A Multiscale Electricity Price Forecasting Model Based on Tensor Fusion and Deep Learning
Abstract
:1. Introduction
- We innovatively propose a tensor decomposition method based on regularons, which can effectively fuse multiscale electricity price data and remove the noise generated during data fusion.
- To the best of our knowledge, WT_TDLSTM is the first multiscale integration model that incorporates wavelet transform and tensor fusion into a computational framework.
- The experimental results show that, compared with a neural network model that does not perform denoising and fusion of multiscale data, the prediction performance of the WT_TDLSTM model achieves significantly better results.
2. Datasets and Methods
2.1. Datasets
2.2. Tensor Fusion
2.3. Tensor Decomposition
2.3.1. Tucker Decomposition
2.3.2. L1-HOSVD
2.4. Wavelet Transform
2.5. Long Short-Term Memory
2.6. WT_TDLSTM
3. Results
3.1. Data Preprocessing
3.2. Performance Metrics
3.3. The Effects of the Hyperparameters
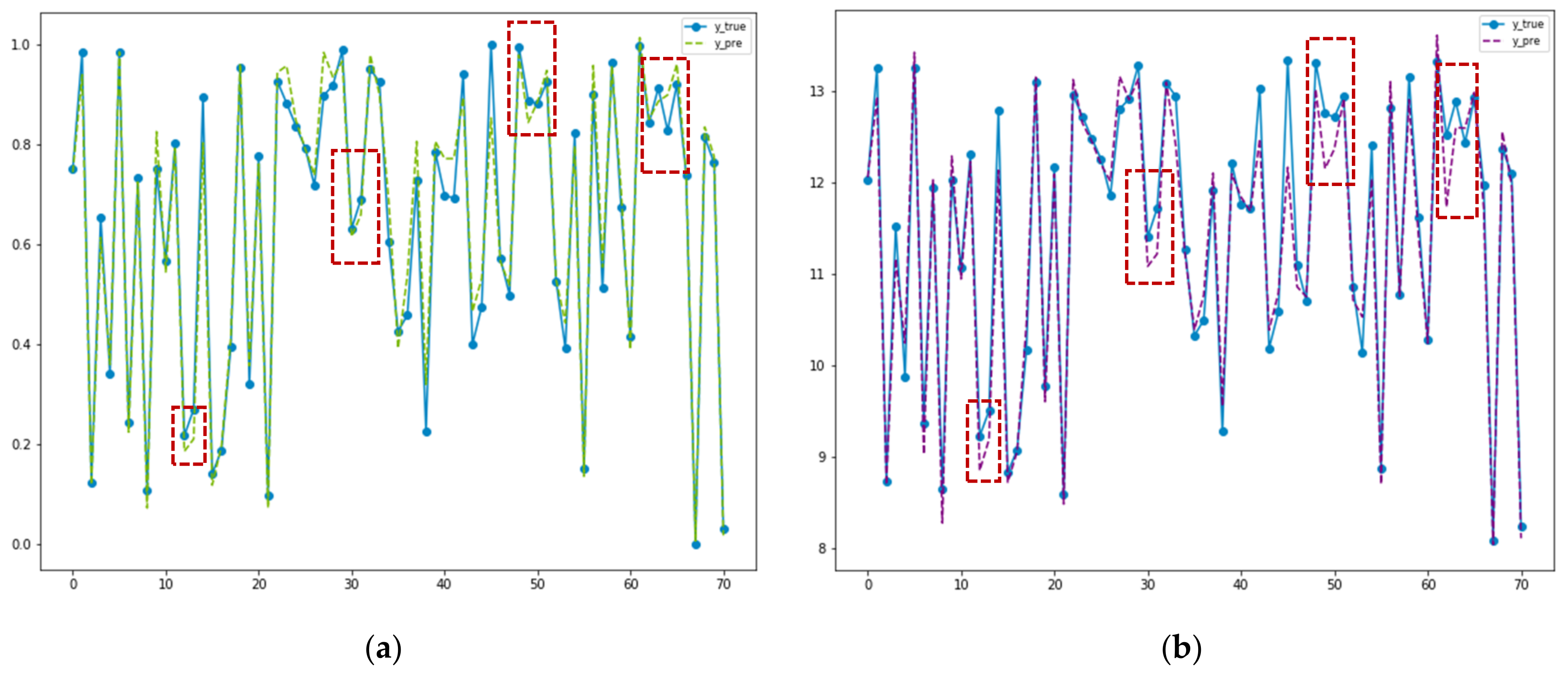
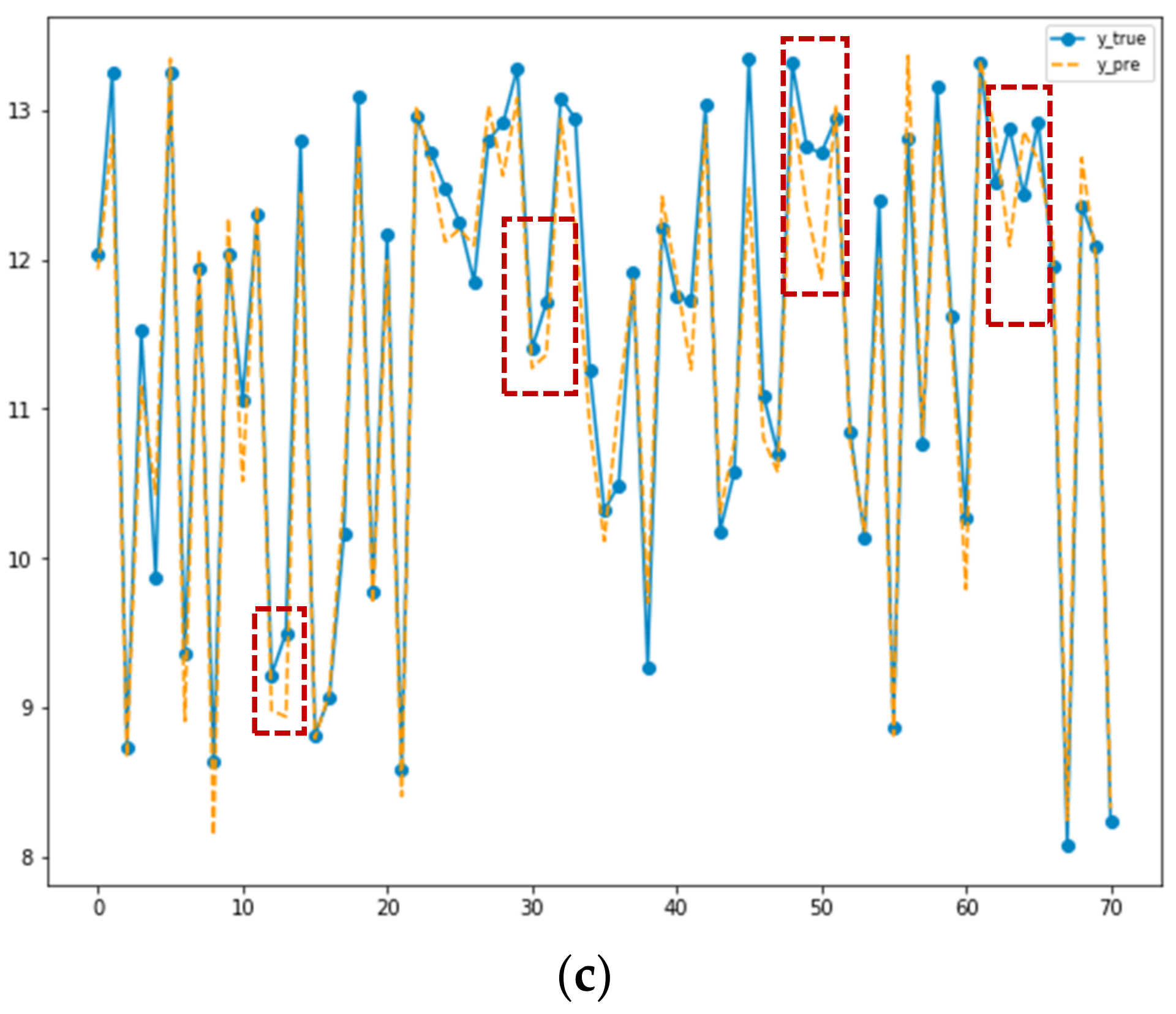
3.4. The Results on the Dataset
3.5. Comparison of Convergence Curves
4. Discussion and Conclusions
Author Contributions
Funding
Institutional Review Board Statement
Informed Consent Statement
Data Availability Statement
Conflicts of Interest
References
- Weron, R. Electricity price forecasting: A review of the state-of-the-art with a look into the future. Int. J. Forecast. 2014, 30, 1030–1081. [Google Scholar] [CrossRef] [Green Version]
- Aggarwal, S.K.; Saini, L.M.; Kumar, A. Electricity price forecasting in deregulated markets: A review and evaluation. Int. J. Electr. Power Energy Syst. 2009, 31, 13–22. [Google Scholar] [CrossRef]
- Conejo, A.J.; Plazas, M.A.; Espinola, R.; Molina, A.B. Day-ahead electricity price forecasting using the wavelet transform and ARIMA models. IEEE Trans. Power Syst. 2005, 20, 1035–1042. [Google Scholar] [CrossRef]
- Nowotarski, J.; Weron, R. Recent advances in electricity price forecasting: A review of probabilistic forecasting. Renew. Sustain. Energy Rev. 2018, 81, 1548–1568. [Google Scholar] [CrossRef]
- Li, G.; Liu, C.-C.; Mattson, C.; Lawarrée, J. Day-ahead electricity price forecasting in a grid environment. IEEE Trans. Power Syst. 2007, 22, 266–274. [Google Scholar] [CrossRef]
- Yang, W.; Wang, J.; Niu, T.; Du, P. A novel system for multi-step electricity price forecasting for electricity market management. Appl. Soft Comput. 2020, 88, 106029. [Google Scholar] [CrossRef]
- Kumar, A.; Luthra, S.; Mangla, S.K.; Kazançoğlu, Y. COVID-19 impact on sustainable production and operations management. Sustain. Oper. Comput. 2020, 1, 1–7. [Google Scholar] [CrossRef]
- Li, L.; Chang, L.; Wang, G.; Chen, W.; Ding, Q. Security correction for medium and long-term electricity energy transaction based on security-constrained unit commitment. In Proceedings of the 2018 International Conference on Power System Technology (POWERCON), Guangzhou, China, 6–8 November 2018; pp. 822–827. [Google Scholar]
- Liu, C.; Zhou, M.; Wu, J.; Long, C.; Kundur, D. Financially motivated FDI on SCED in real-time electricity markets: Attacks and mitigation. IEEE Trans. Smart Grid 2017, 10, 1949–1959. [Google Scholar] [CrossRef]
- Yang, Z.; Ce, L.; Lian, L. Electricity price forecasting by a hybrid model, combining wavelet transform, ARMA and kernel-based extreme learning machine methods. Appl. Energy 2017, 190, 291–305. [Google Scholar] [CrossRef]
- Marín, J.B.; Orozco, E.T.; Velilla, E. Forecasting electricity price in colombia: A comparison between neural network, ARMA process and hybrid models. Int. J. Energy Econ. Policy 2018, 8, 97. [Google Scholar]
- Tan, Z.; Zhang, J.; Wang, J.; Xu, J. Day-ahead electricity price forecasting using wavelet transform combined with ARIMA and GARCH models. Appl. Energy 2010, 87, 3606–3610. [Google Scholar] [CrossRef]
- Cui, H.; Song, X. Research on electricity price forecasting based on chaos theory. In Proceedings of the 2008 International Seminar on Future Information Technology and Management Engineering, Leicestershire, UK, 20 November 2008; pp. 398–401. [Google Scholar]
- Singhal, D.; Swarup, K. Electricity price forecasting using artificial neural networks. Int. J. Electr. Power Energy Syst. 2011, 33, 550–555. [Google Scholar] [CrossRef]
- Nogales, F.J.; Conejo, A.J. Electricity price forecasting through transfer function models. J. Oper. Res. Soc. 2006, 57, 350–356. [Google Scholar] [CrossRef]
- Chen, X.; Dong, Z.Y.; Meng, K.; Xu, Y.; Wong, K.P.; Ngan, H. Electricity price forecasting with extreme learning machine and bootstrapping. IEEE Trans. Power Syst. 2012, 27, 2055–2062. [Google Scholar] [CrossRef]
- Zahid, M.; Ahmed, F.; Javaid, N.; Abbasi, R.A.; Zainab Kazmi, H.S.; Javaid, A.; Bilal, M.; Akbar, M.; Ilahi, M. Electricity price and load forecasting using enhanced convolutional neural network and enhanced support vector regression in smart grids. Electronics 2019, 8, 122. [Google Scholar] [CrossRef] [Green Version]
- Mandal, P.; Srivastava, A.K.; Negnevitsky, M.; Park, J.-W. An effort to optimize similar days parameters for ANN based electricity price forecasting. In Proceedings of the 2008 IEEE Industry Applications Society Annual Meeting, Edmonton, AB, Canada, 5–9 October 2008; pp. 1–9. [Google Scholar]
- González, C.; Mira-McWilliams, J.; Juárez, I. Important variable assessment and electricity price forecasting based on regression tree models: Classification and regression trees, Bagging and Random Forests. IET Gener. Transm. Distrib. 2015, 9, 1120–1128. [Google Scholar] [CrossRef]
- Yang, W.; Sun, S.; Hao, Y.; Wang, S. A novel machine learning-based electricity price forecasting model based on optimal model selection strategy. Energy 2022, 238, 121989. [Google Scholar] [CrossRef]
- Khan, S.; Aslam, S.; Mustafa, I.; Aslam, S. Short-Term Electricity Price Forecasting by Employing Ensemble Empirical Mode Decomposition and Extreme Learning Machine. Forecasting 2021, 3, 460–477. [Google Scholar] [CrossRef]
- Wang, D.; Luo, H.; Grunder, O.; Lin, Y.; Guo, H. Multi-step ahead electricity price forecasting using a hybrid model based on two-layer decomposition technique and BP neural network optimized by firefly algorithm. Appl. Energy 2017, 190, 390–407. [Google Scholar] [CrossRef]
- Khan, Z.A.; Fareed, S.; Anwar, M.; Naeem, A.; Gul, H.; Arif, A.; Javaid, N. Short Term Electricity Price Forecasting Through Convolutional Neural Network (CNN). In AINA Workshops: 2020; MDPI: Basel, Switzerland, 2021; pp. 1181–1188. [Google Scholar]
- Badal, L.; Franzén, S. A Comparative Analysis of RNN and SVM: Electricity Price Forecasting in Energy Management Systems; Kth Royal Institute Of Technology: Stockholm, Sweden, 2019. [Google Scholar]
- Huang, C.J.; Shen, Y.; Chen, Y.H.; Chen, H.C. A novel hybrid deep neural network model for short-term electricity price forecasting. Int. J. Energy Res. 2021, 45, 2511–2532. [Google Scholar] [CrossRef]
- Memarzadeh, G.; Keynia, F. Short-term electricity load and price forecasting by a new optimal LSTM-NN based prediction algorithm. Electr. Power Syst. Res. 2021, 192, 106995. [Google Scholar] [CrossRef]
- Guo, X.; Zhao, Q.; Zheng, D.; Ning, Y.; Gao, Y. A short-term load forecasting model of multi-scale CNN-LSTM hybrid neural network considering the real-time electricity price. Energy Rep. 2020, 6, 1046–1053. [Google Scholar] [CrossRef]
- Zadeh, A.; Chen, M.; Poria, S.; Cambria, E.; Morency, L.-P. Tensor fusion network for multimodal sentiment analysis. arXiv 2017, arXiv:170707250 2017. [Google Scholar]
- Zhao, T.; Xu, Y.; Monfort, M.; Choi, W.; Baker, C.; Zhao, Y.; Wang, Y.; Wu, Y.N. Multi-agent tensor fusion for contextual trajectory prediction. In Proceedings of the IEEE/CVF Conference on Computer Vision and Pattern Recognition, Nashville, TN, USA, 20–25 June 2021; pp. 12126–12134. [Google Scholar]
- Wang, T.; Xu, X.; Yang, Y.; Hanjalic, A.; Shen, H.T.; Song, J. Matching images and text with multi-modal tensor fusion and re-ranking. In Proceedings of the 27th ACM International Conference on Multimedia, München, Germany, 20 October 2021; pp. 12–20. [Google Scholar]
- Zhang, D. Wavelet transform. In Fundamentals of Image Data Mining; Springer: Berlin/Heidelberg, Germany, 2019; pp. 35–44. [Google Scholar]
- Arneodo, A.; Grasseau, G.; Holschneider, M. Wavelet transform of multifractals. Phys. Rev. Lett. 1988, 61, 2281. [Google Scholar] [CrossRef]
- Pathak, R.S. The Wavelet Transform, Vol. 4; Springer Science & Business Media: New York, NY, USA, 2009. [Google Scholar]
- Kolda, T.G.; Bader, B.W. Tensor decompositions and applications. SIAM Rev. 2009, 51, 455–500. [Google Scholar] [CrossRef]
- Chachlakis, D.G.; Prater-Bennette, A.; Markopoulos, P.P. L1-norm Tucker tensor decomposition. IEEE Access 2019, 7, 178454–178465. [Google Scholar] [CrossRef]
- Markopoulos, P.P.; Karystinos, G.N.; Pados, D.A. Optimal algorithms for L1-subspace signal processing. IEEE Trans. Signal Process. 2014, 62, 5046–5058. [Google Scholar] [CrossRef] [Green Version]
- Gower, J.C.; Dijksterhuis, G.B. Procrustes Problems, Vol. 30; Oxford University Press on Demand: New York, NY, USA, 2004. [Google Scholar]
- Hochreiter, S.; Schmidhuber, J. Long short-term memory. Neural Comput. 1997, 9, 1735–1780. [Google Scholar] [CrossRef]
- Sundermeyer, M.; Schlüter, R.; Ney, H. LSTM neural networks for language modeling. In Proceedings of the Thirteenth annual Conference of the International Speech Communication Association, Portland, OR, USA, 9–13 September 2012. [Google Scholar]
- Xingjian, S.; Chen, Z.; Wang, H.; Yeung, D.-Y.; Wong, W.-K.; Woo, W.-C. Convolutional LSTM network: A machine learning approach for precipitation nowcasting. In Proceedings of the Advances in Neural Information Processing Systems, Montreal, QC, Canada, 7–12 December 2015; pp. 802–810. [Google Scholar]
- Zhou, C.; Sun, C.; Liu, Z.; Lau, F. A C-LSTM neural network for text classification. arXiv 2015, arXiv:151108630 2015. [Google Scholar]









| Sample | Statistic | Value |
|---|---|---|
| residential | Length | 245 |
| Max | 13.76 | |
| Min | 7.13 | |
| Average | 11.28 | |
| commercial | Length | 245 |
| Max | 11.93 | |
| Min | 7.25 | |
| Average | 9.78 | |
| industrial | Length | 245 |
| Max | 8.15 | |
| Min | 4.71 | |
| Average | 6.38 |
| MSE | MAE | |
|---|---|---|
| 3 | 0.002130 | 0.034939 |
| 5 | 0.001973 | 0.033888 |
| 10 | 0.002026 | 0.034724 |
| 20 | 0.003464 | 0.047668 |
| Model | MSE | RMSE | MAE |
|---|---|---|---|
| BP | 0.113129 | 0.012798 | 0.281345 |
| CNN | 0.006854 | 4.697257 × 10−5 | 0.071783 |
| RNN | 0.104034 | 0.010823 | 0.239140 |
| LSTM | 0.101310 | 0.010264 | 0.238800 |
| LSTM-NN | 0.091435 | 0.008360 | 0.225945 |
| WT_TDLSTM | 0.001985 | 3.940309 × 10−6 | 0.035024 |
| Model | MSE | RMSE | MAE |
|---|---|---|---|
| BP | 0.120919 | 0.014621 | 0.277841 |
| CNN | 0.125190 | 0.015673 | 0.327035 |
| RNN | 0.203747 | 0.041513 | 0.394502 |
| LSTM | 0.307191 | 0.094366 | 0.445847 |
| LSTM-NN | 0.253752 | 0.064390 | 0.437149 |
| WT_TDLSTM | 0.080231 | 0.006437 | 0.263357 |
| Model | MSE | RMSE | MAE |
|---|---|---|---|
| BP | 0.085263 | 0.007270 | 0.217354 |
| CNN | 0.091712 | 0.008411 | 0.255854 |
| RNN | 0.088921 | 0.007907 | 0.229501 |
| LSTM | 0.148374 | 0.022015 | 0.296279 |
| LSTM-NN | 0.124202 | 0.015426 | 0.283735 |
| WT_TDLSTM | 0.050549 | 0.002555 | 0.207223 |
Publisher’s Note: MDPI stays neutral with regard to jurisdictional claims in published maps and institutional affiliations. |
© 2021 by the authors. Licensee MDPI, Basel, Switzerland. This article is an open access article distributed under the terms and conditions of the Creative Commons Attribution (CC BY) license (https://creativecommons.org/licenses/by/4.0/).
Share and Cite
Xie, X.; Li, M.; Zhang, D. A Multiscale Electricity Price Forecasting Model Based on Tensor Fusion and Deep Learning. Energies 2021, 14, 7333. https://doi.org/10.3390/en14217333
Xie X, Li M, Zhang D. A Multiscale Electricity Price Forecasting Model Based on Tensor Fusion and Deep Learning. Energies. 2021; 14(21):7333. https://doi.org/10.3390/en14217333
Chicago/Turabian StyleXie, Xiaoming, Meiping Li, and Du Zhang. 2021. "A Multiscale Electricity Price Forecasting Model Based on Tensor Fusion and Deep Learning" Energies 14, no. 21: 7333. https://doi.org/10.3390/en14217333
APA StyleXie, X., Li, M., & Zhang, D. (2021). A Multiscale Electricity Price Forecasting Model Based on Tensor Fusion and Deep Learning. Energies, 14(21), 7333. https://doi.org/10.3390/en14217333
