The Prospect of Combining a Point Absorber Wave Energy Converter with a Floating Offshore Wind Turbine
Abstract
:1. Introduction
2. Materials and Methods
2.1. Problem Description
2.2. Mathematical Model
2.2.1. Mass Matrix
2.2.2. Added Mass, Radiation Damping, and Wave Excitation Force
2.2.3. Hydrostatic Stiffness Matrix
2.2.4. Mooring Matrix
2.2.5. Wind Force Damping Matrix
2.2.6. Mechanical Coupling Matrices
2.2.7. Solving for Motion, RAOs, and Power
2.3. Tests Considered
3. Results
3.1. Power
3.2. Mechanical Coupling
3.3. Motion
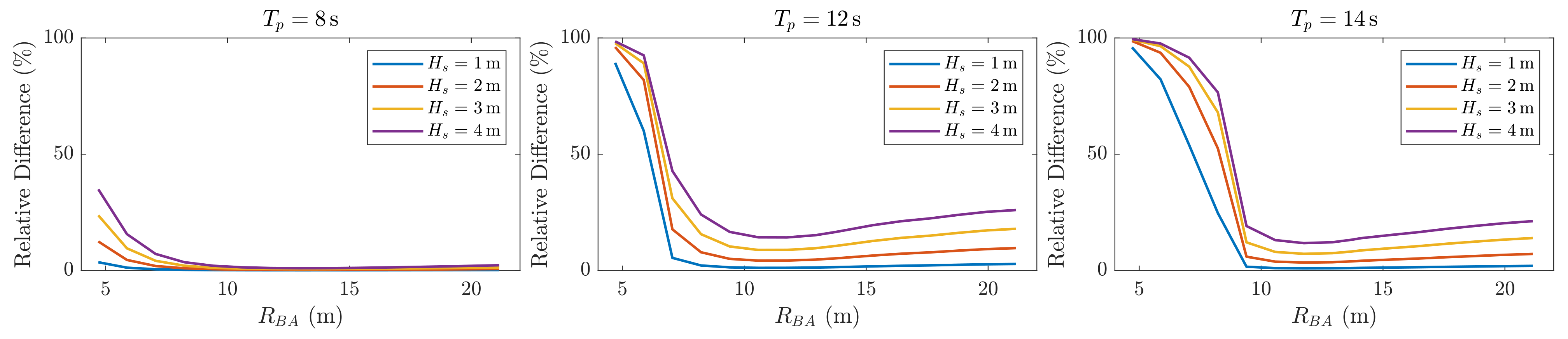
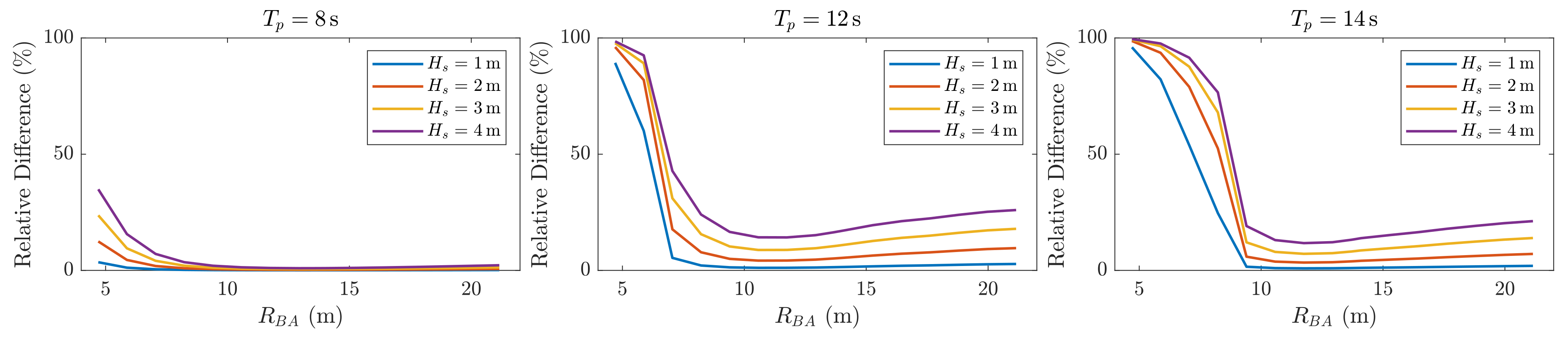
3.4. Viscous Drag
4. Discussion
4.1. Summary of Results
4.2. Limitations and Future Work
Author Contributions
Funding
Institutional Review Board Statement
Informed Consent Statement
Data Availability Statement
Conflicts of Interest
Abbreviations
| BA | Buoyant actuator |
| BEM | Blade element momentum |
| CFD | Computational fluid dynamics |
| CoM | Centre of mass |
| JONSWAP | Joint North Sea Wave Project |
| LCOE | Levelised cost of energy |
| NREL | National Renewable Energy Laboratory |
| OC3 | Offshore Code Comparison Collaboration |
| RAO | Response amplitude operator |
| RCW | Relative capture width |
| SWL | Still water line |
| WEC | Wave energy converter |
Symbols
| Spar draft | |
| Spar radius | |
| Distance from BA CoM to SWL | |
| Spar mass | |
| Spar moment of inertia at its CoM | |
| Equilibrium water depth | |
| BA draft | |
| BA radius | |
| Distance from BA CoM to SWL | |
| BA mass | |
| BA moment of inertia at its CoM | |
| Density of water | |
| g | Gravitational acceleration constant |
| Distance between BA and spar CoM | |
| Distance between SWL and PTO spring connection on the spar | |
| Distance between SWL and PTO damper connection on the spar | |
| PTO spring connection angle | |
| PTO damper connection angle | |
| ith wave frequency | |
| Vector of spar and BA degrees of freedom (in the frequency domain) | |
| Spar surge motion (in the frequency domain) | |
| Spar heave motion (in the frequency domain) | |
| Spar pitch motion (in the frequency domain) | |
| BA surge motion (in the frequency domain) | |
| BA heave motion (in the frequency domain) | |
| BA pitch motion (in the frequency domain) | |
| M | Mass matrix |
| A | Added mass matrix |
| Radiation damping matrix | |
| Wind damping matrix | |
| Mechanical coupling damping matrix | |
| Mooring added damping matrix | |
| Mooring stiffness matrix | |
| Mechanical coupling stiffness matrix | |
| Hydrostatic stiffness matrix | |
| Wave excitation force (in the frequency domain) | |
| Amplitude scaled wave excitation force (in the frequency domain) | |
| a | Wave amplitude spectrum (complex valued) |
| JONSWAP peak enhancement factor | |
| Peak wave period | |
| Significant wave height | |
| Peak wave frequency | |
| Spar hydrostatic stiffness matrix | |
| BA hydrostatic stiffness matrix | |
| Wind thrust force | |
| Density of air | |
| Rotor radius | |
| Non-dimensional thrust coefficient | |
| Rotor angular velocity | |
| Speed of nacelle relative to the wind | |
| Blade pitch angle | |
| Velocity of the wind | |
| Velocity of the nacelle in the x-direction (time domain) | |
| Distance from nacelled centre to spar CoM | |
| k | Mechanical coupling spring coefficient |
| b | Mechanical coupling damping coefficient |
| Response amplitude operator vector | |
| Vector of spar and BA degrees of freedom (in the time domain) | |
| Mean power generated through the mechnical coupling | |
| Duration of simulation | |
| Wave power incident upon BA’s width | |
| Wavenumber at frequency |
Appendix A. JONSWAP Spectrum
References
- Pérez-Collazo, C.; Greaves, D.; Iglesias, G. A review of combined wave and offshore wind energy. Renew. Sustain. Energy Rev. 2015, 42, 141–153. [Google Scholar] [CrossRef] [Green Version]
- Azzellino, A.; Lanfredi, C.; Riefolo, L.; De Santis, V.; Contestabile, P.; Vicinanza, D. Combined exploitation of offshore wind and wave energy in the Italian seas: A spatial planning approach. Front. Energy Res. 2019, 7, 42. [Google Scholar] [CrossRef] [Green Version]
- Anuta, H.; Ralon, P.; Taylor, M. Renewable Power Generation Costs in 2018; Technical Report; IRENA: Abu Dhabi, United Arab Emirates, 2019. [Google Scholar]
- Rusu, E.; Onea, F. A review of the technologies for wave energy extraction. Clean Energy 2018, 2, 10–19. [Google Scholar] [CrossRef] [Green Version]
- Sun, X.; Huang, D.; Wu, G. The current state of offshore wind energy technology development. Energy 2012, 41, 298–312. [Google Scholar] [CrossRef]
- Thiagarajan, K.; Dagher, H. A review of floating platform concepts for offshore wind energy generation. J. Offshore Mech. Arct. Eng. 2014, 136, 020903. [Google Scholar]
- Bachynski, E.E.; Moan, T. Design considerations for tension leg platform wind turbines. Mar. Struct. 2012, 29, 89–114. [Google Scholar] [CrossRef]
- Liu, Y.; Li, S.; Yi, Q.; Chen, D. Developments in semi-submersible floating foundations supporting wind turbines: A comprehensive review. Renew. Sustain. Energy Rev. 2016, 60, 433–449. [Google Scholar] [CrossRef]
- Jonkman, J.; Butterfield, S.; Musial, W.; Scott, G. Definition of a 5-MW Reference wind Turbine for Offshore System Development; Technical Report; National Renewable Energy Laboratory: Golden, CO, USA, 2009.
- Amano, R.S. Review of wind turbine research in 21st century. J. Energy Resour. Technol. 2017, 139, 050801. [Google Scholar] [CrossRef]
- Drew, B.; Plummer, A.R.; Sahinkaya, M.N. A review of wave energy converter technology. Proc. Inst. Mech. Eng. Part A J. Power Energy 2009, 223, 887–902. [Google Scholar] [CrossRef] [Green Version]
- Falnes, J. A review of wave-energy extraction. Mar. Struct. 2007, 20, 185–201. [Google Scholar] [CrossRef]
- Antonio, F. Wave energy utilization: A review of the technologies. Renew. Sustain. Energy Rev. 2010, 14, 899–918. [Google Scholar]
- Sheng, W. Wave energy conversion and hydrodynamics modelling technologies: A review. Renew. Sustain. Energy Rev. 2019, 109, 482–498. [Google Scholar] [CrossRef]
- Babarit, A.; Hals, J.; Muliawan, M.J.; Kurniawan, A.; Moan, T.; Krokstad, J. Numerical benchmarking study of a selection of wave energy converters. Renew. Energy 2012, 41, 44–63. [Google Scholar]
- Pelagic Power. Available online: http://www.pelagicpower.no (accessed on 19 August 2021).
- Si, Y.; Chen, Z.; Zeng, W.; Sun, J.; Zhang, D.; Ma, X.; Qian, P. The influence of power-take-off control on the dynamic response and power output of combined semi-submersible floating wind turbine and point-absorber wave energy converters. Ocean Eng. 2021, 227, 108835. [Google Scholar] [CrossRef]
- Karimirad, M.; Koushan, K. WindWEC: Combining wind and wave energy inspired by hywind and wavestar. In Proceedings of the 2016 IEEE International Conference on Renewable Energy Research and Applications, Birmingham, UK, 20–23 November 2016; pp. 96–101. [Google Scholar]
- Sismani, G.; Loukogeorgaki, E. Frequency-based investigation of a floating wave energy converter system with multiple flaps. Appl. Math. Model. 2020, 84, 522–535. [Google Scholar] [CrossRef]
- Borg, M.; Collu, M.; Brennan, F.P. Use of a wave energy converter as a motion suppression device for floating wind turbines. Energy Procedia 2013, 35, 223–233. [Google Scholar]
- Hu, J.; Zhou, B.; Vogel, C.; Liu, P.; Willden, R.; Sun, K.; Zang, J.; Geng, J.; Jin, P.; Cui, L.; et al. Optimal design and performance analysis of a hybrid system combing a floating wind platform and wave energy converters. Appl. Energy 2020, 269, 114998. [Google Scholar] [CrossRef]
- Folley, M. Numerical Modelling of Wave Energy Converters: State-of-the-Art Techniques for Single Devices and Arrays; Academic Press: Cambridge, MA, USA, 2016. [Google Scholar]
- Bianchi, F.D.; De Battista, H.; Mantz, R.J. Wind Turbine Control Systems: Principles, Modelling and Gain Scheduling Design; Springer Science & Business Media: Berlin/Heidelberg, Germany, 2006. [Google Scholar]
- Borgman, L.E. Random hydrodynamic forces on objects. Ann. Math. Stat. 1967, 38, 37–51. [Google Scholar]
- Borgman, L.E. Statistical models for ocean waves and wave forces. In Advances in Hydroscience; Elsevier: Amsterdam, The Netherlands, 1972; Volume 8, pp. 139–181. [Google Scholar]
- Babarit, A.; Delhommeau, G. Theoretical and numerical aspects of the open source BEM solver NEMOH. In Proceedings of the 11th European Wave and Tidal Energy Conference, Nantes, France, 6–11 September 2015. [Google Scholar]
- Zhou, Y.; Xiao, Q.; Liu, Y.; Incecik, A.; Peyrard, C.; Li, S.; Pan, G. Numerical modelling of dynamic responses of a floating offshore wind turbine subject to focused waves. Energies 2019, 12, 3482. [Google Scholar] [CrossRef] [Green Version]
- Penalba, M.; Kelly, T.; Ringwood, J. Using NEMOH for modelling wave energy converters: A comparative study with WAMIT. In Proceedings of the 12th European Wave and Tidal Energy Conference, College Cork, Ireland, 27 August–1 September 2017. [Google Scholar]
- Hasselmann, K.; Barnett, T.; Bouws, E.; Carlson, H.; Cartwright, D.; Enke, K.; Ewing, J.; Gienapp, H.; Hasselmann, D.; Kruseman, P.; et al. Measurements of wind-wave growth and swell decay during the Joint North Sea Wave Project (JONSWAP). Ergänzungsheft zur Deutschen Hydrographischen Zeitschrift 1973, 12, 8–12. [Google Scholar]
- Jiang, S.; Gou, Y.; Teng, B.; Ning, D. Analytical solution of a wave diffraction problem on a submerged cylinder. J. Eng. Mech. 2014, 140, 225–232. [Google Scholar]
- Jonkman, J. Definition of the Floating System for Phase IV of OC3; Technical Report; National Renewable Energy Laboratory: Golden, CO, USA, 2010.
- Jonkman, J.M. Dynamics Modeling and Loads Analysis of an Offshore Floating Wind Turbine; Technical Report; National Renewable Energy Laboratory: Golden, CO, USA, 2007.
- Da Silva, L.S.; Cazzolato, B.S.; Sergiienko, N.Y.; Ding, B. Efficient estimation of the nonlinear aerodynamic loads of floating offshore wind turbines under random waves and wind in frequency domain. J. Ocean Eng. Mar. Energy 2021, 7, 287–303. [Google Scholar] [CrossRef]
- Mei, C.C.; Stiassnie, M.; Yue, D.K.P. Theory and Applications of Ocean Surface Waves; World Scientific: Singapore, 2005; Volume 23. [Google Scholar]
- Sergiienko, N.Y.; Cazzolato, B.S.; Ding, B.; Arjomandi, M. Three-tether axisymmetric wave energy converter: Estimation of energy delivery. In Proceedings of the 3rd Asian Wave and Tidal Energy Conference, Singapore, 25–27 October 2016; pp. 23–25. [Google Scholar]
- Sarpkaya, T. Forces on cylinders and spheres in a sinusoidally oscillating fluid. ASME J. Appl. Mech. 1975, 42, 32–37. [Google Scholar]
- Singh, S. Forces on Bodies in an Oscillatory Flow. Ph.D. Thesis, Imperial College London, London, UK, 1979. [Google Scholar]
- Graham, J. The forces on sharp-edged cylinders in oscillatory flow at low Keulegan—Carpenter numbers. J. Fluid Mech. 1980, 97, 331–346. [Google Scholar] [CrossRef]
- Lee, H.; Poguluri, S.K.; Bae, Y.H. Performance analysis of multiple wave energy converters placed on a floating platform in the frequency domain. Energies 2018, 11, 406. [Google Scholar] [CrossRef] [Green Version]
- Ghafari, H.R.; Ghassemi, H.; He, G. Numerical study of the Wavestar wave energy converter with multi-point-absorber around DeepCwind semisubmersible floating platform. Ocean Eng. 2021, 232, 109177. [Google Scholar] [CrossRef]
- Holthuijsen, L.H. Waves in Oceanic and Coastal Waters; Cambridge University Press: Cambridge, UK, 2010. [Google Scholar]












| Parameter | Symbol | Value |
|---|---|---|
| Spar draft | 120 m | |
| Spar radius below taper | 4.7 m | |
| Spar radius above taper | (-) | 3.25 m |
| Location of taper | (-) | between 4 and 12 m depth |
| Spar centre of mass location | 78 m below the SWL | |
| Spar mass | kg | |
| Spar moment of inertia | kg m | |
| Water depth below SWL | 320 m |
| Parameter | Symbol | Value |
|---|---|---|
| BA draft | Independent variable | |
| BA radius | Independent variable | |
| BA mass | ||
| BA moment of inertia | ||
| BA centre of mass location | below the SWL |
| Variable | Description |
|---|---|
| M | Mass matrix |
| A | Added mass matrix |
| Radiation damping matrix | |
| Wind damping matrix | |
| Mechanical coupling damping matrix | |
| Mooring added damping matrix | |
| Mooring stiffness matrix | |
| Mechanical coupling stiffness matrix | |
| Hydrostatic stiffness matrix | |
| Excitation force vector |
Publisher’s Note: MDPI stays neutral with regard to jurisdictional claims in published maps and institutional affiliations. |
© 2021 by the authors. Licensee MDPI, Basel, Switzerland. This article is an open access article distributed under the terms and conditions of the Creative Commons Attribution (CC BY) license (https://creativecommons.org/licenses/by/4.0/).
Share and Cite
Skene, D.M.; Sergiienko, N.; Ding, B.; Cazzolato, B. The Prospect of Combining a Point Absorber Wave Energy Converter with a Floating Offshore Wind Turbine. Energies 2021, 14, 7385. https://doi.org/10.3390/en14217385
Skene DM, Sergiienko N, Ding B, Cazzolato B. The Prospect of Combining a Point Absorber Wave Energy Converter with a Floating Offshore Wind Turbine. Energies. 2021; 14(21):7385. https://doi.org/10.3390/en14217385
Chicago/Turabian StyleSkene, David M., Nataliia Sergiienko, Boyin Ding, and Benjamin Cazzolato. 2021. "The Prospect of Combining a Point Absorber Wave Energy Converter with a Floating Offshore Wind Turbine" Energies 14, no. 21: 7385. https://doi.org/10.3390/en14217385
APA StyleSkene, D. M., Sergiienko, N., Ding, B., & Cazzolato, B. (2021). The Prospect of Combining a Point Absorber Wave Energy Converter with a Floating Offshore Wind Turbine. Energies, 14(21), 7385. https://doi.org/10.3390/en14217385

