Accelerated Aging Effects on the Hygrothermal Behaviour of Hemp Concrete: Experimental and Numerical Investigations
Abstract
:1. Introduction
2. Basis of the Model
- The different phases are in thermodynamic equilibrium at any point of the porous medium;
- The solid medium is homogeneous, isotropic, non-deformable and unreactive;
- Heat transfer by radiation is negligible compared to the other modes;
- The liquid phase consists of pure water;
- The gaseous phase obeys the law of perfect gases, consisting of water vapour and dry air;
- The hysteresis and chemical reaction between phases are not considered;
- The evolution of the water content, as a function of temperature, is neglected;
- The evolution of the thermal conductivity, as a function of temperature and humidity, is neglected;
- The transfer due to gravity is negligible compared to the other modes;
- The total pressure is considered to be constant.
2.1. Mass Conservation Equations
2.1.1. Liquid Transfer
2.1.2. Vapour Transfer
2.1.3. Energy Transfer
2.2. Model Validation
3. Materials and Methods
4. Results and Discussion
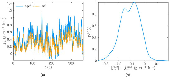
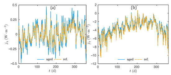
4.1. Aging Effects on the Prediction of Heat and Mass Transfer in Hemp Concrete
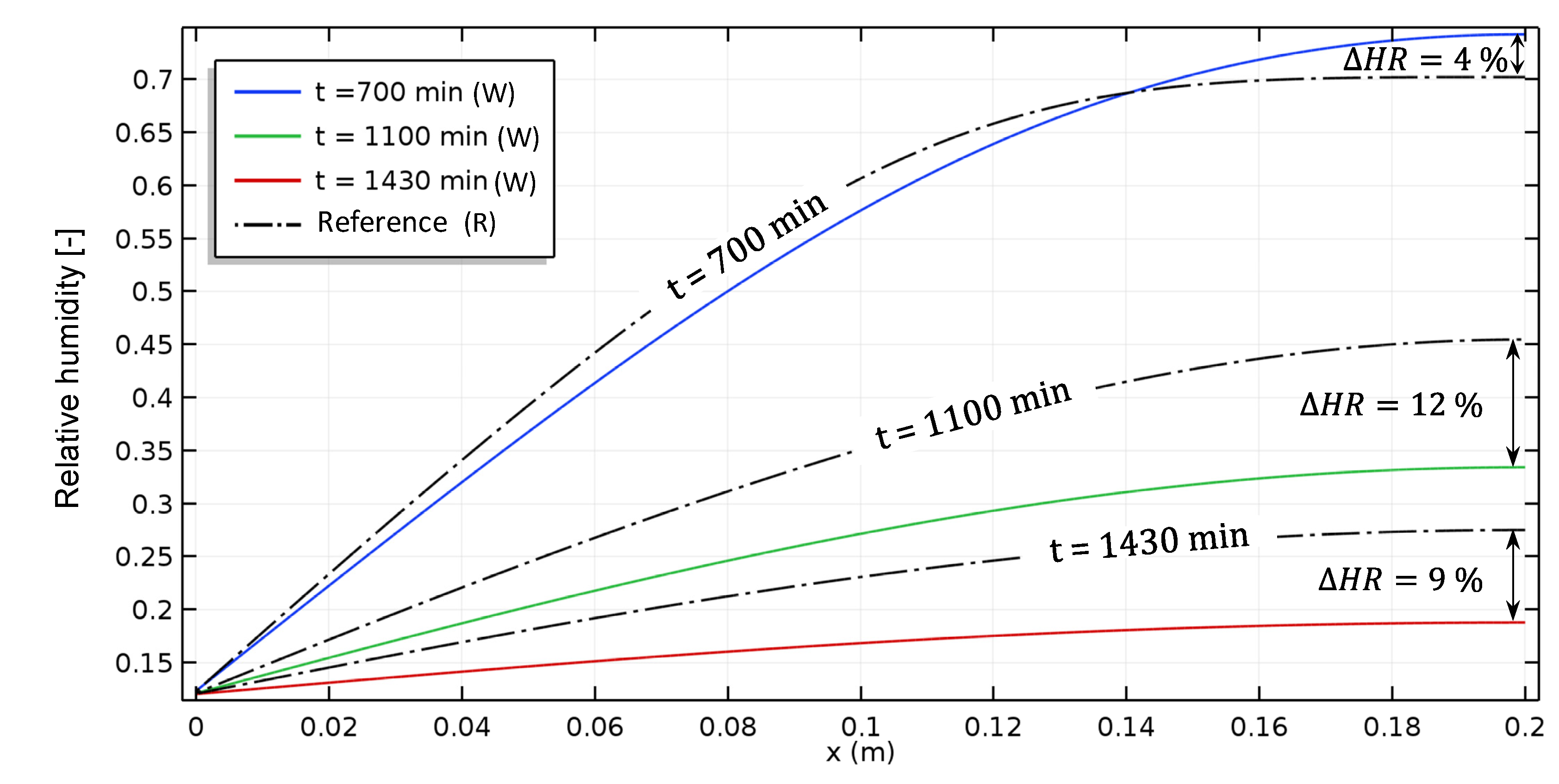
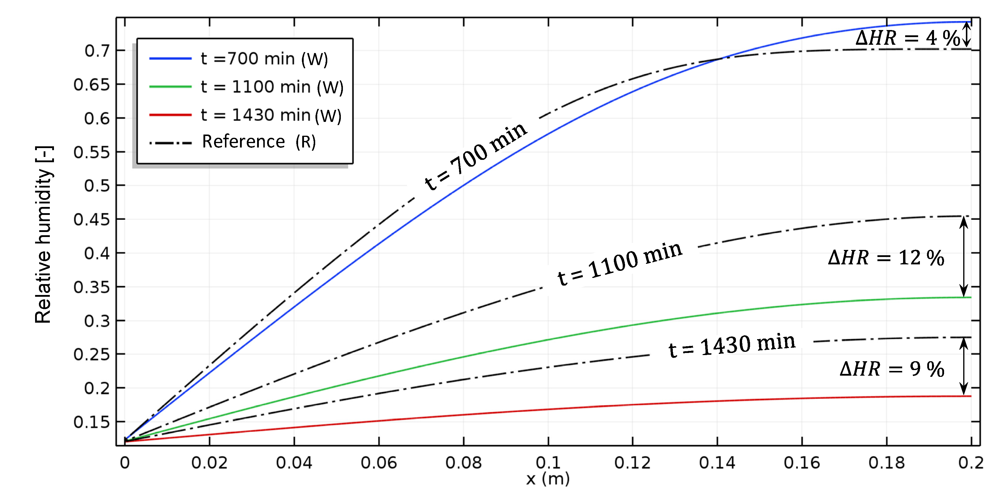
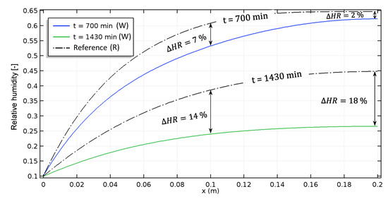
4.1.1. Isothermal Case
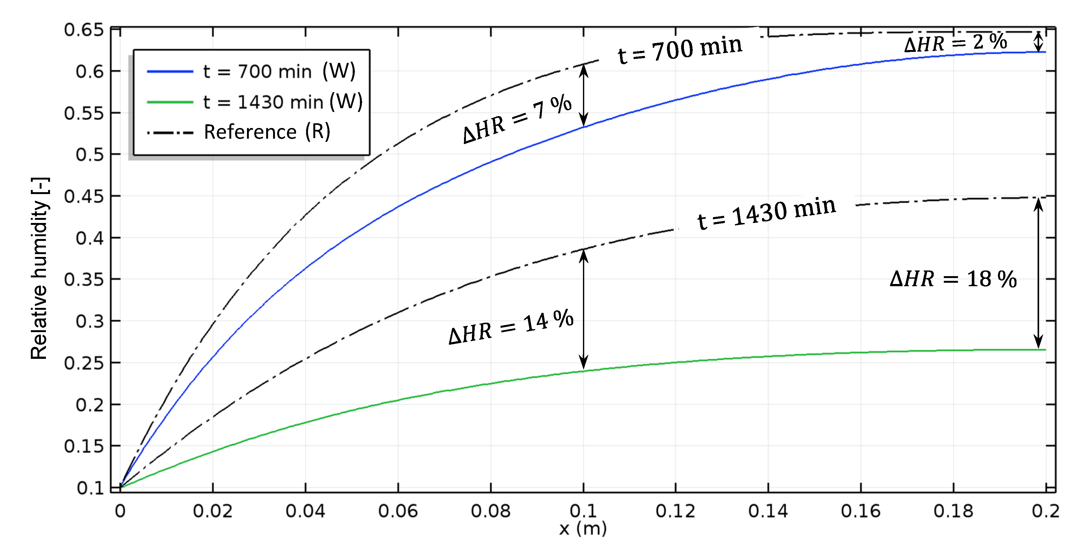
4.1.2. Non-Isothermal Case
4.2. Impact of Aging on the Energy Efficiency Assessment at the Wall Scale
5. Conclusions
- According to the experimental results, the aging protocol had a significant impact on the microstructure of the hemp concrete. Observations made using a digital microscope highlighted important cracks at the interface between the hemp shives and the binder. Those cracks were induced by swelling and shrinking of the hemp shives due to their sensitivity to heat and mass variations. Moreover, an overall increase of the porosity (by 6%) was observed for the aged material. The modifications of the microscopic properties led to a 39% increase of the vapour permeability and 11% of the thermal conductivity. In addition, significant differences were noted on the sorption curve and moisture capacity.
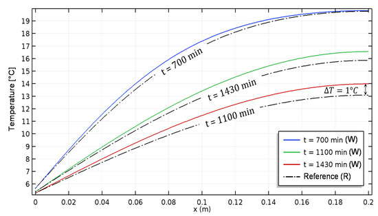
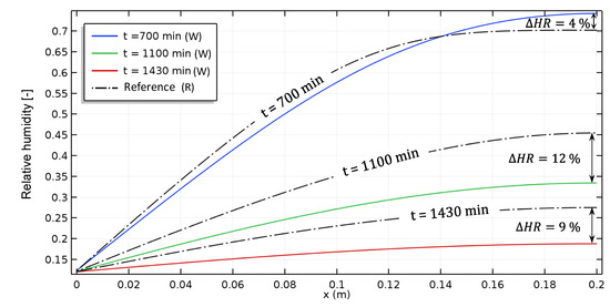
- According to the numerical investigations, a validated model was proposed, based on a normative comparison. For both cases, isothermal and non-isothermal, the aging effects modified the predictions of the heat and mass transfer, compared to the reference material. In the isothermal case, the difference reached 12% between the relative humidity profiles. In the second case, those differences were increased by 6%, highlighting the coupling effects between heat and mass transfer. Furthermore, the sensible heat flux was overestimated by the simulation considering the properties of the reference material. As for the latent heat flux, it was underestimated for the same configuration. Consequently, the conduction loads were lower in the case of aged materials. In other words, thermal efficiency is improved with aged materials.
Author Contributions
Funding
Institutional Review Board Statement
Informed Consent Statement
Data Availability Statement
Acknowledgments
Conflicts of Interest
References
- Zhang, X.; Liu, K.; Zhang, Z. Life cycle carbon emissions of two residential buildings in China: Comparison and uncertainty analysis of different assessment methods. J. Clean. Prod. 2020, 266, 122037. [Google Scholar] [CrossRef]
- Huo, T.; Li, X.; Cai, W.; Zuo, J.; Jia, F.; Wei, H. Exploring the impact of urbanization on urban building carbon emissions in China: Evidence from a provincial panel data model. Sustain. Cities Soc. 2020, 56, 102068. [Google Scholar] [CrossRef]
- Ding, Z.; Liu, S.; Luo, L.; Liao, L. A building information modeling-based carbon emission measurement system for prefabricated residential buildings during the materialization phase. J. Clean. Prod. 2020, 264, 121728. [Google Scholar] [CrossRef]
- Ministère de la Cohésion des Territoires et des Relations avec les Collectivités Térritorailes. Available online: https://www.cohesion-territoires.gouv.fr/rt2012 (accessed on 20 September 2021).
- Gradeci, K.; Labonnote, N.; Time, B.; Köhler, J. Mould growth criteria and design avoidance approaches in wood-based materials—A systematic review. Constr. Build. Mater. 2017, 150, 77–88. [Google Scholar] [CrossRef]
- Berger, J.; Guernouti, S.; Woloszyn, M.; Buhe, C. Factors governing the development of moisture disorders for integration into building performance simulation. J. Build. Eng. 2015, 3, 1–15. [Google Scholar] [CrossRef]
- Qin, M.; Belarbi, R. Development of an Analytical Method for Simultaneous Heat and Moisture Transfer in Building Materials Utilising Transfer Function Method. J. Mater. Civ. Eng. ASCE 2005, 17, 492–497. [Google Scholar] [CrossRef]
- Tran, A.D.; Samri, L.; Rahim, M.; Douzane, O.; Promis, G.; Langlet, T. Effect of Temperature-dependent Sorption Characteristics on the Hygrothermal Behavior of a Hemp Concrete Building. J. Appl. Fluid Mech. 2016, 78, 1449–1454. [Google Scholar]
- Bennai, F.; Issaadi, N.; Abahri, K.; Belarbi, R.; Tahakourt, A. Experimental characterization of thermal and hygric properties of hemp concrete with consideration of the material age evolution. Heat Mass Transf. 2017, 54, 1189–1197. [Google Scholar] [CrossRef]
- Bennai, F.; El Hachem, C.; Abahri, K.; Belarbi, R. Microscopic hydric characterization of hemp concrete by X-ray microtomography and digital volume correlation. Constr. Build. Mater. 2018, 188, 983–994. [Google Scholar] [CrossRef]
- Abahri, K.; El Hachem, C.; Bennai, F.; Ngoc, T.; Belarbi, R. Prediction of Hemp Concrete Morphological Deformation by X-ray Tomography. Am. Concr. Inst. ACI Spec. Publ. 2017, 320, 616–625. [Google Scholar]
- Benmahiddine, F.; Cherif, R.; Bennai, F.; Belarbi, R.; Tahakourt, A.; Abahri, K. Effect of flax shives content and size on the hygrothermal and mechanical properties of flax concrete. Constr. Build. Mater. 2020, 262, 120077. [Google Scholar] [CrossRef]
- Bennai, F.; Abahri, K.; Belarbi, R. Contribution to the Modelling of Coupled Heat and Mass Transfers on 3D Real Structure of Heterogeneous Building Materials: Application to Hemp Concrete. Transp. Porous Media 2020, 133, 333–356. [Google Scholar] [CrossRef]
- Sheridan, J.; Sonebi, M.; Taylor, S.; Amziane, S. The effect of a polyacrylic acid viscosity modifying agent on the mechanical, thermal and transport properties of hemp and rapeseed straw concrete. Constr. Build. Mater. 2020, 235, 117536. [Google Scholar] [CrossRef]
- Costantine, G.; Maalouf, C.; Moussa, T.; Polidori, G. Experimental and numerical investigations of thermal performance of a Hemp Lime external building insulation. Build. Environ. 2018, 131, 140–153. [Google Scholar] [CrossRef]
- Rémond, R.; Almeida, G.; Perré, P. The gripped-box model: A simple and robust formulation of sorption hysteresis for lignocellulosic materials. Constr. Build. Mater. 2018, 170, 716–724. [Google Scholar] [CrossRef]
- Aït Oumeziane, Y.; Bart, M.; Moissette, S.; Lanos, C. Hysteretic Behaviour and Moisture Buffering of Hemp Concrete. Transp. Porous Media 2014, 103, 515–533. [Google Scholar] [CrossRef]
- Lelievre, D.; Colinart, T.; Glouannec, P. Hygrothermal behavior of bio-based building materials including hysteresis effects: Experimental and numerical analyses. Energy Build. 2014, 84, 617–627. [Google Scholar] [CrossRef]
- Berger, J.; Busser, T.; Colinart, T.; Dutykh, D. Critical assessment of a new mathematical model for hysteresis effects on heat and mass transfer in porous building material. Int. J. Sci 2020, 151, 106275. [Google Scholar] [CrossRef] [Green Version]
- Benmahiddine, F.; Bennai, F.; Cherif, R.; Belarbi, R.; Tahakourt, A.; ABAHRI, K. Experimental investigation on the influence of immersion/drying cycles on the hygrothermal and mechanical properties of hemp concrete. J. Build. Eng. 2020, 101758, 1–9. [Google Scholar] [CrossRef]
- Bennai, F.; El Hachem, C.; Abahri, K.; Belarbi, R. Influence of hydric solicitations on the morphological behavior of hemp concrete. Rilem Tech. Lett. 2019, 4, 16–21. [Google Scholar] [CrossRef] [Green Version]
- Arizzi, A.; Viles, H.; Martín-Sanchez, I.; Cultrone, G. Predicting the long-term durability of hemp–lime renders in inland and coastal areas using Mediterranean, Tropical and Semi-arid climatic simulations. Sci. Total Environ. 2016, 542, 757–770. [Google Scholar] [CrossRef] [PubMed]
- Sassoni, E.; Manzi, S.; Motori, A.; Montecchi, M.; Canti, M. Experimental study on the physical-mechanical durability of innovative hemp-based composites for the building industry. Energy Build. 2015, 104, 316–322. [Google Scholar] [CrossRef]
- Chabannes, M.; Garcia-Diaz, E.; Clerc, L.; Bénézet, J.C. Studying the hardening and mechanical performances of rice husk and hemp-based building materials cured under natural and accelerated carbonation. Constr. Build. Mater. 2015, 94, 105–115. [Google Scholar] [CrossRef]
- Remki, B.; Abahri, K.; Tahlaiti, M.; Belarbi, R. Hygrothermal transfer in wood drying under the atmospheric pressure gradient. Int. J. Sci. 2012, 57, 135–141. [Google Scholar] [CrossRef]
- Ferroukhi, M.Y.; Abahri, K.; Belarbi, R.; Limam, K. Integration of a hygrothermal transfer model for envelope in a building energy simulation model: Experimental validation of a HAM–BES co-simulation approach. Heat Mass Transf. Und Stoffuebertragung 2017, 53, 1851–1861. [Google Scholar] [CrossRef]
- Delannoy, G.; Marceau, S.; Glé, P.; Gourlay, E.; Guéguen-Minerbe, M.; Amziane, S.; Farcas, F. Durability of hemp concretes exposed to accelerated environmental aging. Constr. Build. Mater. 2020, 252, 119043. [Google Scholar] [CrossRef]
- Marceau, S.; Glé, P.; Guéguen-Minerbe, M.; Gourlay, E.; Moscardelli, S.; Nour, I.; Amziane, S. Influence of accelerated aging on the properties of hemp concretes. Constr. Build. Mater. 2017, 139, 524–530. [Google Scholar] [CrossRef]
- NFEN12667. Performance Thermique des Matériaux et Produits Pour le Bâtiment—Détermination de la Résistance Thermique Par la Méthode de la Plaque Chaude Gardée et la Méthode Fluxmétrique—Produits de Haute et Moyenne Résistance Thermique; Afnor Editions: Seine-Saint-Denis, France, 2001. [Google Scholar]
- NFEN12664. Performance Thermique des Matériaux et Produits Pour le Bâtiment—Détermination de la Résistance Thermique Par la Méthode de la Plaque Chaude Gardée et la Méthode Fluxmétrique—Produits Secs et Humides de Moyenne et Basse Résistance Thermique; Afnor Editions: Seine-Saint-Denis, France, 2001. [Google Scholar]
- European Standard ISO 12572. Building Materials—Determination of Water Vapor Transmission Properties; (ISO/DIS 12572:1997) PrEN ISO 12572 1997; ISO: Geneva, Switzerland, 1997. [Google Scholar]
- Issaadi, N.; Nouviaire, A.; Belarbi, R.; Aït-Mokhtar, A. Moisture characterization of cementitious material properties: Assessment of water vapor sorption isotherm and permeability variation with ages. Constr. Build. Mater. 2015, 83, 237–247. [Google Scholar] [CrossRef]
- Rode, C.; Peuhkuri, R.; Time, B.; Gustavsen, A.; Ojanen, T.; Ahonen, J.; Svennberg, K.; Harderup, L.-E.; Arfvidsson, J. Moisture Buffering of Building Materials; Technical University of Denmark, Department of Civil Engineering: Lyngby, Denmark, 2005. [Google Scholar]
- Rode, C.; Peuhkuri, R.; Time, B.; Svennberg, K.; Ojanen, T. Moisture Buffer Value of Building Materials. J. Astm. Int. 2006, 4, 100369. [Google Scholar] [CrossRef] [Green Version]
- Belarbi, R.; Qin, M.; Aït-Mokhtar, A.; Nilsson, L.O. Experimental and theoretical investigation of non-isothermal transfer in hygroscopic building materials. Build. Environ. 2008, 43, 2154–2162. [Google Scholar] [CrossRef]
- Qin, M.; Belarbi, R.; Ait-Mokhtar, A.; Nilsson, L.-O. Nonisothermal moisture transport in hygroscopic building materials: Modeling for the determination of moisture transport coefficients. Transp. Porous Media 2008, 72, 255–271. [Google Scholar] [CrossRef]
- Trabelsi, A.; Belarbi, R.; Abahri, K.; Qin, M. Assessment of temperature gradient effects on moisture transfer through thermogradient coefficient. Build. Simul. 2012, 5, 107–115. [Google Scholar] [CrossRef]





















| Hemp Shive (Chanvribat) | Binder (Tradical PF70) | Water |
|---|---|---|
| 16% | 34% | 50% |
| Samples Tested | Reference | Standard Deviation | Aged | Standard Deviation | |
|---|---|---|---|---|---|
| [kg/m3] | 3 | 484.56 | 4.12 | 480.27 | 4.36 |
| [mW/m·K] | 3 | 100.73 | 2.27 | 89.42 | 1.45 |
| [J/(Kg·K)] | 1 | 872.34 | - | 902.60 | - |
| [kg/(m·s·Pa)] | 3 | 2.85 × 10−11 | 8.01 × 10−13 | 3.95 × 10−11 | 3.09 × 10−12 |
| Porosity [%] | 3 | 71.51 | 0.22 | 76.07 | 0.88 |
Publisher’s Note: MDPI stays neutral with regard to jurisdictional claims in published maps and institutional affiliations. |
© 2021 by the authors. Licensee MDPI, Basel, Switzerland. This article is an open access article distributed under the terms and conditions of the Creative Commons Attribution (CC BY) license (https://creativecommons.org/licenses/by/4.0/).
Share and Cite
Benmahiddine, F.; Belarbi, R.; Berger, J.; Bennai, F.; Tahakourt, A. Accelerated Aging Effects on the Hygrothermal Behaviour of Hemp Concrete: Experimental and Numerical Investigations. Energies 2021, 14, 7005. https://doi.org/10.3390/en14217005
Benmahiddine F, Belarbi R, Berger J, Bennai F, Tahakourt A. Accelerated Aging Effects on the Hygrothermal Behaviour of Hemp Concrete: Experimental and Numerical Investigations. Energies. 2021; 14(21):7005. https://doi.org/10.3390/en14217005
Chicago/Turabian StyleBenmahiddine, Ferhat, Rafik Belarbi, Julien Berger, Fares Bennai, and Abdelkader Tahakourt. 2021. "Accelerated Aging Effects on the Hygrothermal Behaviour of Hemp Concrete: Experimental and Numerical Investigations" Energies 14, no. 21: 7005. https://doi.org/10.3390/en14217005
APA StyleBenmahiddine, F., Belarbi, R., Berger, J., Bennai, F., & Tahakourt, A. (2021). Accelerated Aging Effects on the Hygrothermal Behaviour of Hemp Concrete: Experimental and Numerical Investigations. Energies, 14(21), 7005. https://doi.org/10.3390/en14217005

