Sign in to use this feature.

Years

Between: -

Subjects

remove_circle_outline
remove_circle_outline
remove_circle_outline
remove_circle_outline
remove_circle_outline
remove_circle_outline
remove_circle_outline
remove_circle_outline
remove_circle_outline

Journals

Article Types

Countries / Regions

Search Results (16)

Search Parameters:
Keywords = SSCL

Order results
Result details
Results per page
Select all
Export citation of selected articles as:
26 pages, 10459 KB  
Article
Research on Camouflage Target Classification and Recognition Based on Mid Wave Infrared Hyperspectral Imaging
by Shikun Zhang, Yunhua Cao, Lu Bai and Zhensen Wu
Remote Sens. 2025, 17(8), 1475; https://doi.org/10.3390/rs17081475 - 21 Apr 2025
Cited by 3 | Viewed by 1468
Abstract
Mid-wave infrared (MWIR) hyperspectral imaging integrates MWIR technology with hyperspectral remote sensing, enabling the capture of radiative information that is difficult to obtain in the visible spectrum, thus demonstrating significant value in camouflage recognition and stealth design. However, there is a notable lack [...] Read more.
Mid-wave infrared (MWIR) hyperspectral imaging integrates MWIR technology with hyperspectral remote sensing, enabling the capture of radiative information that is difficult to obtain in the visible spectrum, thus demonstrating significant value in camouflage recognition and stealth design. However, there is a notable lack of open-source datasets and effective classification methods in this field. To address these challenges, this study proposes a dual-channel attention convolutional neural network (DACNet). First, we constructed four MWIR camouflage datasets (GCL, SSCL, CW, and LC) to fill a critical data gap. Second, to address the issues of spectral confusion between camouflaged targets and backgrounds and blurred spatial boundaries, DACNet employs independent spectral and spatial branches to extract deep spectral–spatial features while dynamically weighting these features through channel and spatial attention mechanisms, significantly enhancing target–background differentiation. Our experimental results demonstrate that DACNet achieves an average accuracy (AA) of 99.96%, 99.45%, 100%, and 95.88%; an overall accuracy (OA) of 99.94%, 99.52%, 100%, and 96.39%; and Kappa coefficients of 99.91%, 99.41%, 100%, and 95.21% across the four datasets. The classification results exhibit sharp edges and minimal noise, outperforming five deep learning methods and three machine learning approaches. Additional generalization experiments on public datasets further validate DACNet’s superiority in providing an efficient and novel approach for hyperspectral camouflage data classification. Full article
Show Figures

Graphical abstract

21 pages, 1409 KB  
Article
Characterization of Essential Oils from Seven Salvia Taxa from Greece with Chemometric Analysis
by Spyridon Tziakas, Ekaterina-Michaela Tomou, Panagiota Fraskou, Katerina Goula, Konstantina Dimakopoulou and Helen Skaltsa
Agronomy 2025, 15(1), 227; https://doi.org/10.3390/agronomy15010227 - 17 Jan 2025
Viewed by 1156
Abstract
Over the years, several studies have investigated the essential oils (EOs) of Salvia taxa, revealing significant chemical variability in their composition. The present study focused on the characterization of the EOs of seven Salvia taxa growing wild in Greece, namely S. aethiopis L., [...] Read more.
Over the years, several studies have investigated the essential oils (EOs) of Salvia taxa, revealing significant chemical variability in their composition. The present study focused on the characterization of the EOs of seven Salvia taxa growing wild in Greece, namely S. aethiopis L., S. argentea L., and S. sclarea L. (Aethiopis section); S. officinalis L. subsp. officinalis and S. tomentosa Mill. (Eusphace section); S. verticillata L. subsp. verticillata (Hemisphace section); and S. amplexicaulis Lam. (Plethiosphace section). Chemometric analysis, including PCA, HCA, and a clustered heat map, were applied to identify possible relationships among the samples based on their constituents, chemical groups, and thujone contents. The analysis classified the samples into two distinct groups based on their chemical classes; Group I (Svert, Sarg, Sampl, and Sath) was characterized by the highest amounts of sesquiterpene hydrocarbons (42.7–88.0%), followed by oxygenated sesquiterpenes (6.7–41.6%) and monoterpenes (0–17.2%), while Group II (Soff, Stom, and SScl) showed the highest amounts of oxygenated monoterpenes (47–66.4%), followed by monoterpene hydrocarbons (4.9–22.7%), sesquiterpenes (3.2–15.3%), and oxygenated diterpenes (3.5–9.0%). Regarding thujone content, two major groups were detected. The first group comprised Sscl, Svert, Sarg, Sampl, and Sath while the second group comprised Soff and Stom (Subgenus Salvia/Section Eusphace), which exhibited the highest percentages of thujones. These findings provide a basis for further investigation into taxonomic studies of the Salvia genus. Full article
Show Figures

Figure 1

27 pages, 6293 KB  
Article
Lightweight Advanced Deep Neural Network (DNN) Model for Early-Stage Lung Cancer Detection
by Isha Bhatia, Aarti, Syed Immamul Ansarullah, Farhan Amin and Amerah Alabrah
Diagnostics 2024, 14(21), 2356; https://doi.org/10.3390/diagnostics14212356 - 22 Oct 2024
Cited by 2 | Viewed by 2103
Abstract
Background: Lung cancer, also known as lung carcinoma, has a high mortality rate; however, an early prediction helps to reduce the risk. In the current literature, various approaches have been developed for the prediction of lung carcinoma (at an early stage), but these [...] Read more.
Background: Lung cancer, also known as lung carcinoma, has a high mortality rate; however, an early prediction helps to reduce the risk. In the current literature, various approaches have been developed for the prediction of lung carcinoma (at an early stage), but these still have various issues, such as low accuracy, high noise, low contrast, poor recognition rates, and a high false-positive rate, etc. Thus, in this research effort, we have proposed an advanced algorithm and combined two different types of deep neural networks to make it easier to spot lung melanoma in the early phases. Methods: We have used WDSI (weakly supervised dense instance-level lung segmentation) for laborious pixel-level annotations. In addition, we suggested an SS-CL (deep continuous learning-based deep neural network) that can be applied to the labeled and unlabeled data to improve efficiency. This work intends to evaluate potential lightweight, low-memory deep neural net (DNN) designs for image processing. Results: Our experimental results show that, by combining WDSI and LSO segmentation, we can achieve super-sensitive, specific, and accurate early detection of lung cancer. For experiments, we used the lung nodule (LUNA16) dataset, which consists of the patients’ 3D CT scan images. We confirmed that our proposed model is lightweight because it uses less memory. We have compared them with state-of-the-art models named PSNR and SSIM. The efficiency is 32.8% and 0.97, respectively. The proposed lightweight deep neural network (DNN) model archives a high accuracy of 98.2% and also removes noise more effectively. Conclusions: Our proposed approach has a lot of potential to help medical image analysis to help improve the accuracy of test results, and it may also prove helpful in saving patients’ lives. Full article
(This article belongs to the Special Issue Artificial Intelligence in Cancers—2nd Edition)
Show Figures

Figure 1

14 pages, 910 KB  
Concept Paper
Keeping It Real: Insights from a Sport-Based Living Lab
by Louis Moustakas, Marieke Breed, Nynke Burgers, Sarah Carney, Ties Greven, Patricia Grove, Lisa Kalina, Perry Ogden, Karen Petry, Simona Šafaříková, Ben Sanders, Arnost Svoboda, Julie Wittmannová, Pim van Limbeek and Fenna van Marle
Societies 2024, 14(6), 93; https://doi.org/10.3390/soc14060093 - 19 Jun 2024
Cited by 1 | Viewed by 2344
Abstract
Sport for development (SFD) initiatives have faced numerous criticisms around the focus on individual-level (micro) outcomes and lack of integration at the community (meso) and structural (macro) levels. As a result, there is growing recognition that programmes need to find ways to work [...] Read more.
Sport for development (SFD) initiatives have faced numerous criticisms around the focus on individual-level (micro) outcomes and lack of integration at the community (meso) and structural (macro) levels. As a result, there is growing recognition that programmes need to find ways to work with and engage a wide range of community members and stakeholders through more inclusive, participatory approaches. One such approach is known as Living Labs. In the following conceptual article, we present the Sport and Social Cohesion Lab (SSCL) project, which implemented a Living Lab approach in various sport-based programmes from four different European countries. The main components of the Living Lab framework are presented, and practical insights are derived from the project. In addition, the unique and sometimes critical role of sport is reflected upon in relation to the Living Lab context. Through this, this article provides practitioners and academics with potential building blocks to implement Living Labs and/or embed participatory approaches in sport and physical activity contexts and social settings more generally. Full article
(This article belongs to the Topic Sport and Society)
Show Figures

Figure 1

21 pages, 706 KB  
Article
SSCL-TransMD: Semi-Supervised Continual Learning Transformer for Malicious Software Detection
by Liang Kou, Donghui Zhao, Hui Han, Xiong Xu, Shuaige Gong and Liandong Wang
Appl. Sci. 2023, 13(22), 12255; https://doi.org/10.3390/app132212255 - 13 Nov 2023
Cited by 5 | Viewed by 2301
Abstract
Machine learning-based malware (malicious software) detection methods have a wide range of real-world applications. However, these types of approaches suffer from the fatal problem of “model aging”, in which the validity of the model decreases rapidly as the malware continues to evolve and [...] Read more.
Machine learning-based malware (malicious software) detection methods have a wide range of real-world applications. However, these types of approaches suffer from the fatal problem of “model aging”, in which the validity of the model decreases rapidly as the malware continues to evolve and variants emerge continuously. The model aging problem is usually solved by model retraining, which relies on lots of labeled samples obtained at great expense. To address this challenge, this paper proposes a semi-supervised continuous learning malware detection model based on Transformer. Firstly, this model improves the lifelong semi-supervised mixture algorithm to dynamically adjust the weighted combination of new sample sequences and historical ones to solve the imbalance problem. Secondly, the Learning with Local and Global Consistency algorithm is used to iteratively compute similarity scores for the unlabeled samples in the mixed samples to obtain pseudo-labels. Lastly, the Multilayer Perceptron is applied for malware classification. To validate the effectiveness of the model, this paper conducts experiments on the CICMalDroid2020 dataset. The experimental results show that the proposed model performs better than existing deep learning detection models. The F1 score has an average improvement of 1.27% compared to other models when conducting binary classification. And, after inputting hybrid samples, including historical data and new data, four times, the F1 score is still 1.96% higher than other models. Full article
Show Figures

Figure 1

22 pages, 5850 KB  
Article
Statistical Design and Optimization of Cr (VI) Adsorption onto Native and HNO3/NaOH Activated Cedar Sawdust Using AAS and a Response Surface Methodology (RSM)
by Maryam El Hajam, Noureddine Idrissi Kandri, Sadin Özdemir, Gabriel Plavan, Naoufel Ben Hamadi, Fehmi Boufahja and Abdelaziz Zerouale
Molecules 2023, 28(21), 7271; https://doi.org/10.3390/molecules28217271 - 25 Oct 2023
Cited by 8 | Viewed by 1657
Abstract
The removal of heavy metals from wastewater has become the subject of considerable interest at present. Thus, the use of novel adsorbents that are highly efficient is of critical importance for the removal of Cr (VI) ions from aqueous media. The adsorption of [...] Read more.
The removal of heavy metals from wastewater has become the subject of considerable interest at present. Thus, the use of novel adsorbents that are highly efficient is of critical importance for the removal of Cr (VI) ions from aqueous media. The adsorption of Cr (VI) ions from aqueous solutions by a new adsorbent, cedar wood sawdust, and the optimization of its adsorption parameters, were investigated in this study. Cedar wood sawdust was used in its native and HNO3/NaOH chemically modified forms as new low-cost sorbents to remove Cr (VI) ions from aqueous solutions in a batch system. The adsorption conditions were analyzed via response surface methodology. The RSM results showed that the optimal adsorption conditions yielding the best response were an adsorbent mass of 2 g for native Cedar and 1.125 g for its activated form, a metal concentration of 150 mg/L for native Cedar and 250 mg/L for activated, a temperature of 50 °C, a pH of 1, and a contact time of 67.5 min. At optimum adsorption conditions, the maximum adsorption capacities and the adsorption yields were 23.64 mg/g and 84% for native Cedar and 48.31 mg/g and 99% for activated Cedar, respectively. Full article
Show Figures

Figure 1

16 pages, 7784 KB  
Article
Design Criteria for the Construction of Energy Storage Salt Cavern Considering Economic Benefits and Resource Utilization
by Huiyong Song, Song Zhu, Jinlong Li, Zhuoteng Wang, Qingdong Li and Zexu Ning
Sustainability 2023, 15(8), 6870; https://doi.org/10.3390/su15086870 - 19 Apr 2023
Cited by 6 | Viewed by 3920
Abstract
Underground salt caverns have been widely used for oil and gas storage and have attracted increasing attention. The construction design of salt caverns is directly related to the final storage capacity, economic benefits, and resource utilization. However, due to the numerous combinations of [...] Read more.
Underground salt caverns have been widely used for oil and gas storage and have attracted increasing attention. The construction design of salt caverns is directly related to the final storage capacity, economic benefits, and resource utilization. However, due to the numerous combinations of multi-stage process parameters involved in the construction design, it is difficult to optimize them individually through indoor experiments and numerical simulations. In this regard, this paper attempts to put forward the basic principles of cavern construction design criteria with economic benefits and resource utilization as indicators. Firstly, 1258 groups of cavern construction process parameters were randomly generated under certain basic rules, including inner tube depth, outer tube depth, oil pad depth, duration, and water injection flow rate, for five direct leaching stages. Then, the cavern capacity, economic benefit, and rock salt resource utilization corresponding to these process parameters were obtained through batch processing using single-well salt cavern leaching simulation software (SSCLS). Finally, the influence laws of the distance between the inner tube and oil pad and lifting heights, and the rates of the inner tube and oil pad on the expected economic benefits and salt resource utilization, are discussed. In the actual project, it is recommended to increase the distance between the inner tube and the oil pad, increase the ratio of oil pad lifting height to duration, and use the appropriate lifting height to obtain greater expected revenue and resource utilization. This work will improve the efficiency and scientificity of cavern construction design, which is of great significance in guiding the construction and design for energy storage in salt caverns. Full article
(This article belongs to the Topic Energy Storage Using Underground Mine Space)
Show Figures

Figure 1

27 pages, 3082 KB  
Article
First Characterization of the Transcriptome of Lung Fibroblasts of SSc Patients and Healthy Donors of African Ancestry
by Ludivine Renaud, Kristy M. Waldrep, Willian A. da Silveira, Joseph M. Pilewski and Carol A. Feghali-Bostwick
Int. J. Mol. Sci. 2023, 24(4), 3645; https://doi.org/10.3390/ijms24043645 - 11 Feb 2023
Cited by 3 | Viewed by 3224
Abstract
Systemic sclerosis (SSc) is a connective tissue disorder that results in fibrosis of the skin and visceral organs. SSc-associated pulmonary fibrosis (SSc-PF) is the leading cause of death amongst SSc patients. Racial disparity is noted in SSc as African Americans (AA) have a [...] Read more.
Systemic sclerosis (SSc) is a connective tissue disorder that results in fibrosis of the skin and visceral organs. SSc-associated pulmonary fibrosis (SSc-PF) is the leading cause of death amongst SSc patients. Racial disparity is noted in SSc as African Americans (AA) have a higher frequency and severity of disease than European Americans (EA). Using RNAseq, we determined differentially expressed genes (DEGs; q < 0.1, log2FC > |0.6|) in primary pulmonary fibroblasts from SSc lungs (SScL) and normal lungs (NL) of AA and EA patients to characterize the unique transcriptomic signatures of AA-NL and AA-SScL fibroblasts using systems-level analysis. We identified 69 DEGs in “AA-NL vs. EA-NL” and 384 DEGs in “AA-SScL vs. EA-SScL” analyses, and a comparison of disease mechanisms revealed that only 7.5% of DEGs were commonly deregulated in AA and EA patients. Surprisingly, we also identified an SSc-like signature in AA-NL fibroblasts. Our data highlight differences in disease mechanisms between AA and EA SScL fibroblasts and suggest that AA-NL fibroblasts are in a “pre-fibrosis” state, poised to respond to potential fibrotic triggers. The DEGs and pathways identified in our study provide a wealth of novel targets to better understand disease mechanisms leading to racial disparity in SSc-PF and develop more effective and personalized therapies. Full article
Show Figures

Figure 1

28 pages, 1172 KB  
Article
Depression Detection Based on Hybrid Deep Learning SSCL Framework Using Self-Attention Mechanism: An Application to Social Networking Data
by Aleena Nadeem, Muhammad Naveed, Muhammad Islam Satti, Hammad Afzal, Tanveer Ahmad and Ki-Il Kim
Sensors 2022, 22(24), 9775; https://doi.org/10.3390/s22249775 - 13 Dec 2022
Cited by 53 | Viewed by 8861
Abstract
In today’s world, mental health diseases have become highly prevalent, and depression is one of the mental health problems that has become widespread. According to WHO reports, depression is the second-leading cause of the global burden of diseases. In the proliferation of such [...] Read more.
In today’s world, mental health diseases have become highly prevalent, and depression is one of the mental health problems that has become widespread. According to WHO reports, depression is the second-leading cause of the global burden of diseases. In the proliferation of such issues, social media has proven to be a great platform for people to express themselves. Thus, a user’s social media can speak a great deal about his/her emotional state and mental health. Considering the high pervasiveness of the disease, this paper presents a novel framework for depression detection from textual data, employing Natural Language Processing and deep learning techniques. For this purpose, a dataset consisting of tweets was created, which were then manually annotated by the domain experts to capture the implicit and explicit depression context. Two variations of the dataset were created, on having binary and one ternary labels, respectively. Ultimately, a deep-learning-based hybrid Sequence, Semantic, Context Learning (SSCL) classification framework with a self-attention mechanism is proposed that utilizes GloVe (pre-trained word embeddings) for feature extraction; LSTM and CNN were used to capture the sequence and semantics of tweets; finally, the GRUs and self-attention mechanism were used, which focus on contextual and implicit information in the tweets. The framework outperformed the existing techniques in detecting the explicit and implicit context, with an accuracy of 97.4 for binary labeled data and 82.9 for ternary labeled data. We further tested our proposed SSCL framework on unseen data (random tweets), for which an F1-score of 94.4 was achieved. Furthermore, in order to showcase the strengths of the proposed framework, we validated it on the “News Headline Data set” for sarcasm detection, considering a dataset from a different domain. It also outmatched the performance of existing techniques in cross-domain validation. Full article
(This article belongs to the Section Biomedical Sensors)
Show Figures

Figure 1

14 pages, 3278 KB  
Article
Specific Emitter Identification Based on Self-Supervised Contrast Learning
by Bo Liu, Hongyi Yu, Jianping Du, You Wu, Yongbin Li, Zhaorui Zhu and Zhenyu Wang
Electronics 2022, 11(18), 2907; https://doi.org/10.3390/electronics11182907 - 14 Sep 2022
Cited by 18 | Viewed by 2631
Abstract
The current deep learning (DL)-based Specific Emitter Identification (SEI) methods rely heavily on the training of massive labeled data during the training process. However, the lack of labeled data in a real application would lead to a decrease in the method’s identification performance. [...] Read more.
The current deep learning (DL)-based Specific Emitter Identification (SEI) methods rely heavily on the training of massive labeled data during the training process. However, the lack of labeled data in a real application would lead to a decrease in the method’s identification performance. In this paper, we propose a self-supervised method via contrast learning (SSCL), which is used to extract fingerprint features from unlabeled data. The proposed method uses large amounts of unlabeled data to constitute positive and negative pairs by designing a composition of data augmentation operations for emitter signals. Then, the pairs would be input into the neural network (NN) for feature extraction, and a contrastive loss function is introduced to drive the network to measure the similarity among data. Finally, the identification model can be completed by fixing the parameters of the feature extraction network and fine-tuning with few labeled data. The simulation experiment result shows that, after being fine-tuned, the proposed method can effectively extract fingerprint features. When the SNR is 20 dB, the identification accuracy reaches 94.45%, which is better than the current mainstream DL approaches. Full article
Show Figures

Figure 1

17 pages, 969 KB  
Article
Classification of Dysphonic Voices in Parkinson’s Disease with Semi-Supervised Competitive Learning Algorithm
by Guidong Bao, Mengchen Lin, Xiaoqian Sang, Yangcan Hou, Yixuan Liu and Yunfeng Wu
Biosensors 2022, 12(7), 502; https://doi.org/10.3390/bios12070502 - 9 Jul 2022
Cited by 9 | Viewed by 3114
Abstract
This article proposes a novel semi-supervised competitive learning (SSCL) algorithm for vocal pattern classifications in Parkinson’s disease (PD). The acoustic parameters of voice records were grouped into the families of jitter, shimmer, harmonic-to-noise, frequency, and nonlinear measures, respectively. The linear correlations were computed [...] Read more.
This article proposes a novel semi-supervised competitive learning (SSCL) algorithm for vocal pattern classifications in Parkinson’s disease (PD). The acoustic parameters of voice records were grouped into the families of jitter, shimmer, harmonic-to-noise, frequency, and nonlinear measures, respectively. The linear correlations were computed within each acoustic parameter family. According to the correlation matrix results, the jitter, shimmer, and harmonic-to-noise parameters presented as highly correlated in terms of Pearson’s correlation coefficients. Then, the principal component analysis (PCA) technique was implemented to eliminate the redundant dimensions of the acoustic parameters for each family. The Mann–Whitney–Wilcoxon hypothesis test was used to evaluate the significant difference of the PCA-projected features between the healthy subjects and PD patients. Eight dominant PCA-projected features were selected based on the eigenvalue threshold criterion and the statistical significance level (p < 0.05) of the hypothesis test. The SSCL algorithm proposed in this paper included the procedures of the competitive prototype seed selection, K-means optimization, and the nearest neighbor classifications. The pattern classification experimental results showed that the proposed SSCL method can provide the excellent diagnostic performances in terms of accuracy (0.838), recall (0.825), specificity (0.85), precision (0.846), F-score (0.835), Matthews correlation coefficient (0.675), area under the receiver operating characteristic curve (0.939), and Kappa coefficient (0.675), which were consistently better than those results of conventional KNN or SVM classifiers. Full article
(This article belongs to the Special Issue Biomedical Signal Processing in Healthcare and Disease Diagnosis)
Show Figures

Figure 1

12 pages, 3504 KB  
Article
Physicochemical Characterization of Cardoon “Cynara cardunculus” Wastes (Leaves and Stems): A Comparative Study
by Meryem Hajji Nabih, Maryam El Hajam, Hamza Boulika, Montaser M. Hassan, Noureddine Idrissi Kandri, Amor Hedfi, Abdelaziz Zerouale and Fehmi Boufahja
Sustainability 2021, 13(24), 13905; https://doi.org/10.3390/su132413905 - 16 Dec 2021
Cited by 17 | Viewed by 2429
Abstract
The disposal of vegetable wastes in nature is harmful for marine habitats and biota. These types of waste are frequently used as fuel, generating polluting products, with undesired side effects on the environment. Therefore, it is essential to find better alternatives for the [...] Read more.
The disposal of vegetable wastes in nature is harmful for marine habitats and biota. These types of waste are frequently used as fuel, generating polluting products, with undesired side effects on the environment. Therefore, it is essential to find better alternatives for the capitalisation of these waste products. Their diversified chemical composition can become a potential resource of high added value raw materials. The knowledge of the physicochemical properties of these wastes is therefore essential. The present work aimed for characterising the physicochemical properties of a plant residue belonging to the Asteraceae Family, collected from a vegetable market in Fez city, Morocco. The vegetal tissues were analysed by Scanning Electron Microscopy coupled with EDX, X-ray Diffraction, Fourier Transform Infrared Spectroscopy, Inductively Coupled Plasma Atomic Emission Spectroscopy, and by Thermogravimetric/Differential thermal analyses. Other additional parameters were also measured, such as moisture, volatile matter, ash, and fixed carbon contents. Acidic and basic surface functions were evaluated by Boehm’s method, and pH points at zero charge were equally calculated. The results revealed a strong congruence between the morphological and structural properties of this plant. These vegetal wastes comprise a homogeneous fibrous and porous aspect both in surface and in profile, with a crystalline structure characteristic of cellulose I. A mass loss of 86.49% for leaves and 87.91% for stems in the temperature range of 100 °C to 700 °C, and pHpzc of 8.39 for leaves and 7.35 for stems were found. This study clarifies the similarities and differences between the chemical composition and morphological structure of these vegetal wastes, paving the way for future value-added applications in appropriate fields. Full article
(This article belongs to the Special Issue Marine Pollution and Ecological Environment)
Show Figures

Figure 1

31 pages, 1048 KB  
Review
Multi-Objective Optimization for Sustainable Supply Chain and Logistics: A Review
by Chamari Pamoshika Jayarathna, Duzgun Agdas, Les Dawes and Tan Yigitcanlar
Sustainability 2021, 13(24), 13617; https://doi.org/10.3390/su132413617 - 9 Dec 2021
Cited by 50 | Viewed by 12155
Abstract
There are several methods available for modeling sustainable supply chain and logistics (SSCL) issues. Multi-objective optimization (MOO) has been a widely used method in SSCL modeling (SSCLM), nonetheless selecting a suitable optimization technique and solution method is still of interest as model performance [...] Read more.
There are several methods available for modeling sustainable supply chain and logistics (SSCL) issues. Multi-objective optimization (MOO) has been a widely used method in SSCL modeling (SSCLM), nonetheless selecting a suitable optimization technique and solution method is still of interest as model performance is highly dependent on decision-making variables of the model development process. This study provides insights from the analysis of 95 scholarly articles to identify research gaps in the MOO for SSCLM and to assist decision-makers in selecting suitable MOO techniques and solution methods. The results of the analysis indicate that economic and environmental aspects of sustainability are the main context of SSCLM, where the social aspect is still limited. More SSCLMs for sourcing, distribution, and transportation phases of the supply chain are required. Additionally, more sophisticated techniques and solution methods, including hybrid metaheuristics approaches, are needed in SSCLM. Full article
(This article belongs to the Special Issue Sustainable Supply Chain and Operations Management)
Show Figures

Figure 1

11 pages, 1956 KB  
Article
Cathodoluminescence of Diamond: Features of Visualization
by Evgeny Vasilev, Dmitry Zedgenizov, Dmitry Zamyatin, Igor Klepikov and Anton Antonov
Crystals 2021, 11(12), 1522; https://doi.org/10.3390/cryst11121522 - 6 Dec 2021
Cited by 9 | Viewed by 4588
Abstract
Zonal and sectorial heterogeneities in natural diamonds provide information on the growth conditions and post-growth changes. Cathodoluminescence (CL) microscopy revealed these heterogeneities in a very detailed manner with high spatial resolution. In this study, factors affecting the CL images of two natural diamonds [...] Read more.
Zonal and sectorial heterogeneities in natural diamonds provide information on the growth conditions and post-growth changes. Cathodoluminescence (CL) microscopy revealed these heterogeneities in a very detailed manner with high spatial resolution. In this study, factors affecting the CL images of two natural diamonds were analyzed and the results of cathodoluminescence studies in steady-state (SS-CL) and scanning modes were compared. SS-CL was observed using an optical microscope, and scanning mode was evaluated via SEM (SEM-CL). It was demonstrated that the relative brightness of the <111> and <100> growth sectors in diamond crystals depends on the nature of defects in them and on the method of image detection (steady-state/scanning versus color/panchromatic). The differences between SS-CL and SEM-CL images can be attributed to the kinetics of luminescence and spectral sensitivity of the detectors. It was established that the nature of lattice defects around small inclusions can be changed (e.g., the intensity of blue luminescence from nitrogen-vacancy defects (N3V) decreases due to their transformation into nitrogen–hydrogen defects (N3VH). The hydrogen disproportion between the sectors is caused by different growth mechanisms. Hydrogen atoms in the diamond matrix can affect the kinetics of transformation of the defects by transforming a part of N3V to N3VH. Full article
Show Figures

Figure 1

17 pages, 4403 KB  
Article
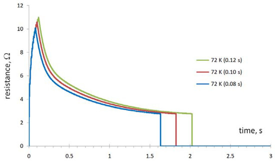
Superconducting Surge Current Limiter
by Sławomir Kozak
Energies 2021, 14(21), 6944; https://doi.org/10.3390/en14216944 - 22 Oct 2021
Cited by 5 | Viewed by 2477
Abstract
A superconducting fault current limiter (SFCL) for medium voltage networks cooled by a cryocooler was designed, built and tested by the current author. For the construction of this limiter, a high-temperature second generation superconducting tape (HTS 2G)—SF12100—was used. In this limiter, it is [...] Read more.
A superconducting fault current limiter (SFCL) for medium voltage networks cooled by a cryocooler was designed, built and tested by the current author. For the construction of this limiter, a high-temperature second generation superconducting tape (HTS 2G)—SF12100—was used. In this limiter, it is possible to change the working temperature. The possibility of changing the operating temperature allows for adjusting the parameters of the limiter to the electric power needs. Adjusting the parameters of the limiter to the power needs is a key problem to solve, resulting from the ambiguous characteristics of HTS tapes. Cooling with a cryocooler is the only solution in the case of a limiter for power industry applications. The electric power mechanism does not tolerate any liquids. After analyzing the experimental results and after analyzing the results from the numerical models of the limiter, the concepts of using superconductors to limit current in the power industry were changed: the transition from a superconducting fault current limiter (SFCL) to a superconducting surge current limiter (SSCL). Transition to the limiter operation system—surge current limitation—is associated with the reduction in the limiter operation time. The advantages of the transition from the SFCL to SSCL work system are presented. Full article
Show Figures

Figure 1

Back to TopTop