From Two- to Three-Dimensional Model of Heat Flow in Edge-Emitting Laser: Theory, Experiment and Numerical Tools
Abstract
1. Introduction
2. The Thermal Model
2.1. Basic 2D Model
2.2. 2D Thermal Model Applied Twice in Different Planes
2.3. Heating in Axial Direction
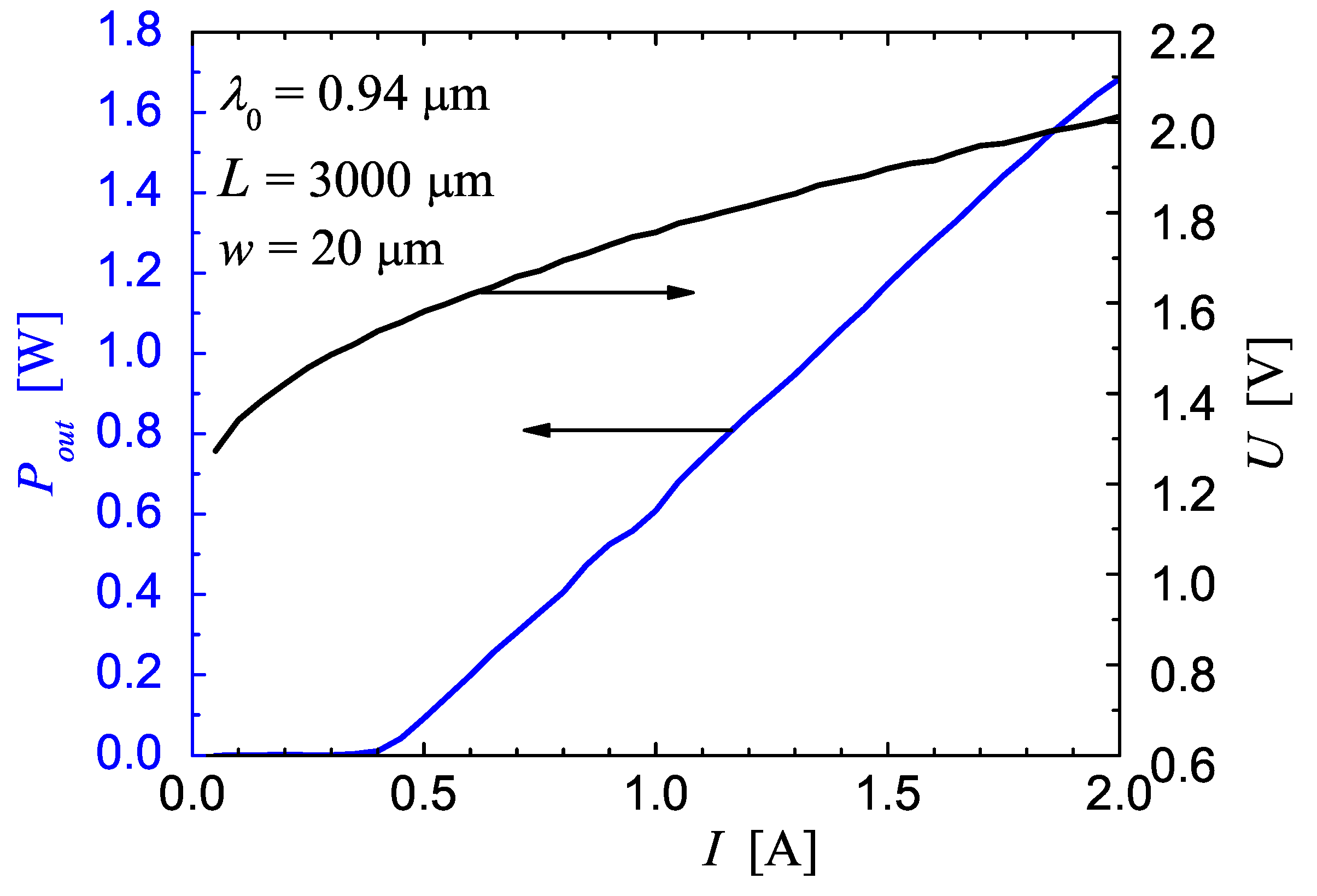
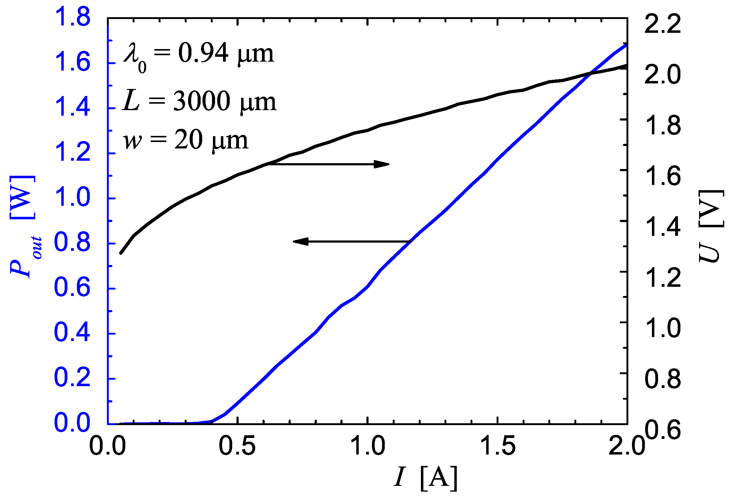
3. Description of the Investigated Device
4. Experimental Setup
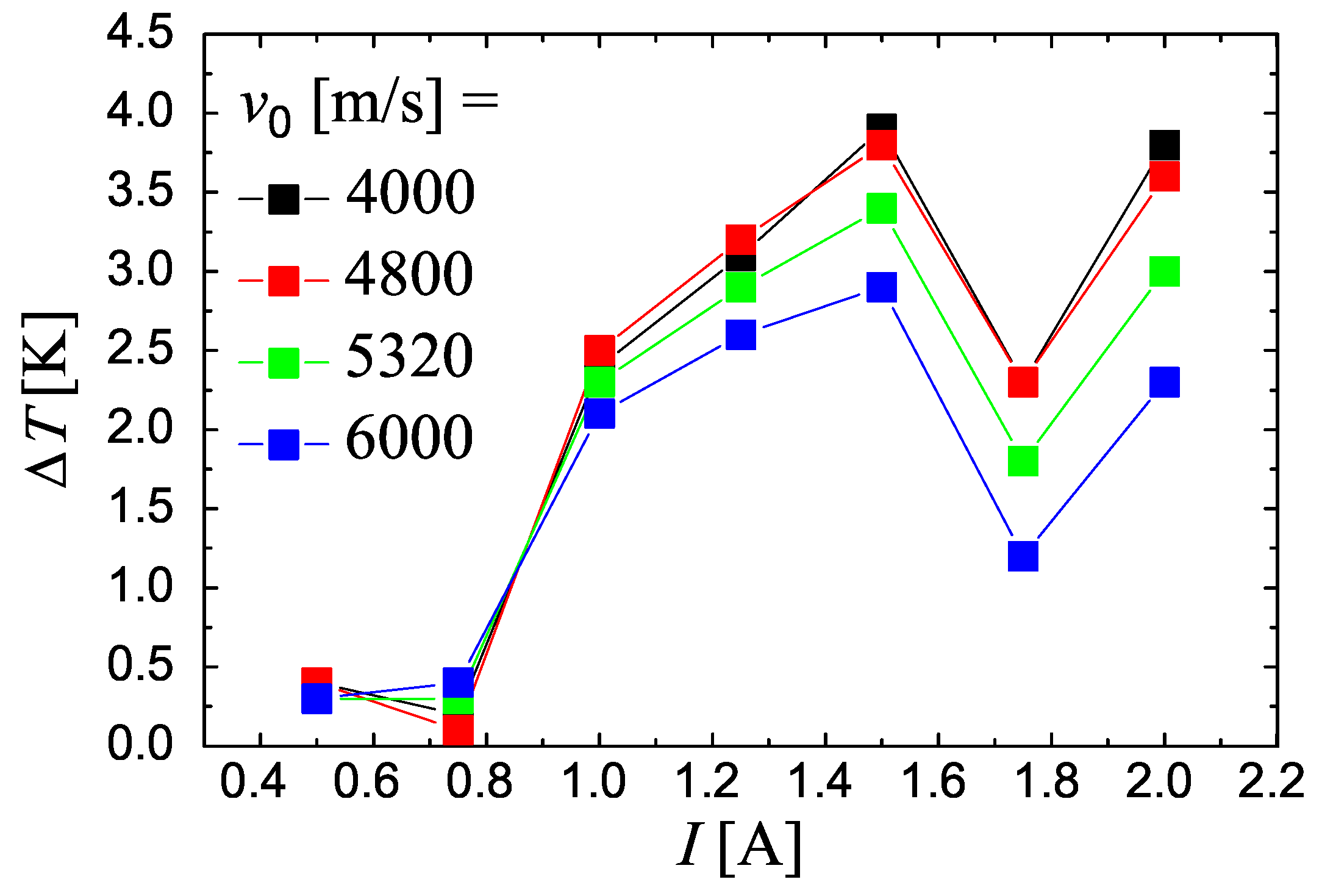
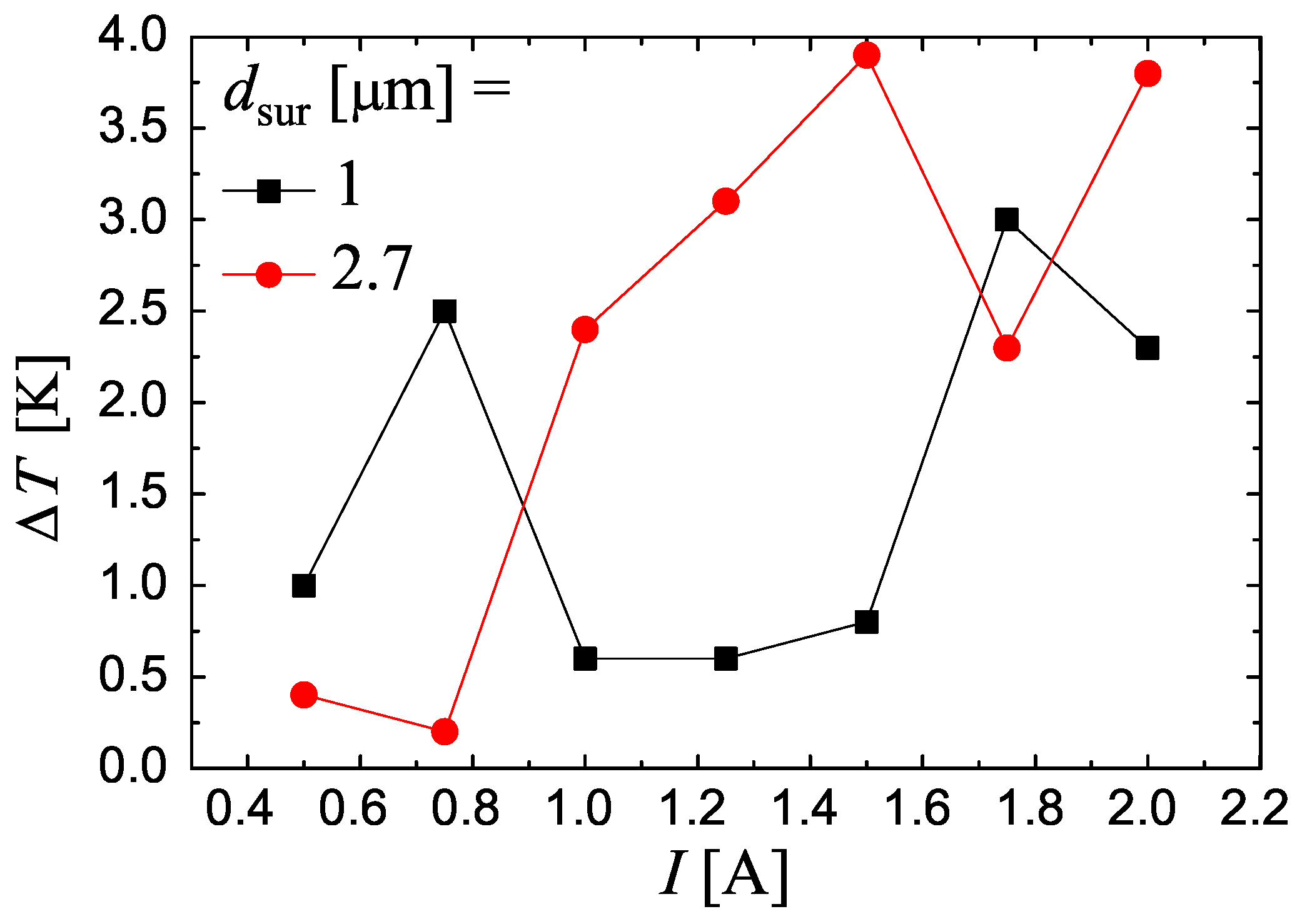
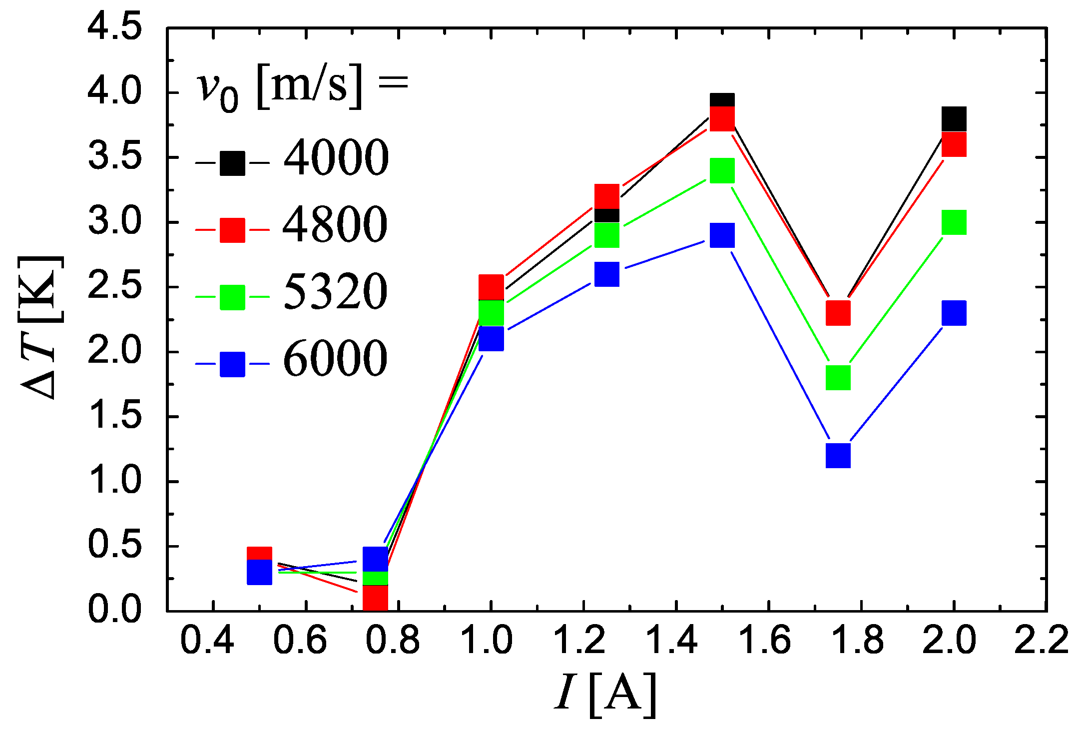
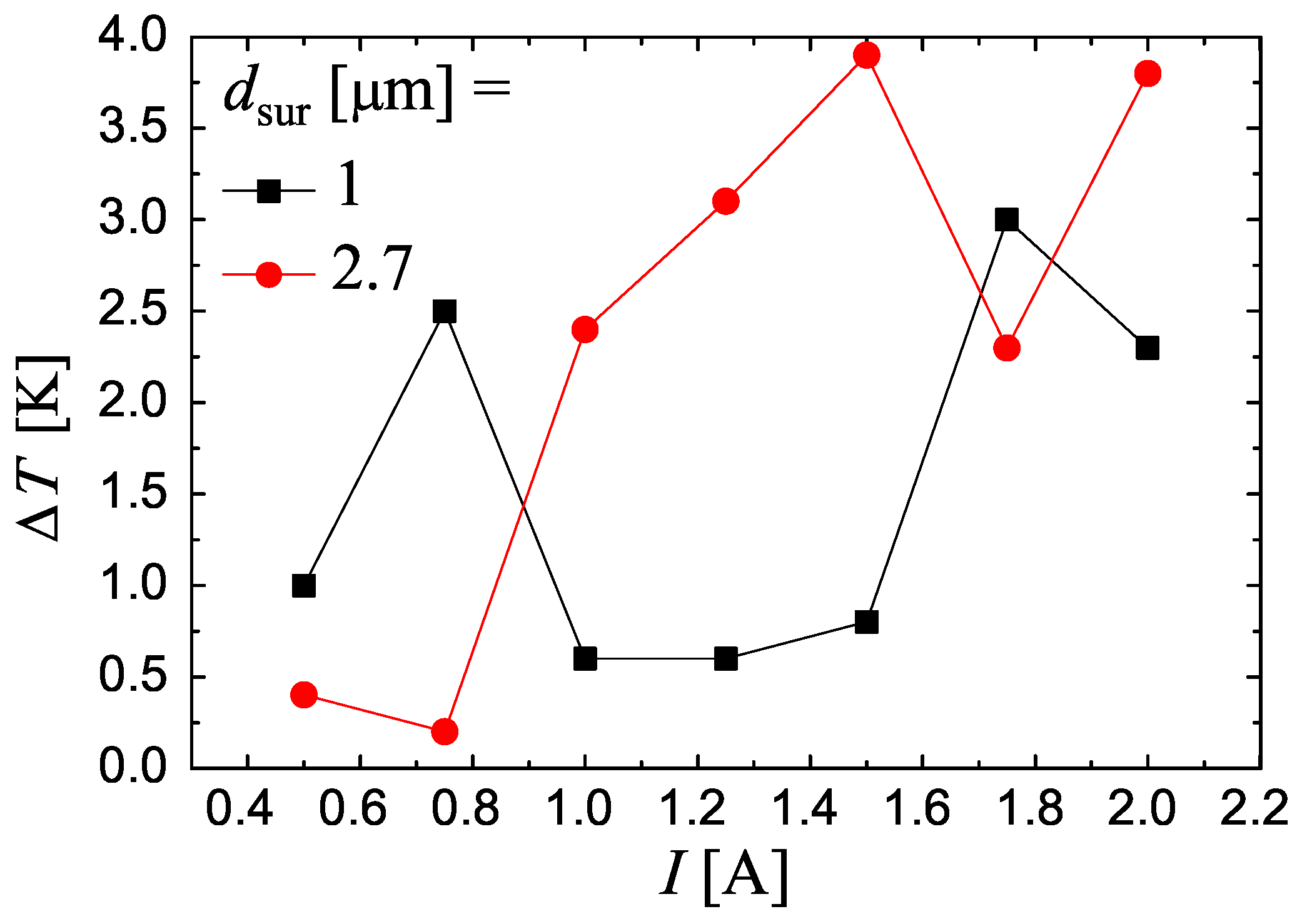
5. Results
6. Discussion
- (a)
- (b)
- (c)
- (d)
- Thermal Boundary Resistance (TBR) at interfaces between two solids [33].
7. Conclusions
Author Contributions
Funding
Conflicts of Interest
References
- Bachmann, F.; Loosen, P.; Poprawe, R. High Power Diode Lasers: Technology and Applications; Springer: New York, NY, USA, 2007; Volume 128. [Google Scholar]
- Wong, A. Next-generation 3D sensing applications enabled with edge-emitting laser diodes (Conference Presentation). In Light-Emitting Devices, Materials, and Applications; Kim, J.K., Krames, M.R., Strassburg, M., Eds.; International Society for Optics and Photonics: Bellingham, WA, USA, 2019; Volume 10940. [Google Scholar]
- Vitiello, M.S.; Scalari, G.; Williams, B.; De Natale, P. Quantum cascade lasers: 20 years of challenges. Opt. Express 2015, 23, 5167–5182. [Google Scholar] [CrossRef] [PubMed]
- Ma, X.; Qu, H.; Qi, A.; Zhou, X.; Ma, P.; Liu, A.; Zheng, W. High power tapered lasers with optimized photonic crystal structure for low divergence and high efficiency. Semicond. Sci. Technol. 2018, 33, 045010. [Google Scholar] [CrossRef]
- Norman, J.C.; Jung, D.; Wan, Y.; Bowers, J.E. Perspective: The future of quantum dot photonic integrated circuits. APL Photonics 2018, 3, 030901. [Google Scholar] [CrossRef]
- Liu, X.; Zhao, W.; Xiong, L.; Liu, H. Thermal design and management in high power semiconductor laser packaging. In Packaging of High Power Semiconductor Lasers; Springer: New York, NY, USA, 2015; pp. 53–88. [Google Scholar]
- Joyce, W.; Dixon, R. Thermal resistance of heterostructure lasers. J. Appl. Phys. 1975, 46, 855–862. [Google Scholar] [CrossRef]
- Wu, D.H.; Zah, C.E.; Liu, X. Three-dimensional thermal model of high-power semiconductor lasers. Appl. Opt. 2019, 58, 3892–3901. [Google Scholar] [CrossRef] [PubMed]
- Rinner, F.; Rogg, J.; Kelemen, M.; Mikulla, M.; Weimann, G.; Tomm, J.; Thamm, E.; Poprawe, R. Facet temperature reduction by a current blocking layer at the front facets of high-power InGaAs/AlGaAs lasers. J. Appl. Phys. 2003, 93, 1848–1850. [Google Scholar] [CrossRef]
- Arslan, S.; Gündoğdu, S.; Demir, A.; Aydınlı, A. Facet Cooling in High-Power InGaAs/AlGaAs Lasers. IEEE Photonics Technol. Lett. 2018, 31, 94–97. [Google Scholar] [CrossRef]
- Souto, J.; Pura, J.L.; Jiménez, J. Thermomechanical issues of high power laser diode catastrophic optical damage. J. Phys. D Appl. Phys. 2019, 52, 343002. [Google Scholar] [CrossRef]
- Deng, Z.; Shen, J.; Gong, W.; Dai, W.; Gong, M. Temperature distribution and thermal resistance analysis of high-power laser diode arrays. Int. J. Heat Mass Transf. 2019, 134, 41–50. [Google Scholar] [CrossRef]
- Bärwolff, A.; Puchert, R.; Enders, P.; Menzel, U.; Ackermann, D. Analysis of thermal behaviour of high power semiconductor laser arrays by means of the finite element method (FEM). J. Therm. Anal. Calorim. 1995, 45, 417–436. [Google Scholar] [CrossRef]
- Szymański, M.; Kozlowska, A.; Malag, A.; Szerling, A. Two-dimensional model of heat flow in broad-area laser diode mounted to a non-ideal heat sink. J. Phys. D Appl. Phys. 2007, 40, 924. [Google Scholar] [CrossRef]
- Nakwaski, W. Thermal analysis of the catastrophic mirror damage in laser diodes. J. Appl. Phys. 1985, 57, 2424–2430. [Google Scholar] [CrossRef]
- Chen, G.; Tien, C. Facet heating of quantum well lasers. J. Appl. Phys. 1993, 74, 2167–2174. [Google Scholar] [CrossRef]
- Smith, W. Mathematical modeling of thermal runaway in semiconductor laser operation. J. Appl. Phys. 2000, 87, 8276–8285. [Google Scholar] [CrossRef][Green Version]
- Menzel, U. Self-consistent calculation of facet heating in asymmetrically coated edge emitting diode lasers. Semicond. Sci. Technol. 1998, 13, 265. [Google Scholar] [CrossRef]
- Romo, G.; Smy, T.; Walkey, D.; Reid, B. Modeling facet heating in ridge lasers. Microelectron. Reliab. 2003, 43, 99–110. [Google Scholar] [CrossRef]
- Mukherjee, J.; McInerney, J.G. Electrothermal analysis of CW high-power broad-area laser diodes: A comparison between 2-D and 3-D modeling. IEEE J. Sel. Top. Quantum Electron. 2007, 13, 1180–1187. [Google Scholar] [CrossRef]
- Szymański, M.; Kozlowska, A.; Maląg, A.; Hoser, P. Two-dimensional model of heat flow in edge-emitting laser revisited: A new and more versatile approach. Int. J. Numer. Model. Electron. Netw. Devices Fields 2020, 33, e2745. [Google Scholar] [CrossRef]
- Ziegler, M.; Talalaev, V.; Tomm, J.W.; Elsaesser, T.; Ressel, P.; Sumpf, B.; Erbert, G. Surface recombination and facet heating in high-power diode lasers. Appl. Phys. Lett. 2008, 92, 203506. [Google Scholar] [CrossRef]
- Fiore, A.; Rossetti, M.; Alloing, B.; Paranthoen, C.; Chen, J.; Geelhaar, L.; Riechert, H. Carrier diffusion in low-dimensional semiconductors: A comparison of quantum wells, disordered quantum wells, and quantum dots. Phys. Rev. B 2004, 70, 205311. [Google Scholar] [CrossRef]
- Boroditsky, M.; Gontijo, I.; Jackson, M.; Vrijen, R.; Yablonovitch, E.; Krauss, T.; Cheng, C.C.; Scherer, A.; Bhat, R.; Krames, M. Surface recombination measurements on III–V candidate materials for nanostructure light-emitting diodes. J. Appl. Phys. 2000, 87, 3497–3504. [Google Scholar] [CrossRef]
- Weiss, T.P.; Bissig, B.; Feurer, T.; Carron, R.; Buecheler, S.; Tiwari, A.N. Bulk and surface recombination properties in thin film semiconductors with different surface treatments from time-resolved photoluminescence measurements. Sci. Rep. 2019, 9, 1–13. [Google Scholar] [CrossRef] [PubMed]
- Michalewicz, Z.; Fogel, D.B. How to Solve It: Modern Heuristics; Springer Science & Business Media: New York, NY, USA, 2013. [Google Scholar]
- Evans, C.; Jovanovic, V.; Indjin, D.; Ikonic, Z.; Harrison, P. Thermal effects in InGaAs/AlAsSb quantum-cascade lasers. IEE Proc.-Optoelectron. 2006, 153, 287–292. [Google Scholar] [CrossRef][Green Version]
- Hathaway, D.; Shahzad, M.; Sakthivel, T.S.; Suttinger, M.; Go, R.; Sanchez, E.; Seal, S.; Shu, H.; Lyakh, A. Output facet heating mechanism for uncoated high power long wave infrared quantum cascade lasers. AIP Adv. 2020, 10, 085104. [Google Scholar] [CrossRef]
- Benson, T.M.; Kendall, P. Variational techniques including effective and weighted index methods. Prog. Electromagn. Res. 1995, 10, 1–40. [Google Scholar]
- Steady Temperature in Rectangular Rod (Edge-Emitting Laser). Available online: https://uk.mathworks.com/matlabcentral/fileexchange/69398-steady-temperature-in-rectangular-rod-edge-emitting-laser?s_tid=srchtitle (accessed on 25 October 2021).
- Steady Temperature in Rectangular Rod (Different Heat Source). Available online: https://uk.mathworks.com/matlabcentral/fileexchange/72683-steady-temperature-in-rectangular-rod-different-heat-source?s_tid=srchtitle (accessed on 25 October 2021).
- Edge-Emitting Laser’s Mirror Heating (Surface Recombination). Available online: https://uk.mathworks.com/matlabcentral/fileexchange/75362-edge-emitting-laser-s-mirror-heating-surface-recombination?s_tid=srchtitle (accessed on 25 October 2021).
- Thermal Boundary Resistance at Interfaces Between Solids. Available online: https://uk.mathworks.com/matlabcentral/fileexchange/69224-thermal-boundary-resistance-at-interfaces-between-solids?s_tid=srchtitle (accessed on 25 October 2021).
- Gęsikowska, E.; Nakwaski, W. An impact of multi-layered structures of modern optoelectronic devices on their thermal properties. Opt. Quantum Electron. 2008, 40, 205–216. [Google Scholar] [CrossRef]
- Lee, H.; Chung, K.; Yu, J.; Razeghi, M. Thermal analysis of buried heterostructure quantum cascade lasers for long-wavelength infrared emission using 2D anisotropic heat-dissipation model. Phys. Status Solidi A 2009, 206, 356–362. [Google Scholar] [CrossRef]
- Abbas, F.; Pandey, B.J.; Clark, K.; Lascola, K.; Dikmelik, Y.; Robbins, D.; Hinojos, D.; Hodges, K.L.; Roodenko, K.; Gu, Q. Thermal modeling of quantum cascade lasers with 3D anisotropic heat transfer analysis. In Quantum Sensing and Nano Electronics and Photonics XVII; International Society for Optics and Photonics: Bellingham, WA, USA, 2020; Volume 11288, p. 1128808. [Google Scholar]
- Szymański, M. Calculation of the cross-plane thermal conductivity of a quantum cascade laser active region. J. Phys. D Appl. Phys. 2011, 44, 085101. [Google Scholar] [CrossRef]









| Layer Number | Description | Thickness [m] | Thermal Conductivity [W/(m K)] |
|---|---|---|---|
| 14 | GaAs substrate | 100 | 55.0 |
| 12 | GaAs buffer | 0.5 | 55.0 |
| 10 | AlGaAs n-cladding | 3.5 | 11.18 |
| 8 | AlGaAs gradient | 0.05 | 9.69 (averaged) |
| 6 | AlGaAs barrier | 0.05 | 11.0 |
| 4 | AlGaAs waveguide | 0.18 | 13.72 |
| 2 | GaAs spacer | 0.005 | 55.0 |
| - | InGaAs QW active layer | 0 | - |
| 1 | GaAs spacer | 0.005 | 55.0 |
| 3 | AlGaAs waveguide | 0.18 | 13.72 |
| 5 | AlGaAs barrier | 0.05 | 11.00 |
| 7 | AlGaAs gradient | 0.05 | 9.69 (averaged) |
| 9 | AlGaAs p-cladding | 3.5 | 11.18 |
| 11 | GaAs contact layer | 0.3 | 55.0 |
| 13 | Cu heat sink | 2000 | 384.0 |
Publisher’s Note: MDPI stays neutral with regard to jurisdictional claims in published maps and institutional affiliations. |
© 2021 by the authors. Licensee MDPI, Basel, Switzerland. This article is an open access article distributed under the terms and conditions of the Creative Commons Attribution (CC BY) license (https://creativecommons.org/licenses/by/4.0/).
Share and Cite
Szymański, M.; Kozłowska, A.; Tomm, J.; Huk, R.; Maląg, A.; Rusek, M. From Two- to Three-Dimensional Model of Heat Flow in Edge-Emitting Laser: Theory, Experiment and Numerical Tools. Energies 2021, 14, 7006. https://doi.org/10.3390/en14217006
Szymański M, Kozłowska A, Tomm J, Huk R, Maląg A, Rusek M. From Two- to Three-Dimensional Model of Heat Flow in Edge-Emitting Laser: Theory, Experiment and Numerical Tools. Energies. 2021; 14(21):7006. https://doi.org/10.3390/en14217006
Chicago/Turabian StyleSzymański, Michał, Anna Kozłowska, Jens Tomm, Roman Huk, Andrzej Maląg, and Marian Rusek. 2021. "From Two- to Three-Dimensional Model of Heat Flow in Edge-Emitting Laser: Theory, Experiment and Numerical Tools" Energies 14, no. 21: 7006. https://doi.org/10.3390/en14217006
APA StyleSzymański, M., Kozłowska, A., Tomm, J., Huk, R., Maląg, A., & Rusek, M. (2021). From Two- to Three-Dimensional Model of Heat Flow in Edge-Emitting Laser: Theory, Experiment and Numerical Tools. Energies, 14(21), 7006. https://doi.org/10.3390/en14217006

