plan to revise the 4th Comprehensive National Territorial Plans based on the current problems with the formation of green cities and Korea’s response to climate change, in order to make improvements in this area [1].
The Ministry of Land, Infrastructure, and Transport produced design guidelines for the construction of zero energy residences that optimize energy efficiency, and is implementing a building energy rating system [2].
The building energy rating system is a core policy means that promotes the enhancement of energy performance and the reduction of energy consumption of new and existing buildings. It is being implemented as a compulsory or voluntary policy in over 30 countries all over the world since being first enforced in Denmark in 1997. In Korea, the building energy efficiency rating system was first enforced in 2001 for newly built apartment buildings. Since then it has been expanded to be enforced on newly built commercial buildings since January 2010, and all building types since September 2013. Currently, the building energy efficiency rating evaluation refers to DIN V 18599:2007 [3] as the basis, and ISO 52016-1:2017 [4], EN 15203 [5], EN 15217 [6], etc. to use ECO2, a building energy performance evaluation software developed to be suitable for Korea. There are simple advantages of using such a monthly energy evaluation software. However, it also has functional deficiencies compared to dynamic building energy analysis software, one of which is that it does not consider hybrid ventilation.
The buildings that use the most energy in Korea are apartments; these occupy approximately 59% of the entire use of energy [7]. In recent buildings, airtightness and thermal insulation are important. Thus, although heating energy is continually decreasing, cooling energy is continually increasing due to climate change. Furthermore, in the hottest month of the year, August, the use of electric energy displays a 14% increase compared to any other period; therefore, a reduction in cooling energy is important. Although free cooling, which uses ventilation during summer, spring, and fall, may be used, natural ventilation cannot optimize or adjust the time and amount of ventilation. With regard to mechanical ventilation, the consumption and cost of energy contribute to cause the disadvantage of low satisfaction in indoor comfort [8]. Hybrid ventilation actively introduces free cooling using natural ventilation and mechanical ventilation, which displays the advantage of reducing the energy demands of cooling.
Currently, ECO2, which is widely used as a building energy certification tool in Korea, applies a monthly thermal load calculation method. This monthly method does not consider hybrid ventilation. The ventilation-related industry calls for adding a function that can consider hybrid ventilation to ECO2.
Accordingly, this study intends to qualitatively analyze the reduction in the cooling energy demand predicted upon applying hybrid ventilation in apartments, and to propose a cooling energy demand reduction effect prediction tool that may be applied on a monthly based method.
2. Materials and Method
2.1. Methodology
This study conducted an analysis on deriving a monthly energy demand calculation method according to the application of hybrid ventilation. Multiple dynamic simulations were conducted to apply the free cooling effects based on hybrid ventilation on a monthly calculation algorithm in a nomograph form. The area types of apartments in Korea between 2017 and 2019 were researched to derive a representative model for each floor area, and a dynamic building energy simulation was conducted. The building shape, floor area, azimuth, height, and airway patency (air volume) of apartments were set as the primary factors of hybrid ventilation and an EnergyPlus simulation was conducted. The ventilation air volume-cooling energy demand results derived from simulations were nomographed to propose a simple cooling energy demand reduction prediction tool according to hybrid ventilation.
2.2. Outline of Hybrid Ventilation
The objective of hybrid ventilation is to reduce energy, obtain indoor air quality, and satisfy the comfort of the occupants. It is operated in the method of demand control combining natural ventilation and mechanical ventilation. It is also operated in the method of concurrently using two methods by converting the driving mode depending on the season or indoor and outdoor conditions, or categorizing zones, and can largely be categorized into three types, as shown in Figure 1 [9].
Figure 1.
Types of Hybrid ventilation (Annex 35). (a) Natural and mechanical ventilation. (b) Fan-assisted ventilation. (c) Stack and wind-assisted mechanical ventilation.
The components of the hybrid ventilation system include sensors that measure the air quality and indoor temperatures, a controller required to convert the driving mode, a fan, a heat exchanger, a filter, and electric windows.
With four seasons in Korea, hybrid ventilation may be thought of as a driving strategy that prioritizes obtaining indoor air quality in winter, obtaining an indoor setting temperature in summer, and reducing the energy demands of heating and cooling in spring and fall [9].
2.3. Studies and Standards Regarding Korean Hybrid Ventilation
In Korea, the mandatory application of hybrid ventilation and incentives are defined in the following criteria.
The health-friendly residential construction standard [enforced on 20 November 2018] [published by the Ministry of Land, Infrastructure, and Transport No. 2018-697, 20 November 2018, partially revised], Article 4 (Standards of Obligation) Clause 3 prescribes that ‘the ventilation performance of the unit complex suitable to Annexed Document 3 must be obtained for efficiency ventilation’, and Clause 3 of [Annexed Document 3] prescribes that ‘the ventilation equipment composed of one system comprising a hybrid ventilation equipment: No. 1 (natural ventilation) and No. 2 (mechanical ventilation) must be operated in a mutually supplemental manner based on needs’ [10].
In the Green Standard for Energy and Environmental Design (G-SEED) No. 2016-4 <New Buildings—Residential Buildings>, 7. Indoor Environment, 7.3 Unit Complex Ventilation Performance Obtainment grant Level 1 to buildings that “comprise a system comprising natural and mechanical ventilation equipment, and where a hybrid ventilation equipment is installed to be operated in a mutually supplemental manner based on needs” [11].
The preceding studies related to hybrid ventilation in Korea are as follows. After comparative analysis of the total heat exchange mechanical ventilation system and the hybrid ventilation system, the limitations were improved and the energy saving performance was verified through simulation [12]. Exchange ventilation and hybrid ventilation were comparatively analyzed [13]. In addition, a study was conducted on the ventilation performance evaluation of the three types of hybrid ventilation systems that can be distributed and spread to apartment houses in the future [14], and a study was conducted to develop a type 1 automatic hybrid ventilation system that applied the optimal ventilation operation mode to minimize ventilation energy costs and satisfy indoor environmental comfort [15]. In many cases, there are no selection criteria and explanations for apartment houses and their areas, and most simulations were performed using CFD(Computational Fluid Dynamics) or TRNSYS (Transient System Simulation Tool).
Therefore, in this study, by referring to the previous studies [16,17] that analyzed design of 19,739 households in 16 apartment complexes, the most common apartment complexes which were recently constructed in 2017 to 2019 and awarded as a ‘livable apartment in Korea’ were analyzed. The type of area scale was identified and the drawings were investigated. Based on this, the hybrid ventilation condition variables were combined and the simulation was conducted using EnergyPlus.
3. Hybrid Ventilation Evaluation Method
In DIN V 18599-2, the calculation of heat loss (gain) caused by the ventilation is defined in Formulas (2)–(13). The structure of the calculation formula is shown in Figure 2. Ventilation heat loss (gain) () comprises infiltration (), window ventilation (), mechanical ventilation (), and heat loss in adjacent zones (), wherein hybrid ventilation heat loss relates to window heat loss (gain) () and window ventilation heat coefficients (). and are indoor and outdoor temperature; t is time.
Figure 2.
Ventilation heat loss calculation Formulas (2)–(13) in DIN V 18599 part 2.
The heat loss coefficient ( of window ventilation heat gain (loss) in residential buildings of DIN V 18599 based on a monthly basis is determined by Formulas (2)–(71), which is in turn determined by the number of ventilation and temperature differences between the indoors and outdoors. Therefore, the primary factor that affects the calculation of the ventilation heat loss and gain is the ventilation rate () and outdoor air temperature (). V is zone volume. is specific heat of air. is density of air.
This study examined the algorithm of ASRHAE TRP-1456 (Assess and implement natural and hybrid ventilation models in whole-building energy simulations, 2010) [18] to reflect the interpretation of hybrid ventilation to the ventilation heat calculation algorithm of DIN V 18599.
TRP-1456 Task 2 deals with a hybrid interpretation model (interpretational, experiential model, network model), which has restrictions to the conditions. In single zones, a single opening (pressure or buoyancy ventilation) or three to four openings (buoyancy, mixed ventilation, exhaust-supply fan) may be applied. In multizones, a nonlinear equation is proposed for a plurality of openings (wind pressure and buoyancy combined hybrid ventilation), which has the inconvenience of having to apply a numeral interpretation method to derive the answer. In addition, the network model requires a process of interpretation through a connection with a dynamic simulation software. Due to these restrictions, it would be difficult to apply the interpretation formula of the hybrid ventilation model to the algorithm of DIN V 18599 [3], which targets various conditions.
The ventilation heat loss (gain) calculation algorithm of 18599 [3] proposes manual and automatic ventilation number calculation methods for (window), (mechanical), (window + mechanical) ventilation. Thus, it is expected that a hybrid concept could be reflected. However, this calculation method has the concept of the minimum ventilation number (annual schedule) (for each use of the building) to maintain the indoor air quality. Thus it would be difficult to reflect the indoor air quality, heat comfort, and energy reduction through the adjustment of the hybrid ventilation air volume.
We determined that it would be difficult to apply the hybrid ventilation interpretation model to the monthly method by mathematization. Accordingly, as an alternative, a method of conducting a dynamic simulation on various apartment hybrid ventilation types to calculate the outdoor air cooling energy demand reduction rate to be applied on the monthly method in a nomograph form is proposed here.
4. Dynamic Hybrid Ventilation Interpretation Simulation
4.1. Selection of Apartment Units for Analysis
The hybrid ventilation method was applied to apartment unit residential buildings. Literature [16,17] that analyzed 19,739 units of 16 complexes of apartments constructed in 2017 to 2019 was referred to, which revealed 59.6 m2 (9.5%), 84 m2 (55%), and115 m2 (0.67%) to be the most representative floor areas. Four bays were most representative for plate type floor areas, and five bays were representative for tower types. With regard to the number of bedrooms, 70% of 55~84 m2 units had three bedrooms. For apartments, the floor areas were categorized into 26.07~32.76 m2, 35.28~41.91 m2, 48.86~49.99 m2, and one or two bays were most common. Through which, the residential units to apply hybrid ventilation were chosen as plate types(P in Table 1) and tower types (T in Table 1, L-shaped) with floor areas of 30, 60, 85, 115 m2. Floor plans and EnergyPlus modelings are shown in Table 1.
Table 1.
Analysis target unit residential type and EnergyPlus modeling (P: Plate type, T: Tower type).
4.2. Heat Gain Dynamic Simulation Applying Hybrid Ventilation
In this study, many cases of EnergyPlus simulation were conducted to derive data to use the result of heat gain through dynamic simulation based on the application of hybrid ventilation in ECO2 analysis.
To select the dynamic simulation tool, research on CONTAM and the hybrid ventilation of EnergyPlus were examined. These demonstrated that CONTAM has the strengths of complex air conditioning systems, such as multi-fan systems, and the analysis of contaminants, upon analysis of air flow compared to EnergyPlus. It was understood that the results of the most recent version of EnergyPlus equipped with the AFN (Air Flow Network) analysis model is very similar to the result of the COMIS and CONTAM air flow analysis results. Accordingly, EnergyPlus was applied to model the form of openings and exterior using hybrid ventilation simulation tools in the most similar manner to reality. And the selected apartment units were modeled with EnergyPlus according to the set values in Table 2. Table 2 is based on typical current Korean building energy-saving design criteria [19,20].
Table 2.
Default input values for Energyplus simulation.
The height of levels of the residential units was set as 2.3 m in reference to Article 3 (Dimensions and Standard Criteria) of [Ministry of Land, Infrastructure, and Transport Enforcement Decree No. 771 Rules on Residential Building Standards] [21]. Since the change in cooling energy between those applying and not applying hybrid ventilation are to be compared, the conditions of indoor heating and the components of the building walls are not expected to affect the relative comparison results.
As shown the Table 3, upon comparing the monthly average outdoor temperature of the ECO2 monthly climate data file and the Incheon meteorological data file applying dynamic simulation, the result displayed a slight increase in temperature of ECO2 between June and October. However, the difference is insignificant. Thus, the outdoor conditions between the two software are very similar.
Table 3.
EnergyPlus and ECO2 monthly average outdoor temperature (°C) comparison (Incheon).
The AirflowNetwork:Zone Ventilation Control mode in EnergyPlus was set as temperature mode to open a ventilation window to maximum open rate (opening patency) when the outdoor-indoor temperature difference exceeds 5 °C between June and October, and to open a ventilation window to minimum open rate (0) when the temperature difference exceeds 10 °C. Accordingly, when the outdoor-indoor temperature difference was 5 to 10 °C the hybrid ventilation is optimally operated with the temperature as the standard to satisfy an indoor set temperature of 26 °C, and the cooling system(IdealAirLoad System) is operated when the temperature exceeds the scope of hybrid ventilation operation temperature (Table 4).
Table 4.
EnergyPlus hybrid ventilation modeling input parameters (Airflow network).
To ascertain the changes in cooling energy demands according to the HV (Hybrid ventilation) operation time (day, night), additional simulations were conducted. The HV operation time was segmented into times during the day to calculate the seasonal heating and cooling loads. The times during the day did not display a large difference in temperature between the indoors and outdoors, and thus did not display a significant effect in reducing the load by outdoor cooling. Accordingly, this study set ventilation to be enforced continuously for 24 h.
In this study, five HV variable conditions were set: region, building shape/unit floor area, azimuth, altitude, and opening factor (Table 5). The cooling load was analyzed between June and October, when outdoor cooling by HV may be applied to compare with the cooling energy demand without the application of HV.
Table 5.
Items and variable conditions for hybrid ventilation simulation.
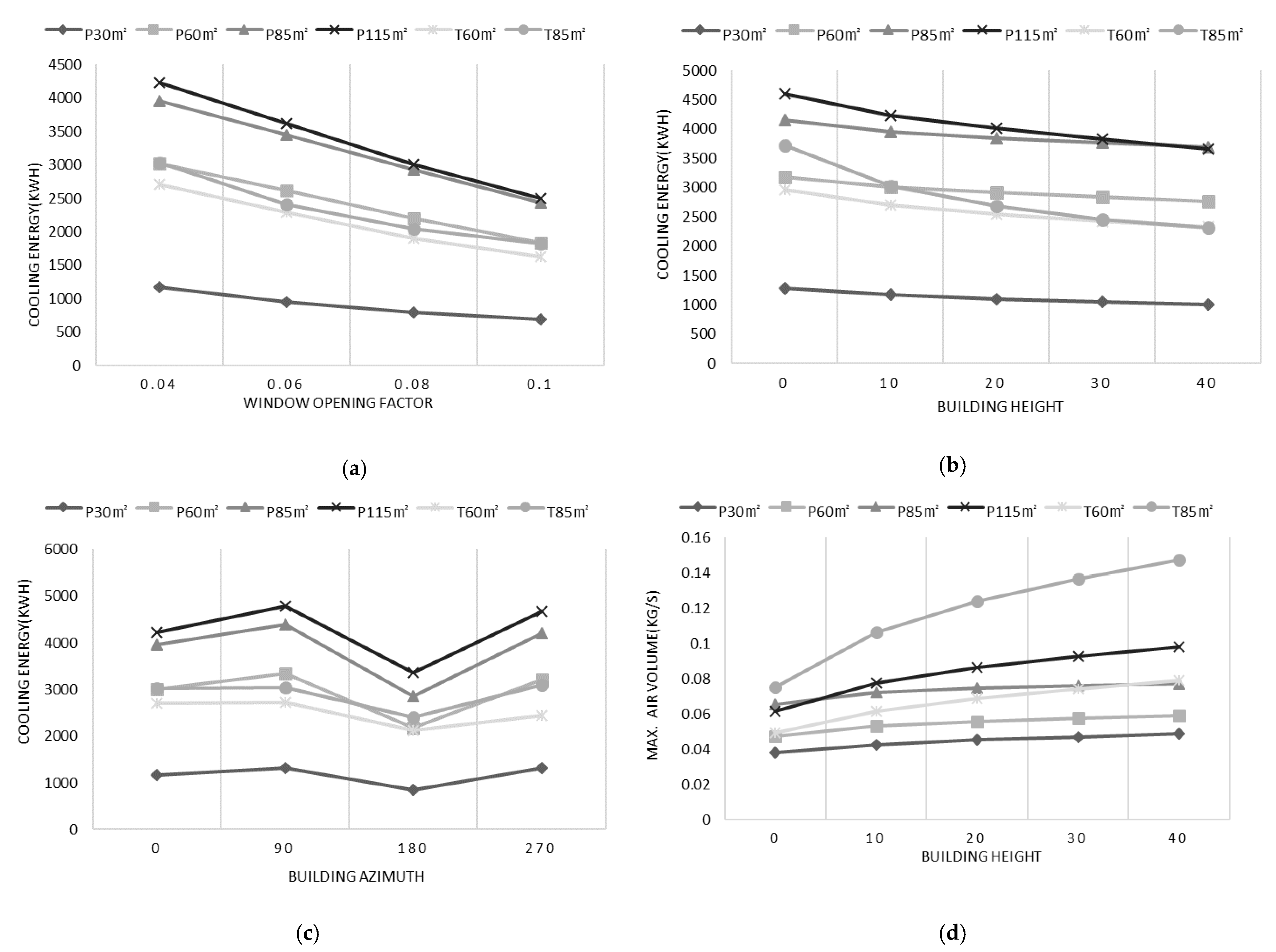
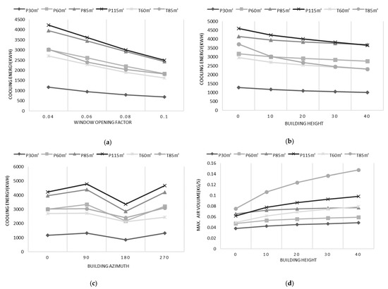
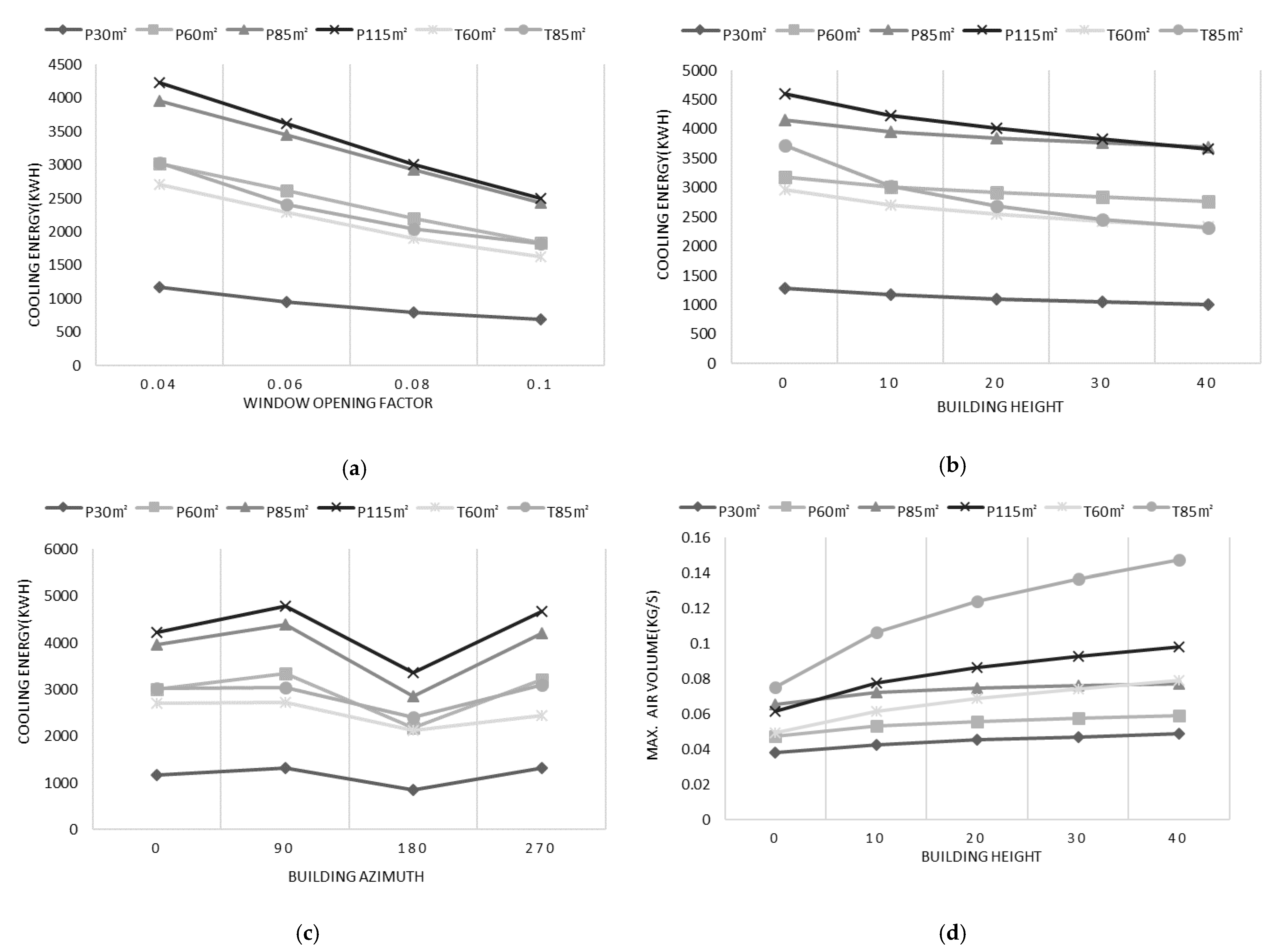
According to the conditions in Table 5, simulations were performed on 480 cases of HV applied and 120 cases of non-hybrid conditions for comparison of cooling energy demand. Figure 3a–c is the result of cooling energy demand by apartment house size and HV condition, and Figure 3d is a graph comparing ventilation air volume according to building height. In each graph, P denotes a plate type and T denotes a tower type.
Figure 3.
Comparison of hybrid ventilation results according to variable conditions. (a) Cooling energy according to the change in window opening factor (azimuth: 0, height: 10 m fixed). (b) Cooling energy according to the building height (m) (azimuth: 0, opening factor: 0.04 fixed). (c) Cooling energy according to the change in building azimuth (height: 10 m, opening factor: 0.04 fixed). (d) Max. Air ventilation volume according to the change in building height (m) (azimuth: 0, opening factor: 0.04 fixed).
As the floor areas of residential units increase, the cooling energy demand was seen to increase. With an increase of the maximum outdoor window opening factor from 0.04 (ratio of opening area to maximum opening area: 4%) to 0.1, all cooling energy demand values decreased in all unit area types. This resulted from an increase in the outdoor cooling effect due to an increase in the inflow of air volume as the window opening factor increased. There was also a greater decrease in P115 m2 than P30 m2. In greater unit area types, the cooling energy demand increases and the size or number of windows also increase. Thus, the outdoor cooling effect also increases (Figure 3a).
Based on an increase on the building height, the wind speed and air volume increase, and this results in a decrease in cooling energy demand. For 30 m2 plate types, the decrease of cooling energy in buildings with a height of 40 m was approximately 14% compared to a height of 10m. Buildings with a floor area of 60 m2 displayed a decrease of approximately 8%, buildings with a floor area of 85 m2 displayed a decrease of approximately 6%, and buildings with a floor area of 115 m2 displayed a decrease of approximately 13%. In terms of tower types, buildings with a floor area of 60 m2 displayed a decrease of 13.5%, with those with a floor area of 85 m2 having the greatest decrease, at 23.5% (Figure 3b).
In terms of the result of each azimuth, the lowest cooling energy was shown at 180 degrees (northern direction) of all azimuths in six units types. It appears that this is because the cooling load itself decreases due to the low impact of direct solar heat in the northern direction. A higher cooling energy demand was seen at 270 degrees (east) and 90 degrees (west). The cooling energy demand differed greatly depending on the direction for plate types. However, for tower types, the cooling energy demand change was not largely different depending on direction due to different placement of windows from plate types (Figure 3c).
The result of air ventilation volume for each type and unit area according to the building height displayed an increase in wind speed based on the altitude increasing for all six units’ areas to display an increase in air volume as well. The increase in air volume based on height was demonstrated to be significant in tower types compared to plate types (Figure 3d).
5. Outdoor Cooling Operation Time According to Hybrid Ventilation
In the case of using a window and a mechanical fan together for HV, there is a need to consider the increase in ventilation fan energy use along with a reduction in the cooling energy demands by ventilation upon application of the monthly calculation method of outdoor HV cooling. The ventilation fan energy can be calculated by multiplying the monthly fan operation time (hour) by the ventilation fan capacity (watts). This study derived the HV operation time between June and October to be calculated as the monthly fan operation time.
As shown in the Figure 4, the monthly fan operation time and ECO2 monthly average outdoor temperature-indoor temperature difference calculated in EnergyPlus were compared. The two graphs displayed very similar changes. Therefore, the monthly fan operation time and average outdoor temperature-indoor temperature difference were used to calculate the monthly fan operation time.
Figure 4.
Comparison of the correlation between monthly hybrid ventilation operation time and the difference between the indoor set temperature and the average monthly outdoor temperature (central region).
Before such mathematization, a simulation was conducted to ascertain whether the monthly fan operation time changes depending on the shape/region/residential unit floor area/azimuth/height. (Table 6) The simulation result displayed no relation between the floor area, azimuth, height change and the monthly fan operation time, and a change according to region (central/southern). It is assumed that the fan operation time only relates to regional properties, i.e., outdoor temperature-indoor temperature (cooling load) conditions.
Table 6.
Comparison of monthly total hybrid ventilation operating hours by variable conditions of residential units.
We performed a regression analysis between the indoor temperature-monthly average outdoor temperature and fan operation time (Table 6) to derive the formula. And this study proposed Formulas (1) and (2) for the monthly HV operation time (fan operation time) for the central and southern region of Korea. The value by regression analysis displayed a very high relativity of 0.93 (central) and 0.91 (southern).
and are monthly HV operating hours in central and southern region. is indoor setpoint temperature (26 °C). and are monthly average outdoor temperatures by regions.
6. Proposal of Nomograph for Calculating Hybrid Ventilation Outdoor Air Cooling Energy Demand Reduction Rate
Based on the results of dynamic simulations on the residential unit areas applying the conditions of HV, i.e., apartment shape type, unit floor area, azimuth, height variables, and the seasonal cooling energy, demand could be ascertained between June and October based on the outdoor cooling effect upon applying optimized HV. By comparing the seasonal cooling demand with HV not applied and HV applied, the reduction rate of cooling energy demand can be calculated.
The monthly ventilation heat gain correction factor ( applicable to the window ventilation heat coefficient ( was proposed to quantitatively reflect the heat gain reduction based on the application of HV to the window ventilation heat loss (gain) () in the monthly method algorithm, such as DIN V 18599. And the correction factor ( is the same as the reduction rate (from June to October) of cooling energy demand by outdoor air cooling. And examples of the nomograph are shown in Figure 5. In Figure 5, the x-axis represents the maximum ventilation air volume in a residential unit according to HV. The y-axis represents , which equals the reduction rate of cooling energy demand. Each line in the graph is versus ventilation air volume at the corresponding building azimuth and height. For example, ‘90-0′ represents a90 degree, 0 m height azimuth. This nomograph is applicable at the HV design stage. In the central region, it is assumed that an HV consisting of a natural ventilation opening and a mechanical ventilation fan is designed in a plate type residential unit with a floor area of 30 m2. In this case Figure 5a can be used. When the building azimuth is 180 degrees and the height is 10m, if a fan with an air volume of 0.03 kg/s is applied, a 10% (: 0.1) reduction in cooling load can be expected between June and October. 18% (: 0.18) savings can be expected if the air volume is increased by applying a fan of 0.04 kg/s.
Figure 5.
Example nomograph of ventilation heat gain correction factor according to azimuth, height, and maximum ventilation air volume (Kg/s) (central region) (a) plate type 30 m2 (b) plate type 60 m2.
7. Conclusions and Discussions
Because the conditions of HV are diverse, a method of calculating the correction factor using the maximum air volume (Kg/s) of the HV system and by multiplying the window ventilation heat coefficient between June and October, were then proposed in a graph tool for each condition. Since this was prepared based on the air volume results, the non-air-conditioned natural ventilation, mechanical ventilation, and combined natural and mechanical ventilation are expected to apply the method of air volume in the same manner.
It was found that the demand for cooling energy decreases as the amount of air flow into the room increases. If the maximum wind volume generated by HV becomes more than 0.13 kg/s, the cooling energy demand reduction rate between June and October can reach 60%.
To derive the use of fan energy by calculating the HV operation time, a formula for calculating the fan operation time based on the temperature difference between the indoor temperature and the monthly average outdoor temperature was proposed, and this formula showed a high regression relativity.
The nomograph tool proposed by this study can be used at the HV design stage. But it still has some limitations. It is based on the central and southern regional meteorological conditions of Korea. It is a data graph prepared based on the HV system conditions that is automatically controlled by maximum air volume at all times. Accordingly, in order to be applied in future monthly methods, it will be necessary to additionally prepare a data graph for each region and the control conditions. In addition, since this is a simulation result, verification will be needed through comparison with actual data.
In addition, in this study, only HV for summer outdoor air cooling was considered, due to several limitations. An HV winter control strategy that can improve indoor air quality while minimizing energy increase has been derived and needs to be applied to the monthly thermal load calculation method.
Funding
This work was supported by a National Research Foundation of Korea (NRF) grant, funded by the Korea government (MSIT) (No. NRF-2019R1A2C1006099).
Institutional Review Board Statement
Not applicable.
Informed Consent Statement
Not applicable.
Acknowledgments
This was supported by the Korea Energy Agency.
Conflicts of Interest
The authors declare no conflict of interest.
References
- Ministry of Land, Infrastructure and Transport (Republic of Korea). The 4th National land Comprehensive Plan Amendment 2011–2020; Korea Government: Sejong, Korea, 2011. [Google Scholar]
- Ministry of Land, Infrastructure and Transport (Republic of Korea). Guidelines for Zero Energy Design of Apartment Houses; Korea Government: Sejong, Korea, 2016.
- DIN V 18599-2:2007-02 Energy Efficiency of Buildings—Calculation of the Net, Final and Primary Energy Demand for Heating, Cooling, Ventilation, Domestic Hot Water and Lighting—Part 2: Net Energy Demand for Heating and Cooling of Building Zones. Available online: https://infostore.saiglobal.com/en-us/standards/din-v-18599-2-2007-411882_saig_din_din_932362/ (accessed on 21 October 2021).
- ISO 52016-1:2017—Energy Performance of Buildings—Energy Needs for Heating and Cooling, Internal Temperatures and Sensible and Latent Heat Loads—Part 1: Calculation Procedures. Available online: https://www.iso.org/cms/render/live/en/sites/isoorg/contents/data/standard/06/56/65696.html (accessed on 21 October 2021).
- DIN EN 15203—Energy Performance of Buildings—Assessment of Energy Use and Definition of Ratings; German Version prEN 15203:2005. Available online: https://standards.globalspec.com/std/1345439/DIN%20EN%2015203 (accessed on 21 October 2021).
- BS EN 15217: Energy Performance of Buildings—Methods for Expressing Energy Performance and for Energy Certification of Buildings. Available online: https://global.ihs.com/doc_detail.cfm?document_name=BS%20EN%2015217&item_s_key=00497438 (accessed on 21 October 2021).
- Seok, J.; Park, K. A Study on the Building Energy Policy through the Analysis of the Consumption Factors of Residential Building Energy; Energy Economy Research Institute: Seoul, Korea, 2018; p. 5. [Google Scholar]
- Ministry of Land, Infrastructure and Transport (Republic of Korea). Statistics on Energy Consumption of Residential Buildings. Available online: http://stat.molit.go.kr/portal/cate/statMetaView.do?hRsId=519&hFormId=&hDivEng=&month_yn= (accessed on 21 October 2021).
- Heiselberg, P.K. Hybrid Ventilation—Results of the International Research Project IEA-ECBCS Annex 35. In Proceedings of the 2005 World Sustainable Building Conference—SB05, Tokyo, Japan, 27–29 September 2005. [Google Scholar]
- Ministry of Land, Infrastructure and Transport (Republic of Korea). Notice No.2018-687; Korea Government: Sejong, Korea, 2018.
- KICT. Green Architecture Certification Standard Commentary—New Residential Building; KICT: Seoul, Korea, 2016; p. 283. [Google Scholar]
- Lim, Y.; Yoon, H.; Song, D. Performance evaluation of hybrid ventilation system by control method through simulation. In Proceedings of the SAREK, Seoul, Korea, 28 November 2014; pp. 173–177. [Google Scholar]
- Kim, E. The Analysis of Energy Performance According to the Application of Hybrid Ventilation System in Multi-Unit Residential Building; Yonsei University: Seoul, Korea, 2006. [Google Scholar]
- Lee, J.; Kang, J.; Kim, Y. The Ventilation Performance Analysis of a Fan-assisted Hybrid Ventilation System. J. KSLE 2015, 22, 454–459. [Google Scholar] [CrossRef]
- Kim, K. A Study on the Optimization of Hybrid Ventilation Systems, Energy Saving and Thermal Comfort in Apartment; University of Seoul: Seoul, Korea, 2011. [Google Scholar]
- Bae, Y.; Ha, M. A Study on the Shape of Main Building and Unit Plan Types in the Recent Apartment Housing—Focused on the Good Living Apartment. J. Korean Inst. Inter. Des. 2019, 28, 86–95. [Google Scholar] [CrossRef]
- Choi, J.; Choi, Y.; Yeo, J. An Analysis of the Public Rental Housing Unit Plan for Korean Social Housing—Focusing on the unit type, orientation and heating method. J. Reg. Assoc. AIK 2016, 18, 79–86. [Google Scholar]
- Zhai, Z.; Krarti, M.; Johnson, M.H. RP-1456-Assess and Implement Natural and Hybrid Ventilation Models in Whole-Building Energy Simulations: ASHRAE. 2010. Available online: https://www.techstreet.com/ashrae/standards/rp-1456-assess-and-implement-natural-and-hybrid-ventilation-models-in-whole-building-energy-simulations?gateway_code=ashrae&product_id=1778350 (accessed on 8 September 2021).
- Jung, H.; Jeong, Y.; Heo, J. A Study on the Establishment of Reference Buildings of Apartments and Estimation of Energy Consumption. J. AIK 2017, 33, 45–52. [Google Scholar] [CrossRef]
- Land and Housing Institute (Korea). A Study on the Verification of Comprehensive Energy Performance Evaluation of Housing Considering Actual Residential Type; LH: Jinju, Korea, 2016. [Google Scholar]
- Ministry of Land, Infrastructure and Transport (Korea). Rules on Housing Construction Standards, etc.; Korea Government: Sejong, Korea, 2020.
Publisher’s Note: MDPI stays neutral with regard to jurisdictional claims in published maps and institutional affiliations. |
© 2021 by the author. Licensee MDPI, Basel, Switzerland. This article is an open access article distributed under the terms and conditions of the Creative Commons Attribution (CC BY) license (https://creativecommons.org/licenses/by/4.0/).










