Next Article in Journal
An All-Solid-State Lithium Metal Battery Based on Electrodes-Compatible Plastic Crystal Electrolyte
Previous Article in Journal
Assessing Uncertainties of Life-Cycle CO2 Emissions Using Hydrogen Energy for Power Generation
 
 
Font Type:
Arial Georgia Verdana
Font Size:
Aa Aa Aa
Line Spacing:
Column Width:
Background:
Article

Superconducting Surge Current Limiter

Faculty of Engineering and Computer Science, Department of Electrical Engineering and Electrotechnology, Lublin University of Technology, 38A Nadbystrzycka St., 20-618 Lublin, Poland
Energies 2021, 14(21), 6944; https://doi.org/10.3390/en14216944
Submission received: 5 August 2021 / Revised: 1 October 2021 / Accepted: 4 October 2021 / Published: 22 October 2021

Abstract

:
A superconducting fault current limiter (SFCL) for medium voltage networks cooled by a cryocooler was designed, built and tested by the current author. For the construction of this limiter, a high-temperature second generation superconducting tape (HTS 2G)—SF12100—was used. In this limiter, it is possible to change the working temperature. The possibility of changing the operating temperature allows for adjusting the parameters of the limiter to the electric power needs. Adjusting the parameters of the limiter to the power needs is a key problem to solve, resulting from the ambiguous characteristics of HTS tapes. Cooling with a cryocooler is the only solution in the case of a limiter for power industry applications. The electric power mechanism does not tolerate any liquids. After analyzing the experimental results and after analyzing the results from the numerical models of the limiter, the concepts of using superconductors to limit current in the power industry were changed: the transition from a superconducting fault current limiter (SFCL) to a superconducting surge current limiter (SSCL). Transition to the limiter operation system—surge current limitation—is associated with the reduction in the limiter operation time. The advantages of the transition from the SFCL to SSCL work system are presented.

1. Introduction

A superconducting fault current limiter—SFCL—for medium voltage networks cooled by a cryocooler, financed by the National Fund for Environmental Protection and Water Management and the National Center for Research and Development, under the project: GEKON2/O2/267193/13/2015, was designed, built and tested with the participation of the author [1,2,3].
This SFCL is built with the use of a second generation high-temperature superconducting tape (HTS 2G)—SF12100 (SuperPower Inc., 21 Airport Road, Glenville, NY 12302, USA) Both superconducting windings of the limiter have 28.5 turns of the superconducting tape SF12100. Each winding has 66 m of the HTS tape wound in opposite directions and connected in parallel. The terminals of the windings are situated on the internal side of the windings structure and are connected to the current leads [3]. The currents leads and the superconducting windings are cooled by cryocooler KDE400SA. The ceramic insulators of the current leads assure good thermal transfer and electrical insulation. The fiberglass structure of the superconducting windings is light and nonconductive of electrical current. The copper plates (76.8 kg) incised into vertical stripes ensure good conductive cooling of the windings and reduce the eddy currents’ losses [3]. The SFCL winding diameter is 0.736 m and the winding height is 0.44 m. A LakeShore 218 Temperature Monitor with Cernox sensors is used to measure the temperature of SFCL. Cernox sensors are attached to the copper plates.
Contrary to the previous limiters for medium voltage networks built and tested by the author [4,5,6,7,8,9], in which a cooling system in a liquid nitrogen bath was used, with a constant operating temperature of the limiter of 77.4 K, there is a possibility of changing the operating temperature.
Table 1 shows the SFCL design parameters according to [3]. In fact, the electrical parameters of the constructed SFCL are better than the design parameters [3] (Table 1). The reason for this is described in Chapter 4.
As seen in the References, publications [1,2,3,4,5,6,7,8,9,10,11,12,13,14,15,16,17] are used in this article. I included another ten new publications from 2021 [18,19,20,21,22,23,24,25,26,27] (selected out of many publications), which shows that the topic of SFCL is still relevant and many people around the World are researching it.
The article [20] presents the idea of the SFCL design, similar to the described limiter, but the made, small limiter is similar to that constructed by my laboratory in 2013. The described limiter is to be used in electric propulsion aircrafts. High-voltage limiters are described in articles [18,23,27]. The articles [22,27] present the limiter operating in the DC system. Current limiting in a DC system is not a problem. The problem is the disconnection of the limiter because the limited current does not cross zero, as in the case of an AC system. The articles [18,19,21,26,27] describe a different design of the limiter winding than in the case of the SFCL from this article. In articles [24,25], some problems related to the operation of medium voltage SFCLs were described. In the selected articles, the limiters were not cooled with the use of a cryocooler. These limiters were cooled mainly with liquid nitrogen.

2. Conclusions after Short-Circuit Tests

The SFCL tested in the Short-Circuit Endurance Testing Laboratory of the Institute of Electrical Engineering in Warsaw was the third medium voltage limiter built by the author [1,2,3] (Figure 1).
Previous limiters (Figure 2) were also tested in this Short-Circuit Endurance Testing Laboratory. The analysis of the causes of the failure of the two previous limiters allows one to design a good limiter, which was not damaged after three short-circuit tests. These were not “laboratory” short-circuit tests. The power of the short-circuit generator was 2.5 GVA. The short-circuit current, without limiter, was set to 81.24 kA.
Before the short-circuit test, all sensors were disconnected. This was due to the enormous power generated in the limiter during the limitation of the short-circuit (Figure 3) and the medium voltage that could damage the measuring instruments. A few minutes after the sensors had been disconnected, a short-circuit test was carried out. A few minutes after the short-circuit test, the measuring sensors were turned on and the data were saved. If the temperature of the limiter was lower than the critical temperature of the HTS tape, the measuring instruments were disconnected again and another short-circuit test was performed.
Three short-circuit tests were successfully carried out, starting at T0 = 72 K (Figure 4). The second short-circuit test started at the limiter temperature T0 = 80 K (Figure 5), and the third one at the temperature T0 = 86 K (Figure 6). After the third short-circuit test, the temperature of the limiter rose to a level higher than the critical temperature of the HTS tape and the short-circuit tests were completed.
Figure 7 shows short-circuit current waveform in the tested system without SFCL and with SFCL (short-circuit test No. 1, T0 = 72 K, Figure 4).
During the short-circuit tests in the Short-Circuit Endurance Testing Laboratory, only the current and voltage at the limiter were recorded (Figure 4, Figure 5, Figure 6 and Figure 7). Therefore, a numerical analysis of the operation of the limiter was necessary [1,2,7,11,12]. The geometry and electrical circuit diagram of the numerical model are presented in Figure 8. The geometric parameters of the areas of the numerical model are shown in Table 2. The numerical model of the SFCL was developed using the FLUX2D program. The numerical model allows the analysis of electromagnetic and thermal phenomena occurring in a SFCL located in the short-circuit circuit.
Electromagnetic calculations were carried out in the transient magnetic module coupled with the external circuit and in the transient thermal module. In each calculation step, the temperature of the HTS windings was calculated and the resistance of these windings in the external circuit was changed depending on the current and temperature, taking into account the heat distribution between the areas SC1, SC2 and IZ1, IZ2, IZ3, CU1, CU2 (Figure 8a). The necessary parameters (1T, 2T, 1TIZ, 2TIZ, 1TCU, 2TCU) used for the calculation of the heat balance are stored in additional auxiliary electrical circuits (Figure 8b). Table 3 presents the parameters used in the SFCL numerical model, defined by existing functions or defined by a user function (User ()). Some parameters have values assigned to them.
During the first test, at the 72 K initial temperature, the current was limited in the short-circuit circuit from 81.24 kA (without the limiter) to a maximum of 1.9 kA (Figure 4, Figure 7, Figure 9 and Figure 10). During the second short-circuit test, which was carried out at the 80 K initial temperature (Figure 5, Figure 9 and Figure 10), the current was limited from 81.24 kA to 1 kA. The third test was carried out at the 86 K initial temperature and the maximum limited current was similar to the current in the second short-circuit test (Figure 6, Figure 9 and Figure 10).
The waveforms of the current during the limitation of the short-circuit depend largely on the initial temperature of the limiter as shown in Figure 4, Figure 5, Figure 6, Figure 7, Figure 9 and Figure 10. The lower the initial temperature, the greater the maximum current. The maximum current increases with the increase in the critical current when the temperature is less than 80 K. For temperatures above 80 K, the maximum short-circuit current remains around 1 kA, regardless of the decreasing critical current (Figure 10).
Changing the temperature changes the parameters of the HTS tape. Figure 11 shows the relationship between the critical current of the SF12100 tape and the temperature [1,2,3,14]. Lowering the temperature from 77.4 K to 72 K increases the critical current of the SF12100 tape 1.5 times (in relation to 77.4 K). At the temperature of 80 K, the multiplicity of the critical current of the SF12100 tape (in relation to 77.4 K) is 0.7. If we assume that the operating temperature of this limiter is 72 K, then after the short-circuit current is reduced, after the limiter temperature rises from 72 K to 80 K, the limiter parameters decrease by more than twice (1.5/0.7). In the case of laboratory tests, it is of little importance; in the case of using a limiter in the power industry, it is crucial.

3. Analysis of the Operation of the Limiter

In the analysis, the 72 K temperature was assumed as the base operating temperature of the limiter. The tested SFCL limited the short-circuit current over 0.08 s. The limitation time was determined so that the temperature of the superconducting windings (HTS tapes) during current limitation did not exceed a certain value. The SF12100 tape temperature must not exceed 420 K. It is related not only to the construction of the tape, but also to the material used to solder the tape. After 0.08 s, the limiter was disconnected by a conventional switch. Figure 12 shows the temperature change of the HTS tape during a short-circuit lasting 0.08 s (as during the first short-circuit test) and during longer short-circuits lasting 0.1 s and 0.12 s.
In Table 4, the values of the maximum temperature Tmax and the end temperature T(3s) are given according to Figure 12. The end temperature T(3s) is the temperature after 3 s counted from the beginning of the short-circuit test (not from the end). From the (design) assumption, the maximum temperature of the HTS limiter cannot exceed 420 K. Additionally, this is the case in three cases of short-circuit current limitation (Figure 12). The maximum temperature of the limiter is the temperature of the HTS tape. The end temperature T(3s) is understood as the temperature of the entire limiter. The differences in the final temperatures are small compared to the differences in the maximum temperatures, which can be seen in Figure 12 and in Table 4. The differences in the final temperatures have an impact on the operation of the limiter in the electric power system.

3.1. Analysis of the Results (Figures 12 and 13, Tables 4 and 5) in the Laboratory Context

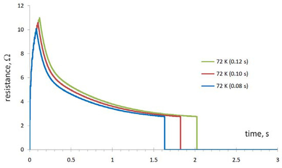
The limiter works satisfactorily. It returns to the superconducting state quickly after the short-circuit is reduced (Figure 13). Changing the short-circuit current limiting time does not change the (laboratory) parameters of the limiter. The increase in the time of limiting the current minimally increases the time of the limiter’s recovery from the resistive state to the superconducting state (Table 5).

3.2. Analysis of the Results (Figures 12 and 13, Tables 4 and 5) in the Context of the Electric Power System

The change of the limiter parameters after limiting the short-circuit in terms of the electric power system is decisive.
The relationships between Ic, Ir and Ir max are given by the following formulas:
Ir max = √2Ir
and
Ic = 3Ir max
The number 3 is the assumed value related to the multiplicity of overload currents in the power system.
In conventional devices, the sequence of adjustments to the operating parameters of the limiters starts with Ir. The RMS value of the rated current is a property of the system for which the limiter is designed. The maximum value of the rated current multiplied by 3 (the assumed value) determines the threshold of the short-circuit current limiter.
From the point of view of the operation of a superconducting limiter, the parameters Ir max and Ic are important. In the case of a superconducting limiter, the initial data of the limiter are its activation threshold—critical current Ic.
The parameters of the limiter connected to the protection system after limiting the short circuit have changed (Figure 14, Table 6). After a short-circuit lasting 0.08 s, Ic of the limiter is not much higher than Ir max before the short-circuit. The limiter will work correctly at the rated current. If the maximum of the rated current is exceeded by 13% (Ic = 113% Ir max), the limiter will start to limit the current, and this should only occur after 300% Ir max. After short-circuits lasting 0.1 s and 0.12 s, the Ic of the limiter is lower than Ir max before the short-circuit. The limiter will therefore start to limit the current to a value lower than the rated current. To sum up, the conclusion is as follows: after limiting the short-circuit, lasting for 0.08 s, 0.1 s and 0.12 s, the limiter can be connected back to the protection system, after cooling it to the temperature before the short-circuit, in the discussed case—to the temperature = 72 K. The cool-down time is long and is(according to the data in Table 4) from 6300 s to 8400 s.

4. Cryocooler in the Power System

In HTS 2G tapes (second generation), due to the complex deposition processes of the material, it is difficult to maintain homogeneous superconducting properties—i.e., the critical current. Figure 15 shows the characteristics of one of the HTS 2G tapes (SF12050), which was used to build the previous current limiters (Figure 3) [4,5,6,7,8,9]. There are significant differences in the value of the critical current measured every 5 m of the tape [7,10,13,14]. The minimum value of the critical current for this tape (200 m) is 256 A and the maximum value of the critical current is ~330 A. For a 200 m spool, the nominal critical current is the lowest critical current value out of 40 measurements every 5 m of tape of spool. This is of colossal importance. If we unwind the first 30 m from this spool, this piece will have a critical current = 256 A. The next 30 m of tape from this spool will have a critical current of ~300 A.
Such a problem appeared in the discussed limiter. After designing the limiter for the set value of the rated current Ir, an HTS tape with a specific value of the critical current was purchased. However, as shown in Figure 15, it was the minimum value of the critical current.
After building the limiter and conducting short-circuit tests, we obtained data that allowed us to verify the numerical models. It turned out that the critical current of the limiter (the HTS tape used in the limiter) is much higher than the current value provided by the manufacturer for the entire spool with the HTS tape. From a laboratory point of view, this is not a problem and even an advantage. From the power engineering point of view, such a limiter cannot be installed in the planned place with the adopted rated current Ir, because it must operate after exceeding the maximum Ir max three times. If it has better parameters, i.e., Ic is much greater than 3 Ir max, some of the short-circuits will not be limited.
In the case of a bath-cooled limiter, with a constant temperature, this problem cannot be solved. In the case of contact cooling with the use of a cryocooler, by changing the temperature, the parameters of the limiter can be easily adjusted to those required in the system. Thus, the value of the limiter critical current Ic, which determines the limiter parameters, can be changed.
By changing the operating temperature of the limiter through a cryocooler, you can change the parameters of the limiter, which is an advantage. The main disadvantage of contact cooling is the small power of the cryocooler—that is, the long cooling time.
The limiter examined by the author was not only short-circuit tested, but was installed in the switching station (for a week). This confirmed that cooling with a cryocooler is the only solution in the case of the limiter for power industry applications. One should forget about cooling with the use of cryogenic liquids; the electric power engineering does not tolerate any liquids. If the limiter were cooled with liquid nitrogen (lH2), there would be no room for a limiter to be installed at the switching station, and there would be no consent from the power industry. The liquid helium (lHe) in the compressor in the cryocooler moves in a closed area, is isolated from the surroundings and is not a problem in the power industry. If the compressor (lHe) for the cryocooler was water-cooled (H2O), there would also be no water in the vicinity of the limiter installation, nor would there be any approval of the electric power engineers for the installation. The compressor (lHe) in the cryocooler of the installed limiter was cooled by an electrically driven fan.

5. Changing the Principle of Operation of the Limiter

After analyzing the experimental results (short-circuit tests) and after analyzing the results of the numerical models of the limiter (models verified by the results of short-circuit tests), I changed the concepts of using superconductors to limit current in the power industry: from the Superconducting Fault Current Limiter (SFCL) to Superconducting Surge Current Limiter (SSCL).
The superconducting limiter will be connected in series with an electronic switch, e.g., thyristor. After limiting the surge current, the electronic circuit breaker will disconnect the superconducting limiter, and further limitation of the short-circuit current will take place in a conventional system, which will be turned on after disconnecting the SFCL. This change will reduce the heating time of the SFCL limiter from 0.08 s to 0.01 s. Figure 16 shows a comparison of the HTS tape temperature waveforms during short-circuits in which the limiter is disconnected after 0.01 s and after 0.08 s.
In Table 7, the values of the maximum temperature Tmax and end temperature T(3s) are given according to Figure 16. The maximum short-circuit temperature of 72 K (0.01 s) is much lower than the Tmax of 72 K short-circuit (0.08 s). The end temperature T(3s) after a short-circuit of 72 K (0.01 s) is significantly lower than T(3s) after a short-circuit of 72 K (0.08 s).
Figure 17 (and Table 8) shows the basic parameters of the limiter—Ic and Ir max before short-circuit (0 s) and after short-circuits lasting 0.01 s and 0.08 s. After limiting the short-circuit, the limiter connected to the protection system changes the parameters as a result of the limiter temperature increase. After a short-circuit lasting 0.08 s, the Ic of the limiter is not much higher than Ir max before the short-circuit. The limiter will work correctly at the rated current. The limiter will start to limiting current at 113% Ir max, but this should only occur after 300% Ir max. After a short-circuit lasting 0.01 s, the Ic of the limiter is 231% higher than the Ir max before the short-circuit. 231% is less than the required 300% but this may cold be an acceptable value compared to 113% for a 72 K (0.08 s) short-circuit.
The second, very significant difference is presented in Figure 18 and Table 9. The most important thing is that after a short-circuit of 72 K (0.01 s), the limiter returns from the resistive state to the superconducting state after less than 1 s, and exactly after = 0.55 s. This is of fundamental importance from the point of view of power engineering. The power system, after disconnecting during the fault, is reconnected after less than 1 s. Therefore, this 72 K (0.01 s) limiter can be reconnected to the system after less than 1 s. Obviously, the limiter will not work like before when limiting short-circuit. It will start working when the current exceeds 1471 A, and it should start working only when the current exceeds 1909 A. Of course, the overload current (here assumed as 3) is a conventional value. Additionally, it should be established with electric power engineering, whether such a temporary reduction in the multiplication factor of the overload current is permissible or not. You can increase the multiplicity of the overload current before the short-circuit (by setting the parameters of the limiter) and then, after the short-circuit, the multiplicity will be higher than 231%. After a short-circuit, you need the limiter to quickly return to the temperature that it was before the short-circuit. In the discussed case, up to the temperature of 72 K. In the constructed limiter, the return to the temperature = 72 K (from 74.3 K to 72 K) takes 1500 s (Table 7). If we added a second cryocooler to the cooling system, the cooling time would be reduced to 840 s.
The limiter operating in the 72 K (0.08 s) regime cannot be reconnected in the system after less than 1 s because it returns to the superconducting state only after 1.55 s. Connecting a superconducting limiter in a resistive state to the protection system will cause a rapid increase in the temperature of the limiter. The cooling time for the temperature = 72 K (from 81.7 K to 72 K) is 6300 s. With two cryocoolers, the time (6300 s) reduces to 3240 s.

6. SFCL Compared with HTS Transformer

The SFCL is not the only superconducting device capable of limiting short-circuit current. I was a participant in the projects about HTS transformers. The studies [15,16,17] are 3 of 9 articles (with my participation) about HTS transformers.
The HTS transformer with the possibility of limiting short-circuits uses other cables, not SF types, without copper, but SCS type cables, with copper. Thus, upon transition from the superconducting to resistive state, the transformer cable has much lower resistivity than the HTS cable used in SFCL. Thus, the HTS transformer limits the short-circuit current to a lesser extent. Generally, the HTS transformer for short-circuit limitation is a very effective (in my opinion). However, it is a different device, constructed differently, that is more difficult to model numerically. In SFCL, the HTS tape characteristics are assumed to be a function of current and temperature. In the case of an HTS transformer, the magnetic field cannot be ignored, so the characteristics of the HTS tape are a function of three variables: current, magnetic field and temperature. In addition to this problem, there are other big problems: when switching from a low voltage to medium voltage, the weight of the device (HTS transformer) increases tremendously. Additionally, the costs of the device are also so high that in small laboratories it is practically impossible to implement the HTS transformer project for the medium and high voltage networks.
Therefore, compared to the HTS transformer, the SFCL limiter is very light, not complicated and very cheap (compared to the HTS transformer, of course).

7. Conclusions

  • Changing the concept of the limiter’s operation from a superconducting fault current limiter (SFCL) to a superconducting surge current limiter (SSCL) is appropriate and has no disadvantages.
  • This article describes how to change the SFCL limiter to SSCL by changing the current limiting operation time only. The SSCL ends when the limited short-circuit current passes through zero for the first time, i.e., after 0.01 s for a frequency of 50 Hz. Therefore, it can be applied to any already constructed SFCL limiter.
  • In the case of building a new SSCL limiter, the design of the limiter can be slightly changed, but it will be described in a new article.
  • The SSCL (Figure 17) should start working at 300% of the rated current. After the first limiting, 300% decreases to 231%. Additionally, now the power engineers can make the decision, or they agree to 231% and, during operation, the cryocooler will be restored to 300% after 1500 s, or the limiter is replaced with another limiter and it will resume operation after 1500 s.
  • All the data presented show that this new concept must be adhered to.
  • Another decisive piece of information is the use of the cryocooler to cool the limiter. Contact cooling with the use of a cryocooler is the only possibility of cooling the limiter in electric power applications.
  • The possibility of changing the operating temperature allows for adjusting the parameters of the limiter to the electric power system needs.
  • If somebody builds a limiter in a laboratory and its parameters do not match the assumption, then by changing the temperature, they can obtain the assumed parameters of the limiter.
  • The manufacturer of many SFCLs (or SSCL) can build one type of limiter, and by changing the operating temperature, each can be adapted to the needs of the power industry.

Funding

The SFCL (described in this article) was financed by the National Fund for Environmental Protection and Water Management and the National Center for Research and Development, under the project: GEKON2/O2/267193/13/2015.

Conflicts of Interest

The author declares no conflict of interest.

References

  1. Kozak, S.; Majka, M.; Kozak, J. Analysis of Superconducting Fault Current Limiter 6 kV/0.14 kA. Acta Phys. Pol. A 2020, 138, 752–755. [Google Scholar] [CrossRef]
  2. Kozak, S.; Majka, M.; Kozak, J. Influence of temperature on the operations of the superconducting fault current limiter for medium voltage networks. Prace IEL 2020, LXVI, 39–47. Available online: https://iel.lukasiewicz.gov.pl/pl/prace-iel-2020.html (accessed on 5 October 2021).
  3. Kozak, J.; Majka, M.; Kozak, S. Design Considerations on a Resistive Superconducting Fault Current Limiter. Acta Phys. Pol. A 2020, 138, 710–714. [Google Scholar] [CrossRef]
  4. Kozak, J.; Majka, M.; Kozak, S. Experimental Results of a 15 kV, 140 A Superconducting Fault Current Limiter. IEEE Trans. Appl. Supercond. 2017, 27, 5600504. [Google Scholar] [CrossRef]
  5. Majka, M.; Kozak, J.; Kozak, S. HTS Tapes Selection for Superconducting Current Limiters. IEEE Trans. Appl. Supercond. 2017, 27, 5601405. [Google Scholar] [CrossRef]
  6. Majka, M.; Kozak, J.; Kozak, S.; Wojtasiewicz, G.; Janowski, T. Design and Numerical Analysis of the 15 kV Class Coreless Inductive Type SFCL. IEEE Trans. Appl. Supercond. 2015, 25, 5601005. [Google Scholar] [CrossRef]
  7. Kozak, S. Numerical Modeling of Superconducting Fault Current Limiters; Book Publ. IEl: Warsaw, Poland, 2013; pp. 1–126. ISBN 978-83-61956-07-5. [Google Scholar]
  8. Kozak, J.; Majka, M.; Kozak, S.; Janowski, T. Design and Tests of Coreless Inductive Superconducting Fault Current Limiter. IEEE Trans. Appl. Supercond. 2012, 22, 5601804. [Google Scholar] [CrossRef]
  9. Kozak, J.; Majka, M.; Janowski, T.; Kozak, S. Design and Development of the First Polish Superconducting Fault Current Limiter for MV Distribution Systems. Phys. Procedia 2012, 36, 845–848. [Google Scholar] [CrossRef] [Green Version]
  10. Majka, M.; Kozak, S. The application of the first and second generation superconducting wires for superconducting fault current limiter construction. Przegląd Elektrotechniczny 2009, 85, 183–185. [Google Scholar]
  11. Kozak, S.; Janowski, T.; Wojtasiewicz, G.; Kondratowicz-Kucewicz, B.; Kozak, J. Experimental and Numerical Analysis of Energy Losses in Resistive SFCL. IEEE Trans. Appl. Supercond. 2005, 15, 2098–2101. [Google Scholar] [CrossRef]
  12. Kozak, S.; Janowski, T. Physical and Numerical Models of Superconducting Fault Current Limiters. IEEE Trans. Appl. Supercond. 2003, 13, 2068–2071. [Google Scholar] [CrossRef]
  13. Janowski, T.; Wojtasiewicz, G.; Kondratowicz-Kucewicz, B.; Kozak, S.; Kozak, J.; Majka, M. Superconducting Winding for Inductive Type SFCL Made of HTS Tape with Increased Resistivity. IEEE Trans. Appl. Supercond. 2009, 19, 1884–1887. [Google Scholar] [CrossRef]
  14. Data from Superpower Inc. Available online: https://superpower-inc.com (accessed on 5 October 2021).
  15. Wojtasiewicz, G.; Janowski, T.; Kozak, S.; Kozak, J.; Majka, M.; Kondratowicz-Kucewicz, B. Tests and Performance Analysis of 2G HTS Transformer. IEEE Trans. Appl. Supercond. 2013, 23, 5500505. [Google Scholar] [CrossRef]
  16. Wojtasiewicz, G.; Janowski, T.; Kozak, S.; Kozak, J.; Majka, M.; Kondratowicz-Kucewicz, B. Experimental Investigation of a Model of a Transformer-Type Superconducting Fault Current Limiter with a Superconducting Coil Made of a 2G HTS Tape. IEEE Trans. Appl. Supercond. 2014, 24, 5601005. [Google Scholar] [CrossRef]
  17. Wojtasiewicz, G.; Kozak, S. The New Concept of Using the Superconducting Transformers in Low- and Medium-Voltage Distribution Network. IEEE Trans. Appl. Supercond. 2018, 28. [Google Scholar] [CrossRef]
  18. Song, M.; Dai, S.; Sheng, C.; Zhong, L.; Duan, X.; Yan, G.; Huang, Y.; Chen, C.; Li, L.; Cai, L.; et al. Design and performance tests of a 160 kV/1.0 kA DC superconducting fault current limiter. Phys. C Supercond. Appl. 2021, 585, 1353871. [Google Scholar] [CrossRef]
  19. Farokhiyan, M.; Hosseini, M.; Kavousi-Fard, A. Current density distribution in resistive fault current limiters and its effect on device stability. Phys. C Supercond. Appl. 2021, 580, 1353786. [Google Scholar] [CrossRef]
  20. Song, W.; Pei, X.; Xi, J.; Zeng, X. A Novel Helical Superconducting Fault Current Limiter for Electric Propulsion Aircraft. IEEE Trans. Transp. Electrif. 2021, 7, 276–286. [Google Scholar] [CrossRef]
  21. Zhu, J.; Zheng, N.; Wei, D.; He, M.; Wang, S.; Chen, P.; Yan, Z. Experimental Tests of Critical Current and AC Loss for a Self-Triggering High Temperature Superconducting Fault Current Limiter (SFCL) with Magneto-Biased Field. IEEE Trans. Appl. Supercond. 2021, 31, 5602904. [Google Scholar] [CrossRef]
  22. Xi, J.; Pei, X.; Song, W.; Xiang, B.; Liu, Z.; Zeng, X. Experimental Tests of DC SFCL Under Low Impedance and High Impedance Fault Conditions. IEEE Trans. Appl. Supercond. 2021, 31, 5601205. [Google Scholar] [CrossRef]
  23. Moyzykh, M.; Gorbunova, D.; Ustyuzhanin, P.; Sotnikov, D.; Baburin, K.; Maklakov, A.; Magommedov, E.; Shumkov, A.; Telnova, A.; Shcherbakov, V.; et al. First Russian 220 kV Superconducting Fault Current Limiter (SFCL) for Application in City Grid. IEEE Trans. Appl. Supercond. 2021, 31, 5601707. [Google Scholar] [CrossRef]
  24. Shin, J.-W.; Kim, J.-C.; Lee, H.; Yoon, K.-H.; Chai, H.-S.; Kim, J.-S. Impact of SFCL According to Voltage Sags Based Reliability. IEEE Trans. Appl. Supercond. 2021, 31, 5600905. [Google Scholar] [CrossRef]
  25. Park, M.-K.; Lim, S.-H. Impedance Compensation Method of Protective Relay for SFCL’s Application in a Power Distribution System. IEEE Trans. Appl. Supercond. 2021, 31, 5600606. [Google Scholar] [CrossRef]
  26. Matsushita, N.; Yanai, S.; Angkoolpakdeekul, T.; Shirai, Y.; Shiotsu, M. Recovery Characteristics of GdBCO Series-Connected Non-Inductive Coil in Pressurized Liquid Nitrogen for a Resistive SFCL. IEEE Trans. Appl. Supercond. 2021, 31, 5601805. [Google Scholar] [CrossRef]
  27. Song, M.; Dai, S.; Sheng, C.; Zhong, L.; Duan, X.; Luo, P.; Li, L.; Ma, T. Time-Varying Resistance Optimization for the Resistive Type Superconducting Fault Current Limiter Applied in VSC-HVDC System. J. Supercond. Nov. Magn. 2021, 34, 1047–1057. [Google Scholar] [CrossRef]
Figure 1. The third medium voltage SFCL tested in the Short-Circuit Endurance Testing Laboratory of the Institute of Electrical Engineering in Warsaw.
Figure 1. The third medium voltage SFCL tested in the Short-Circuit Endurance Testing Laboratory of the Institute of Electrical Engineering in Warsaw.
Energies 14 06944 g001
Figure 2. The first and second medium voltage SFCL [4,5,6,7,8,9].
Figure 2. The first and second medium voltage SFCL [4,5,6,7,8,9].
Energies 14 06944 g002
Figure 3. Changes of the power generated in the HTS tape of the limiter during a short-circuit (0–0.08 s) for the initial temperature of the limiter before short-circuit = 72 K (first short-circuit test—Figure 4).
Figure 3. Changes of the power generated in the HTS tape of the limiter during a short-circuit (0–0.08 s) for the initial temperature of the limiter before short-circuit = 72 K (first short-circuit test—Figure 4).
Energies 14 06944 g003
Figure 4. The course of the short-circuit current and the measured voltage at the limiter—short-circuit test No. 1. (T0 = 72 K). I—current, U—voltage.
Figure 4. The course of the short-circuit current and the measured voltage at the limiter—short-circuit test No. 1. (T0 = 72 K). I—current, U—voltage.
Energies 14 06944 g004
Figure 5. The course of the short-circuit current and the measured voltage at the limiter—short-circuit test No. 2. (T0 = 80 K). I—current, U—voltage.
Figure 5. The course of the short-circuit current and the measured voltage at the limiter—short-circuit test No. 2. (T0 = 80 K). I—current, U—voltage.
Energies 14 06944 g005
Figure 6. The course of the short-circuit current and the measured voltage at the limiter—short-circuit test No. 3. (T0 = 86 K). I—current, U—voltage.
Figure 6. The course of the short-circuit current and the measured voltage at the limiter—short-circuit test No. 3. (T0 = 86 K). I—current, U—voltage.
Energies 14 06944 g006
Figure 7. Short-circuit current waveform in the tested system without SFCL and with SFCL—short-circuit test No. 1. (T0 = 72 K).
Figure 7. Short-circuit current waveform in the tested system without SFCL and with SFCL—short-circuit test No. 1. (T0 = 72 K).
Energies 14 06944 g007
Figure 8. (a) Geometry of the numerical model (proportions are not correct). The sizes are in Table 2. (b) Electrical circuit diagram of the numerical model.
Figure 8. (a) Geometry of the numerical model (proportions are not correct). The sizes are in Table 2. (b) Electrical circuit diagram of the numerical model.
Energies 14 06944 g008
Figure 9. Currents in the short-circuit circuit with a limiter (SFCL) placed in it, cooled to 72 K, 80 K and 86 K, and in the circuit without the limiter (without_SFCL). Time from 0 s to 0.08 s (numerical analysis).
Figure 9. Currents in the short-circuit circuit with a limiter (SFCL) placed in it, cooled to 72 K, 80 K and 86 K, and in the circuit without the limiter (without_SFCL). Time from 0 s to 0.08 s (numerical analysis).
Energies 14 06944 g009
Figure 10. Currents in the short-circuit circuit with a limiter (SFCL) placed in it, cooled to 72 K, 80 K and 86 K, and in the circuit without the limiter (without_SFCL). Time from 0 s to 0.01 s (numerical analysis).
Figure 10. Currents in the short-circuit circuit with a limiter (SFCL) placed in it, cooled to 72 K, 80 K and 86 K, and in the circuit without the limiter (without_SFCL). Time from 0 s to 0.01 s (numerical analysis).
Energies 14 06944 g010
Figure 11. Multiplicity of the critical current with respect to the critical current at the temperature of 77.4 K for the SF12100 tape as a function of temperature.
Figure 11. Multiplicity of the critical current with respect to the critical current at the temperature of 77.4 K for the SF12100 tape as a function of temperature.
Energies 14 06944 g011
Figure 12. Changes in temperature of the limiter HTS tape during short circuit (0–0.08 s) and cooling (0.08–3 s)—“72 K (0.08 s)” and during short circuit (0–0.1 s) and cooling (0.1–3 s)—“72 K (0.1 s)” and during short-circuit (0–0.12 s) and cooling (0.12–3 s)—“72 K (0.12 s)” for the initial temperature of the limiter before short-circuit = 72 K.
Figure 12. Changes in temperature of the limiter HTS tape during short circuit (0–0.08 s) and cooling (0.08–3 s)—“72 K (0.08 s)” and during short circuit (0–0.1 s) and cooling (0.1–3 s)—“72 K (0.1 s)” and during short-circuit (0–0.12 s) and cooling (0.12–3 s)—“72 K (0.12 s)” for the initial temperature of the limiter before short-circuit = 72 K.
Energies 14 06944 g012
Figure 13. Changes of the HTS tape resistance of the limiter during short circuit (0–0.08 s) and cooling (0.08–3 s)—“72 K (0.08 s)” and during short circuit (0–0.1 s) and cooling (0.1–3 s)—“72 K (0.1 s)” and during short-circuit (0–0.12 s) and cooling (0.12–3 s)—“72 K (0.12 s) ” for the initial temperature of the limiter before short-circuit = 72 K.
Figure 13. Changes of the HTS tape resistance of the limiter during short circuit (0–0.08 s) and cooling (0.08–3 s)—“72 K (0.08 s)” and during short circuit (0–0.1 s) and cooling (0.1–3 s)—“72 K (0.1 s)” and during short-circuit (0–0.12 s) and cooling (0.12–3 s)—“72 K (0.12 s) ” for the initial temperature of the limiter before short-circuit = 72 K.
Energies 14 06944 g013
Figure 14. Basic parameters of the limiter—Ic and Ir max before short-circuit (0 s) and after short-circuits lasting: 0.08 s, 0.1 s and 0.12 s, in accordance with Table 6.
Figure 14. Basic parameters of the limiter—Ic and Ir max before short-circuit (0 s) and after short-circuits lasting: 0.08 s, 0.1 s and 0.12 s, in accordance with Table 6.
Energies 14 06944 g014
Figure 15. Significant differences in the value of the critical current measured every 5 m by the manufacturer of the HTS 2G tape. Liquid nitrogen temperature, natural field [7,14].
Figure 15. Significant differences in the value of the critical current measured every 5 m by the manufacturer of the HTS 2G tape. Liquid nitrogen temperature, natural field [7,14].
Energies 14 06944 g015
Figure 16. Temperature changes of the limiter HTS tape during short-circuit (0–0.08 s) and cooling (0.08–3 s)—“72 K (0.08 s)” and during short circuit (0–0.01 s) and cooling (0.01–3 s)—“72 K (0.01 s)” for the initial temperature of the limiter before short-circuit = 72 K.
Figure 16. Temperature changes of the limiter HTS tape during short-circuit (0–0.08 s) and cooling (0.08–3 s)—“72 K (0.08 s)” and during short circuit (0–0.01 s) and cooling (0.01–3 s)—“72 K (0.01 s)” for the initial temperature of the limiter before short-circuit = 72 K.
Energies 14 06944 g016
Figure 17. Basic parameters of the limiter—Ic and Ir max before short-circuit (0 s) and after short-circuits lasting: 0.01 s and 0.08 s, in accordance with Table 8.
Figure 17. Basic parameters of the limiter—Ic and Ir max before short-circuit (0 s) and after short-circuits lasting: 0.01 s and 0.08 s, in accordance with Table 8.
Energies 14 06944 g017
Figure 18. Changes of the HTS tape resistance of the limiter during short-circuit (0–0.08 s) and cooling down “72 K (0.08 s)” and during short-circuit (0–0.01 s) and cooling down “72 K (0.1 s)” for the initial temperature of the limiter before short-circuit = 72 K.
Figure 18. Changes of the HTS tape resistance of the limiter during short-circuit (0–0.08 s) and cooling down “72 K (0.08 s)” and during short-circuit (0–0.01 s) and cooling down “72 K (0.1 s)” for the initial temperature of the limiter before short-circuit = 72 K.
Energies 14 06944 g018
Table 1. Parameters of SFCL windings (2× SF12100 HTS tapes) at 77.4 K [3].
Table 1. Parameters of SFCL windings (2× SF12100 HTS tapes) at 77.4 K [3].
Parameters DescriptionValue
nominal voltage6 kV
nominal current 140 A
overload current420 A
critical current600 A
voltage per 1 m tape length 52.5 V
length of HTS tape per winding66 m
length of single turn2.31 m
winding height0.44 m
winding diameter0.736 m
number of turns 28.5
Table 2. Geometric parameters of the areas of the numerical model.
Table 2. Geometric parameters of the areas of the numerical model.
SC1SC2CU1CU2IZ1IZ2IZ3
materialSF12100SF12100coppercopperinsulationinsulationinsulation
inner radius (m)0.3680.3686050.36650.369710.36750.3681050.36871
thickness (m)0.0001050.0001050.0010.0010.00050.00050.0005
height (m)0.43950.43950.43950.43950.43950.43950.4395
number of turns28.528.5-----
Table 3. Parameters of numerical model.
Table 3. Parameters of numerical model.
NameDefinition
1RMax(0.00000000001, R1)
2RMax(0.00000000001, R2)
R_ZW0.00776
L_ZW0.00035
1TMax(T0, E1)
2TMax(T0, E2)
1TCUMax(T0, E1CU)
2TCUMax(T0, E2CU)
1TIZMax(T0, E1IZ)
2TIZMax(T0, E2IZ)
E1User(11, I(1R), T1, U(1R), SK, TCU1, TIZ1, T0)
E2User(12, I(2R), T2, U(2R), SK, TCU2, TIZ2, T0)
E1CUUser(13, 0, TCU1, 0, SK, T1, TIZ1, T0)
E2CUUser(14, 0, TCU2, 0, SK, T2, TIZ2, T0)
E1IZUser(15, 0, TIZ1, 0, SK, T1, T2, T0)
E2IZUser(16, 0, TIZ2, 0, SK, T1, T2, T0)
R1User(1, I(1R), T1, U(1R), SK, 0, 0, T0)
R2User(2, I(2R), T2, U(2R), SK, 0, 0, T0)
T072, 80, 86
T1U(1T)
T2U(2T)
TCU1U(1TCU)
TCU2U(2TCU)
TIZ1U(1TIZ)
TIZ2U(2TIZ)
SK0.00001 · Valid(TIME, 0, 0.00301) + SK2
SK20.0005 · Valid(TIME, 0.00301, 0.1301) + 0.005 · Valid(TIME, 0.1301, 31)
1A_1–1A_61
V_SIECISqrt(2) · 3520 · Sin(314.159265 · TIME)
Table 4. Maximum temperature Tmax and end temperature (after 3 s) T(3s) of the limiter acc. Figure 12 and cooling time to T0. T0—initial temperature, tzw—short-circuit duration.
Table 4. Maximum temperature Tmax and end temperature (after 3 s) T(3s) of the limiter acc. Figure 12 and cooling time to T0. T0—initial temperature, tzw—short-circuit duration.
Short-CircuitT0tzwTmaxT(3s)Cooling Time to T0
72 K (0.08 s)72 K0.08 s290 K81.7 K6300 s
72 K (0.10 s)72 K0.10 s304 K83.2 K7320 s
72 K (0.12 s)72 K0.12 s315 K84.7 K8400 s
Table 5. Maximum resistance Rmax of the limiter during short-circuit limitation and time of HTS tape recovery from the resistive state to the superconducting state tR-N (after the short-circuit ends) acc. Figure 13. T0—initial temperature, tzw—short-circuit duration.
Table 5. Maximum resistance Rmax of the limiter during short-circuit limitation and time of HTS tape recovery from the resistive state to the superconducting state tR-N (after the short-circuit ends) acc. Figure 13. T0—initial temperature, tzw—short-circuit duration.
Short-CircuitT0tzwRmaxtR-N
72 K (0.08 s)72 K0.08 s10.08 Ω1.55 s
72 K (0.10 s)72 K0.10 s10.59 Ω1.73 s
72 K (0.12 s)72 K0.12 s10.94 Ω2.00 s
Table 6. Ic—critical current of the limiter as a function of temperature T0. Rated current of the limiter Ir—rms value, Ir max—the maximum of the rated current.
Table 6. Ic—critical current of the limiter as a function of temperature T0. Rated current of the limiter Ir—rms value, Ir max—the maximum of the rated current.
T0IcIrIr max
72 K1909 A450 A636 A
81.7 K718 A169 A239 A
83.2 K514 A121 A171 A
84.7 K412 A97 A137 A
Table 7. Maximum and final temperature of the limiter acc. Figure 16.
Table 7. Maximum and final temperature of the limiter acc. Figure 16.
Short-CircuitT0tzwTmaxT(3s)Cooling Time to T0
72 K (0.01 s)72 K0.01 s161 K74.3 K1500 s
72 K (0.08 s)72 K0.08 s290 K81.7 K6300 s
Table 8. Ic—critical current of the limiter as a function of temperature T0. Rated current of the limiter Ir—rms value, Ir max—the maximum of the rated current.
Table 8. Ic—critical current of the limiter as a function of temperature T0. Rated current of the limiter Ir—rms value, Ir max—the maximum of the rated current.
T0IcIrIr max
72 K1909 A450 A636 A
74.3 K1471 A347 A490 A
81.7 K718 A169 A239 A
Table 9. Maximum resistance Rmax of the limiter during short-circuit limitation and time of HTS tape recovery from the resistive state to the superconducting state tR-N (after the short-circuit ends) acc. Figure 18. T0—initial temperature, tzw—short-circuit duration.
Table 9. Maximum resistance Rmax of the limiter during short-circuit limitation and time of HTS tape recovery from the resistive state to the superconducting state tR-N (after the short-circuit ends) acc. Figure 18. T0—initial temperature, tzw—short-circuit duration.
Short-CircuitT0tzwRmaxtR-N
72 K (0.01 s)72 K0.01 s5.33 Ω0.55 s
72 K (0.08 s)72 K0.08 s10.08 Ω1.55 s
Publisher’s Note: MDPI stays neutral with regard to jurisdictional claims in published maps and institutional affiliations.

Share and Cite

MDPI and ACS Style

Kozak, S. Superconducting Surge Current Limiter. Energies 2021, 14, 6944. https://doi.org/10.3390/en14216944

AMA Style

Kozak S. Superconducting Surge Current Limiter. Energies. 2021; 14(21):6944. https://doi.org/10.3390/en14216944

Chicago/Turabian Style

Kozak, Sławomir. 2021. "Superconducting Surge Current Limiter" Energies 14, no. 21: 6944. https://doi.org/10.3390/en14216944

APA Style

Kozak, S. (2021). Superconducting Surge Current Limiter. Energies, 14(21), 6944. https://doi.org/10.3390/en14216944

Note that from the first issue of 2016, this journal uses article numbers instead of page numbers. See further details here.

Article Metrics

Back to TopTop