Thermohydraulic Performance and Entropy Generation of a Triple-Pass Solar Air Heater with Three Inlets
Abstract
:1. Introduction
2. Model Description
- -
- The flow in a channel is considered one-dimensional in the x-direction.
- -
- The flow is steady and the air fluid is incompressible.
- -
- The thermophysical properties of the air and the SAH are temperature-independent; and
- -
- The bottom plate and the edges of the SAH are perfectly insulated from the surrounding environment.
- -
- -
- The heat gain of first pass air in an infinitesimal change (dx) is equal to the heat exchange by convection with glasses 1 and 2 as:
- -
- Similarly, for glass 2:
- -
- Similar to the change of the first pass air temperature, the air in the second pass exchanges heat with glass 2 and receives thermal energy by convection with the finned absorber plate. The convection heat transfer of the air with the fins and their prime surface is calculated through the temperature difference of the absorber plate (Tp) and the air (Tf2) with the fin efficiency. Hence, the change in the second pass air temperature can be written as:where ϕ is the area-weighted fin efficiency.
- -
- The absorber plate can be expressed as:
- -
- The change in the third pass air temperature can be expressed as:
- -
- The back plate-received radiation heat transfer from the absorber plate and transfer heat to the third pass air by convection is expressed as:
Tf1(x = 0) = Ta.
- -
- The air entering the second pass with a flow fraction (1 − z) is a mixture of the air exiting the first pass with the flow fraction (1 − y − z) and the air from the second inlet with the flow fraction (y). The mixing temperature is calculated from the mass-weighted average as follows:Tf2(x = L) = [(1 − y − z)Tf1(x = L) + yTa]/(1 − z).
- -
- Similarly, the temperature boundary condition for the air entering the third pass can also be expressed as:Tf3(x = 0) = (1 − z)Tf2(x = 0) + zTa.
- -
- Radiation from glass 1 to the surroundings:
- -
- Radiation of glasses:
- -
- Radiation of glass 1 and the absorber plate:
- -
- Radiation of the absorber plate and back plate:
- -
- For the first pass,
- -
- for the second pass,
- -
- for the third pass,
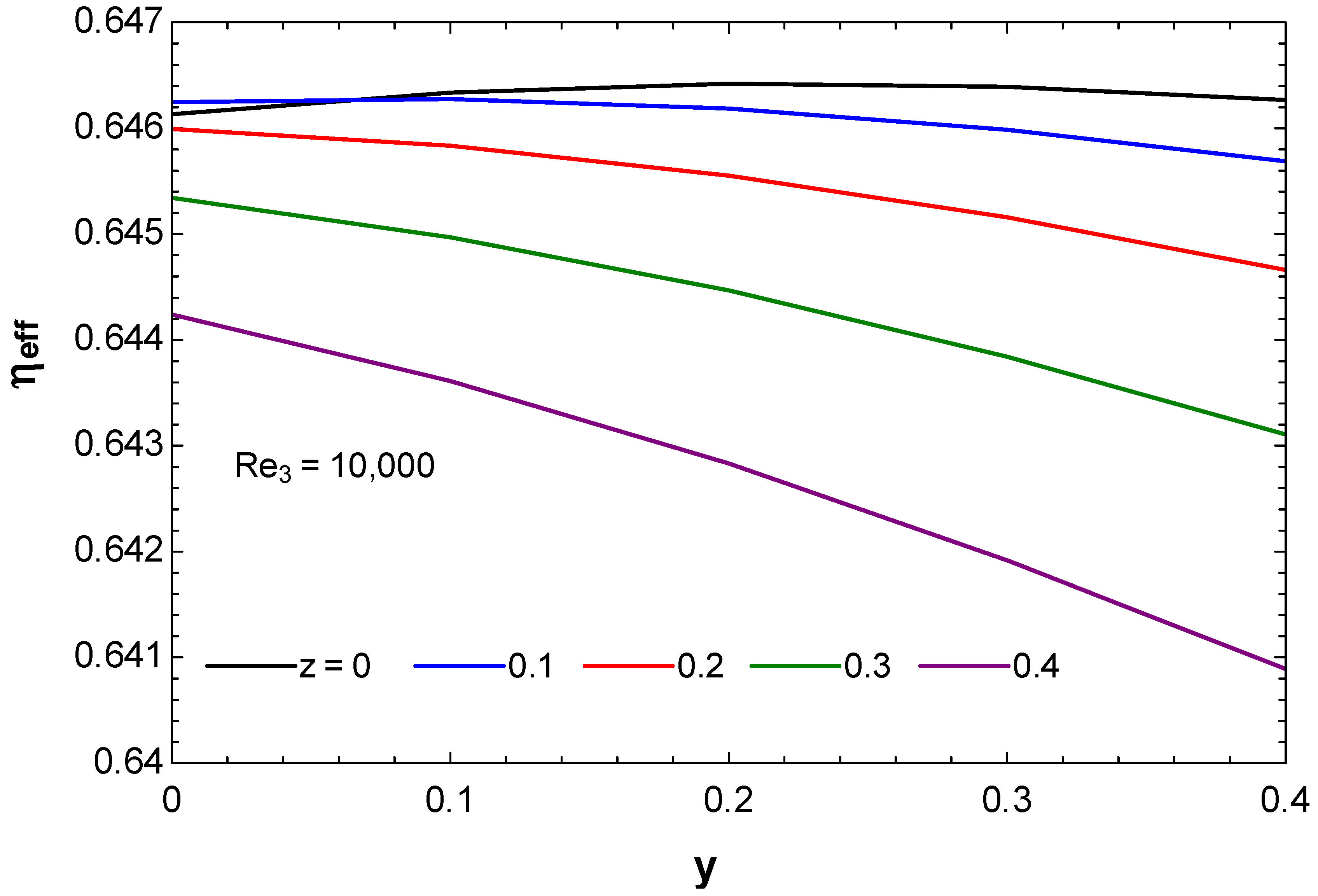
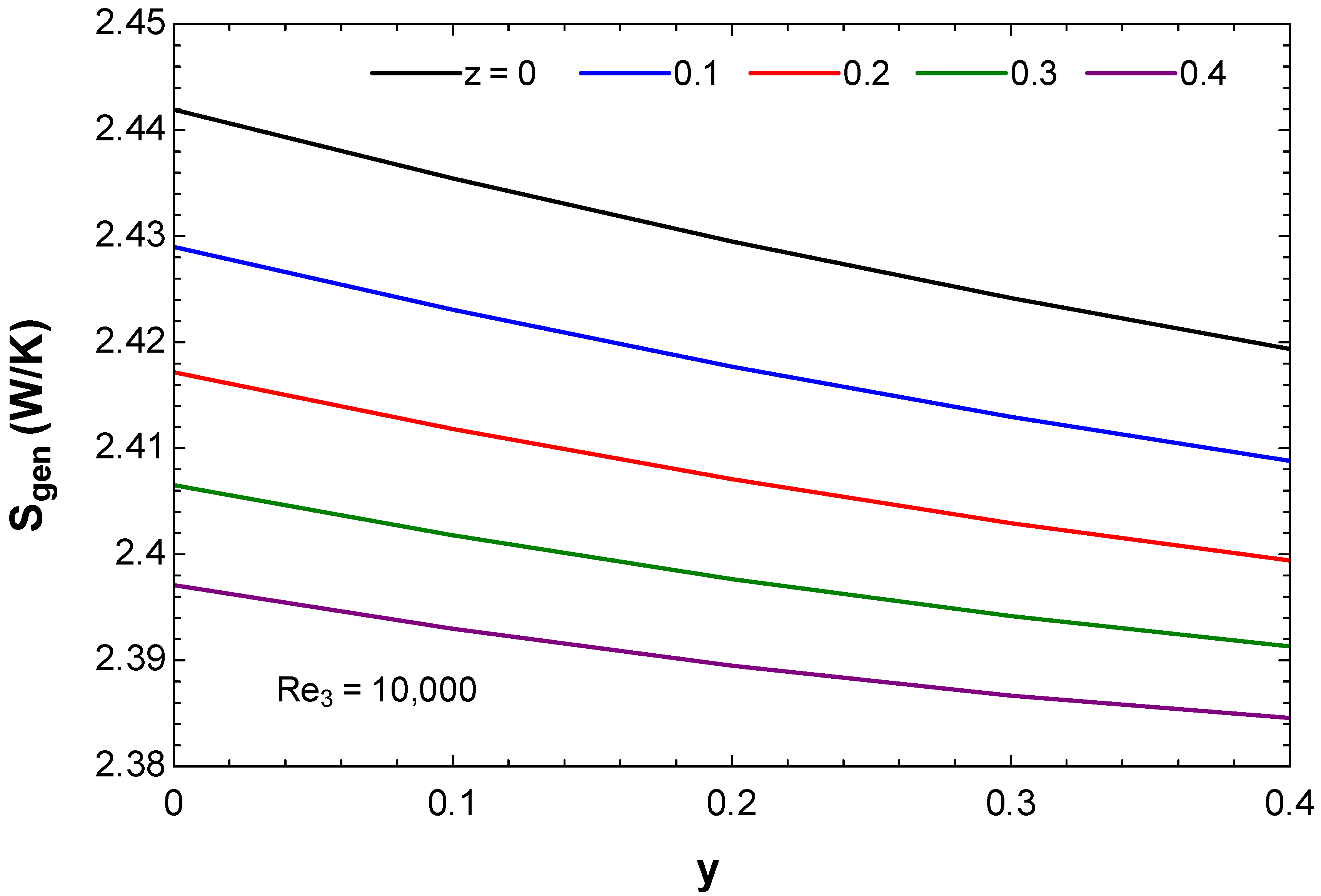
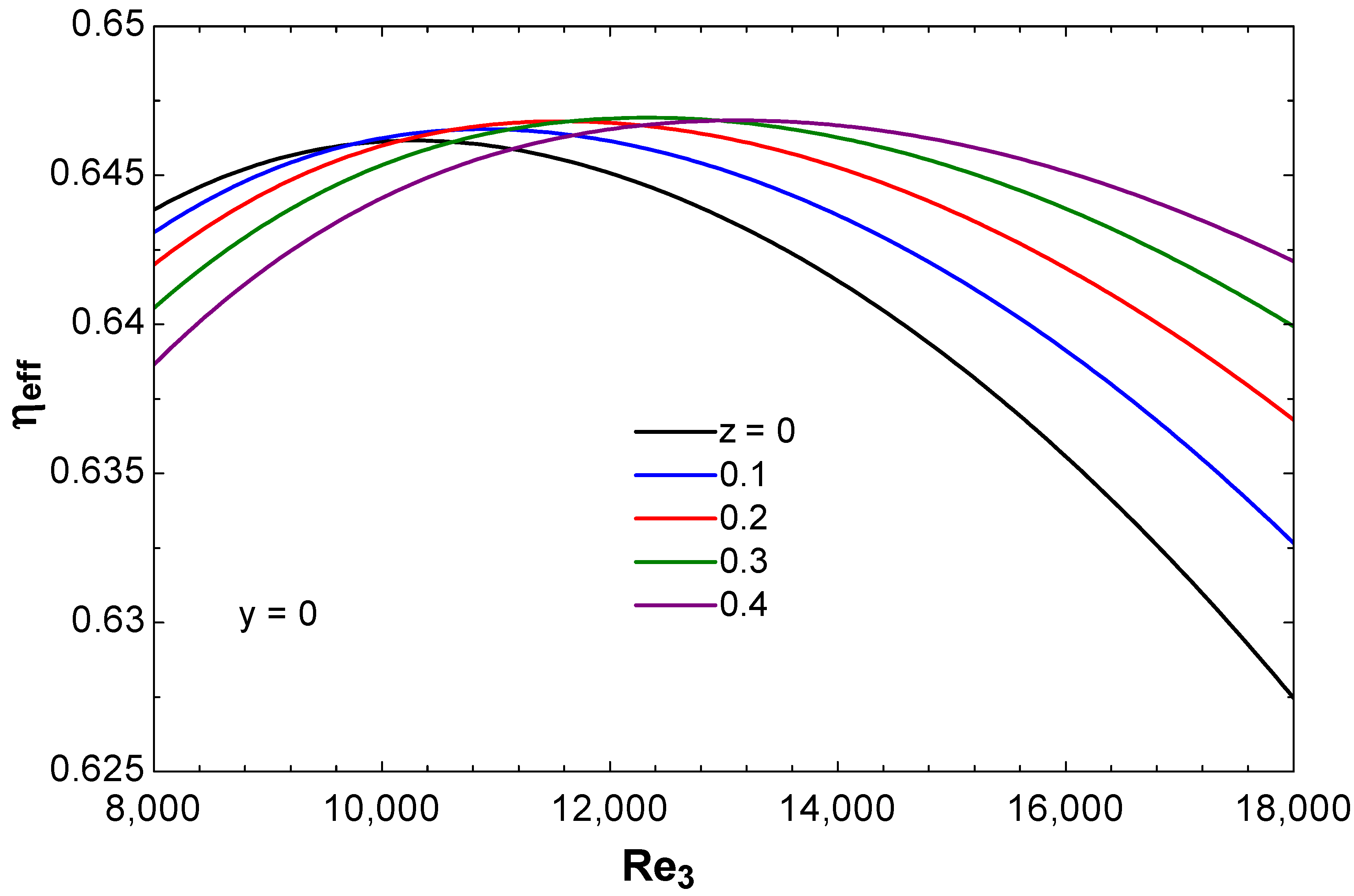
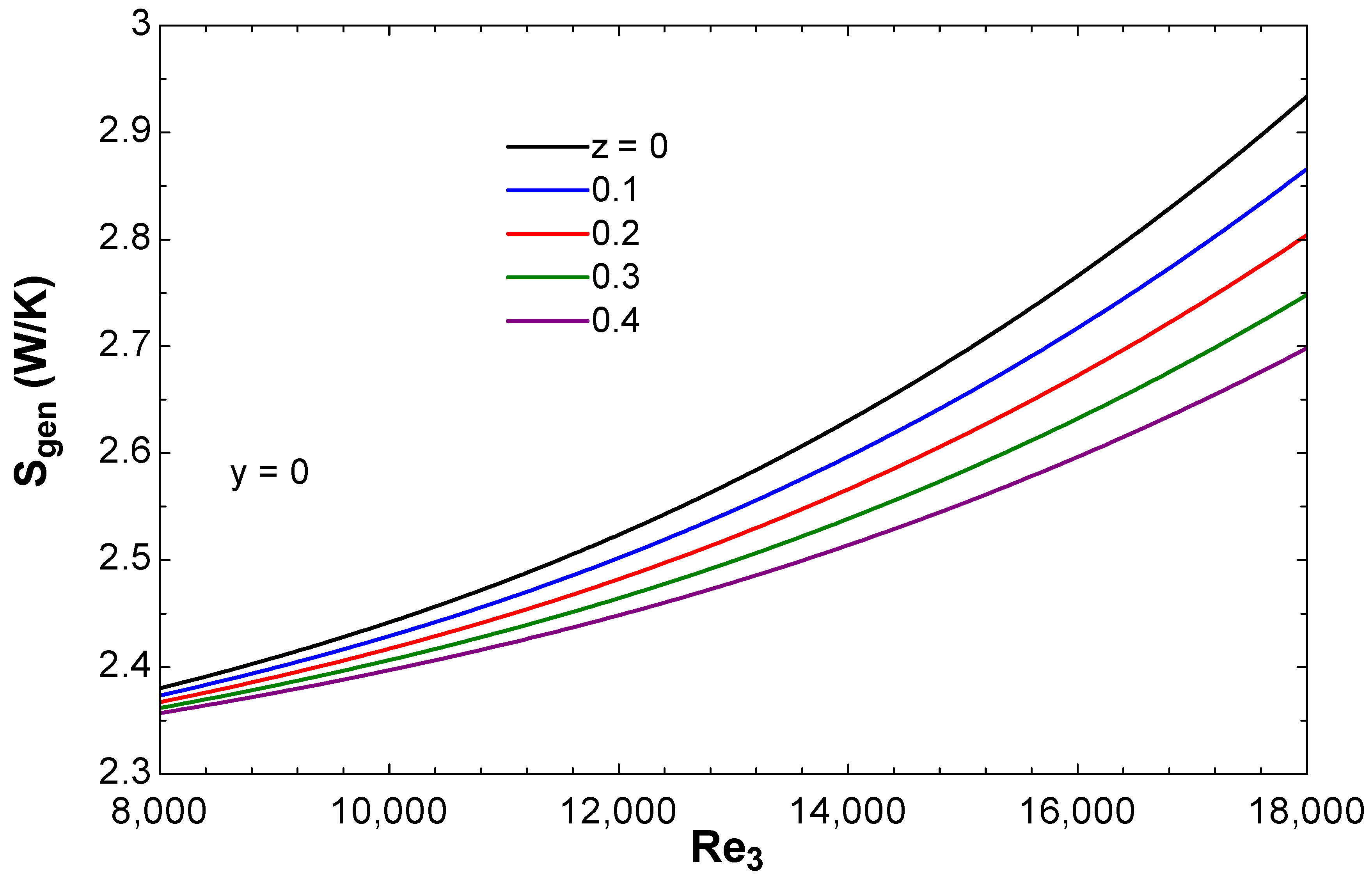
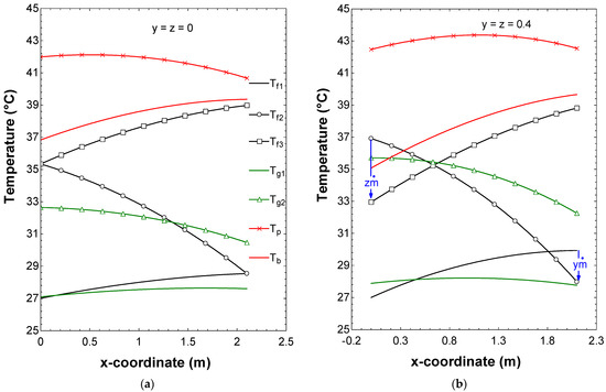
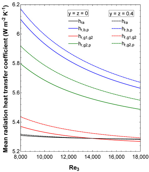
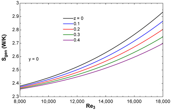
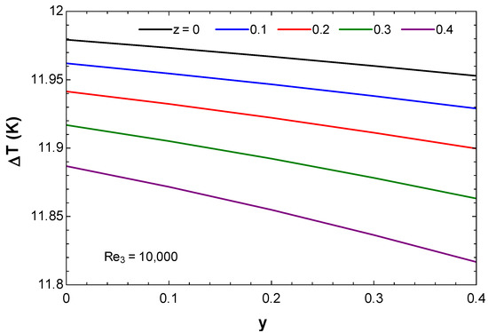
3. Results and Discussion
4. Conclusions
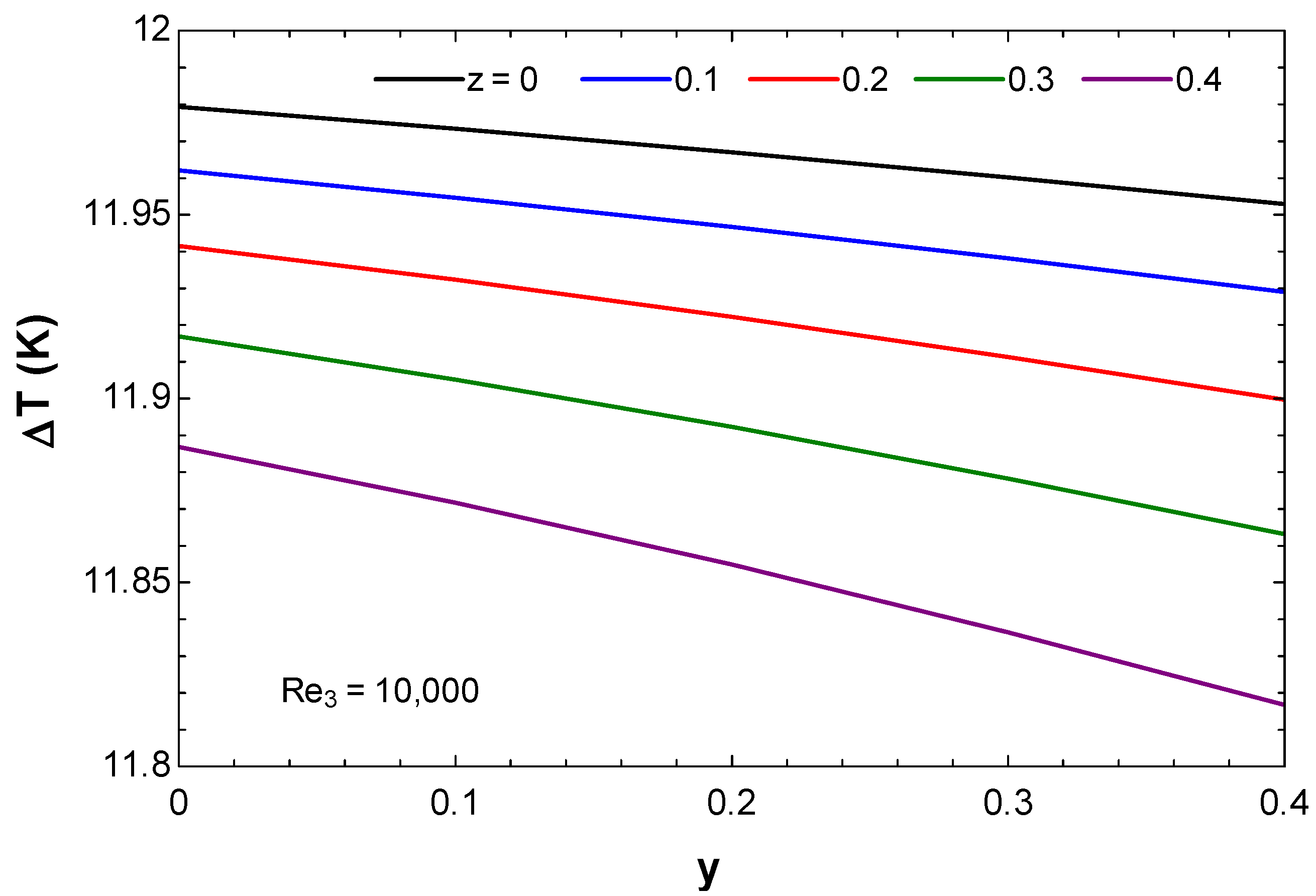
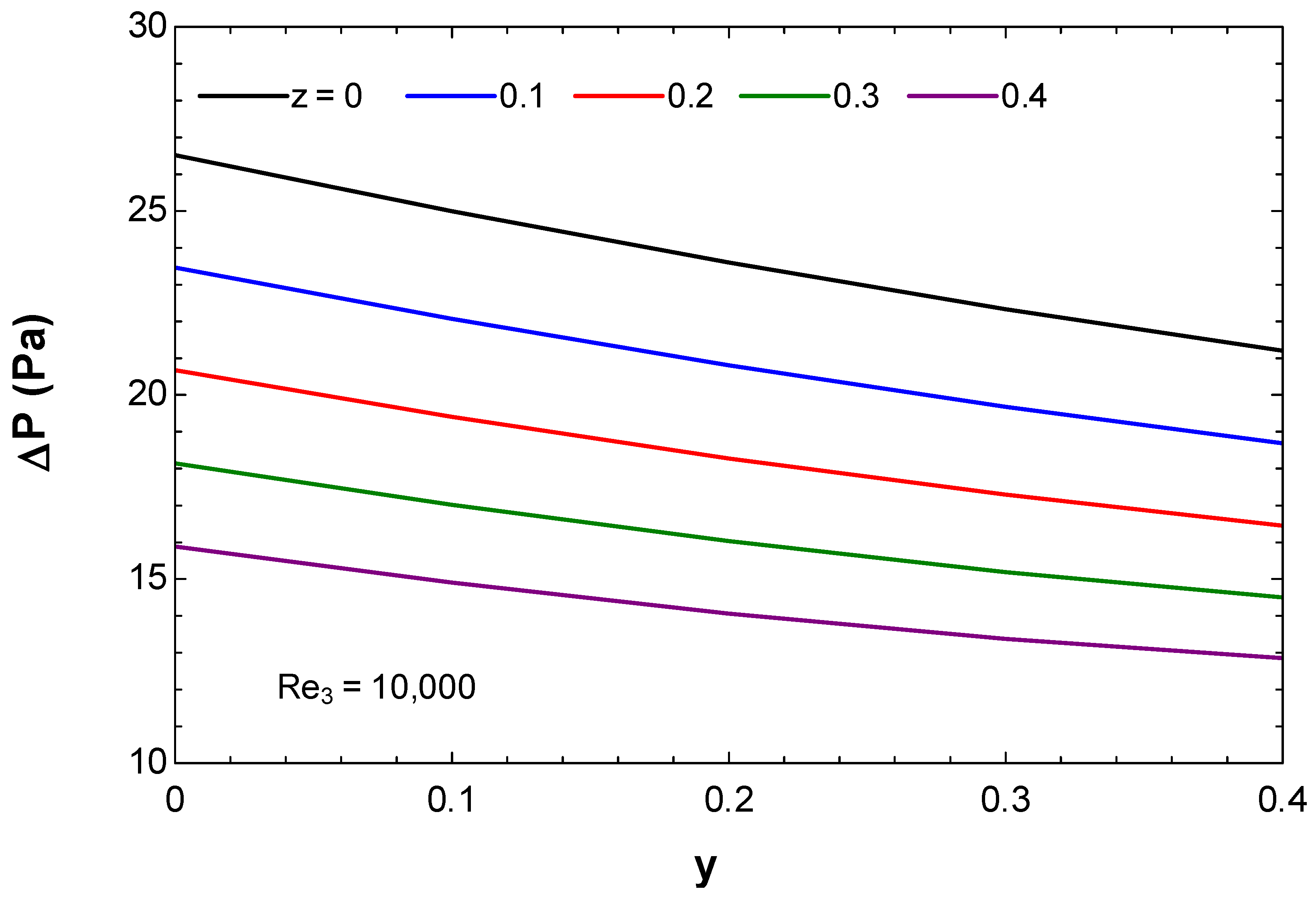
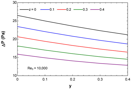
- The air temperature difference showed little change with the airflow ratios. However, the pressure loss of the three-inlet triple-pass SAH was reduced to half of that of the traditional triple-pass SAH.
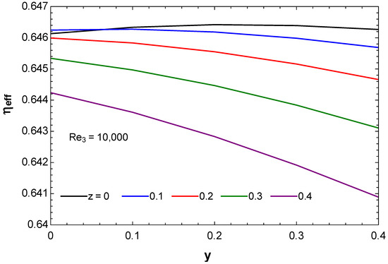
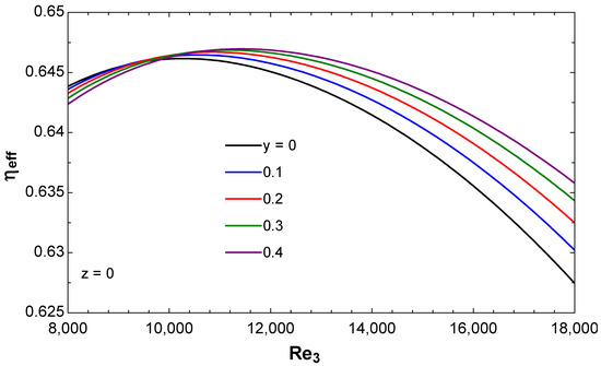
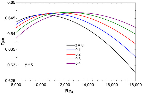
- Thermohydraulic efficiency reached high values when the airflow ratios were less than 0.1.
- Increasing the airflow ratio increased the optimal Reynolds number for maximum thermohydraulic efficiency.
- When the Reynolds number was greater than 11,000, the performance of the three-inlet triple-pass SAH was greater than that of the traditional triple-pass SAH.
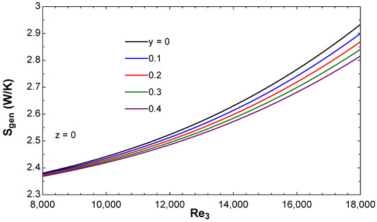
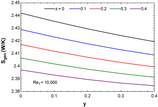
- Increasing the Reynolds number and decreasing the airflow ratios increased entropy generation.
- The influence of the third pass airflow ratio on the thermal–hydraulic parameters and entropy generation was more pronounced than that of the airflow ratio of the second pass.
- Re3 = 11,156, y = 0.258, and z = 0.036 are the optimal values for maximum thermohydraulic efficiency and minimum entropy generation.
Author Contributions
Funding
Institutional Review Board Statement
Informed Consent Statement
Data Availability Statement
Acknowledgments
Conflicts of Interest
Nomenclature
| Ac | area of absorber plate (m2) |
| cp | specific heat at a constant pressure (Jkg−1K−1) |
| D | channel depth (m) |
| De | hydraulic diameter (m) |
| f | friction factor |
| h | heat transfer coefficient (Wm−2K−1) |
| I | solar radiation (W/m2) |
| k | thermal conductivity (Wm−1K−1) |
| L | collector length (m) |
| air mass flow rate (kg/s) | |
| n | number of fins |
| P | pressure (Pa) |
| Pr | Prandtl number |
| Q | heat transfer rate (W) |
| Re | Reynolds number |
| Sgen | entropy generation (W/K) |
| t | fin thickness (m) |
| T | temperature (K) |
| V | velocity (m/s) |
| W | collector width (m) |
| Wf | fin height (m) |
| x | coordinator (m) |
| y | airflow ratio of the second pass, 0 ≤ y < 1 |
| z | airflow ratio of the third pass, 0 ≤ z < 1 |
| Greek symbols | |
| α | absorptivity |
| Δ | difference |
| ε | emissivity |
| η | efficiency |
| μ | dynamic viscosity (Pa.s) |
| ϕ | area-weighted fin efficiency |
| ρ | air density (kg/m3) |
| σ | Stefan constant |
| τ | transmissivity |
| Subscripts | |
| a | ambient |
| b | back plate |
| c | convection |
| Eff | thermohydraulic |
| f | fluid (Air), fin |
| g | glass cover |
| o | outlet |
| p | absorber plate |
| r | radiation |
| s | sun |
| w | wind |
References
- Farjana, S.H.; Huda, N.; Mahmud, M.A.P.; Saidur, R. Solar process heat in industrial systems—A global review. Renew. Sust. Energ. Rev. 2018, 82, 2270–2286. [Google Scholar] [CrossRef] [Green Version]
- Phu, N.M.; Luan, N.T. A review of energy and exergy analyses of a roughened solar air heater. J. Adv. Res. Fluid Mech. Therm. Sci. 2021, 77, 160–175. [Google Scholar]
- Thao, P.B.; Truyen, D.C.; Phu, N.M. CFD Analysis and Taguchi-Based Optimization of the Thermohydraulic Performance of a Solar Air Heater Duct Baffled on a Back Plate. Appl. Sci. 2021, 11, 4645. [Google Scholar] [CrossRef]
- Nguyen Thanh, L.; Nguyen Minh, P. First and Second Law Evaluation of Multipass Flat-Plate Solar Air Collector and Optimization Using Preference Selection Index Method. Math. Probl. Eng. 2021, 2021, 5563882. [Google Scholar]
- Chamoli, S.; Chauhan, R.; Thakur, N.; Saini, J. A review of the performance of double pass solar air heater. Renew. Sust. Energ. Rev. 2012, 16, 481–492. [Google Scholar] [CrossRef]
- Tuncer, A.D.; Sözen, A.; Khanlari, A.; Amini, A.; Şirin, C. Thermal performance analysis of a quadruple-pass solar air collector assisted pilot-scale greenhouse dryer. Sol. Energy 2020, 203, 304–316. [Google Scholar] [CrossRef]
- Khanlari, A.; Sözen, A.; Afshari, F.; Şirin, C.; Tuncer, A.D.; Gungor, A. Drying municipal sewage sludge with v-groove triple-pass and quadruple-pass solar air heaters along with testing of a solar absorber drying chamber. Sci. Total Environ. 2020, 709, 136198. [Google Scholar] [CrossRef]
- Kesavan, S.; Arjunan, T.; Vijayan, S. Thermodynamic analysis of a triple-pass solar dryer for drying potato slices. J. Therm. Anal. Calorim. 2019, 136, 159–171. [Google Scholar] [CrossRef]
- Sopian, K.; Alghoul, M.; Alfegi, E.M.; Sulaiman, M.; Musa, E. Evaluation of thermal efficiency of double-pass solar collector with porous–nonporous media. Renew. Energy 2009, 34, 640–645. [Google Scholar] [CrossRef]
- Ho, C.-D.; Lin, C.-S.; Chuang, Y.-C.; Chao, C.-C. Performance improvement of wire mesh packed double-pass solar air heaters with external recycle. Renew. Energy 2013, 57, 479–489. [Google Scholar] [CrossRef]
- Yeh, H.-M.; Ho, C.-D. Collector efficiency in downward-type internal-recycle solar air heaters with attached fins. Energies 2013, 6, 5130–5144. [Google Scholar] [CrossRef]
- Singh, S.; Dhiman, P. Analytical and experimental investigations of packed bed solar air heaters under the collective effect of recycle ratio and fractional mass flow rate. J. Energy Storage 2018, 16, 167–186. [Google Scholar] [CrossRef]
- Ho, C.-D.; Chang, H.; Hsiao, C.-F.; Huang, C.-C. Device performance improvement of recycling double-pass cross-corrugated solar air collectors. Energies 2018, 11, 338. [Google Scholar] [CrossRef] [Green Version]
- Abo-Elfadl, S.; Yousef, M.S.; Hassan, H. Assessment of double-pass pin finned solar air heater at different air mass ratios via energy, exergy, economic, and environmental (4E) approaches. Environ. Sci. Pollut. Res. 2021, 28, 13776–13789. [Google Scholar] [CrossRef]
- Ahmadkhani, A.; Sadeghi, G.; Safarzadeh, H. An in depth evaluation of matrix, external upstream and downstream recycles on a double pass flat plate solar air heater efficacy. Therm. Sci. Eng. Prog. 2021, 21, 100789. [Google Scholar] [CrossRef]
- Ramani, B.; Gupta, A.; Kumar, R. Performance of a double pass solar air collector. Sol. Energy 2010, 84, 1929–1937. [Google Scholar] [CrossRef]
- Tan, H.M.; Charters, W.W.S. Effect of thermal entrance region on turbulent forced-convective heat transfer for an asymmetrically heated rectangular duct with uniform heat flux. Sol. Energy 1969, 12, 513–516. [Google Scholar] [CrossRef]
- Sahu, M.K.; Sharma, M.; Matheswaran, M.; Maitra, K. On the use of longitudinal fins to enhance the performance in rectangular duct of solar air heaters—A review. J. Sol. Energy Eng. 2019, 141, 030802. [Google Scholar] [CrossRef]
- Velmurugan, P.; Kalaivanan, R. Thermal performance studies on multi-pass flat-plate solar air heater with longitudinal fins: An analytical approach. Arab. J. Sci. Eng. 2015, 40, 1141–1150. [Google Scholar] [CrossRef]
- Naphon, P. On the performance and entropy generation of the double-pass solar air heater with longitudinal fins. Renew. Energy 2005, 30, 1345–1357. [Google Scholar] [CrossRef]
- Phu, N.M.; Van Hap, N. Performance Evaluation of a Solar Air Heater Roughened with Conic-Curve Profile Ribs Based on Efficiencies and Entropy Generation. Arab. J. Sci. Eng. 2020, 45, 9023–9035. [Google Scholar] [CrossRef]
- Phu, N.M.; Bao, T.T.; Hung, H.N.; Tu, N.T.; Van Hap, N. Analytical predictions of exergoeconomic performance of a solar air heater with surface roughness of metal waste. J. Therm. Anal. Calorim. 2021, 144, 1727–1740. [Google Scholar] [CrossRef]
- Fudholi, A.; Sopian, K. A review of solar air flat plate collector for drying application. Renew. Sust. Energ. Rev. 2019, 102, 333–345. [Google Scholar] [CrossRef]
- Muñoz, M.; Roa, M.; Correa, R. Entropy generation analysis for the design of a flat plate solar collector with fins. Dyna 2020, 87, 199–208. [Google Scholar] [CrossRef] [Green Version]
- Phu, N.M.; Lee, G.S. Characteristics of pressure and force considering friction in a closed cylinder with a holed piston. J. Mech. Sci. Technol. 2014, 28, 2409–2415. [Google Scholar] [CrossRef]
- Klein, S.A. Engineering Equation Solver (EES); F-Chart Software: London, UK, 2013. [Google Scholar]
- Nellis, G.; Klein, S. Heat Transfer; Cambridge University Press: New York, NY, USA, 2009; pp. 317–348. [Google Scholar]
- Abuşka, M.; Şevik, S. Energy, exergy, economic and environmental (4E) analyses of flat-plate and V-groove solar air collectors based on aluminium and copper. Sol. Energy 2017, 158, 259–277. [Google Scholar] [CrossRef]
- Thao, P.B.; Phu, N.M.; Truyen, D.C. Comparative Study and Optimization of CO2 Capture and Storage in LNG-fired Power Plant. J. Adv. Res. Fluid Mech. Therm. Sci. 2020, 72, 55–66. [Google Scholar]
- Zhou, T.; Nguyen, V.H.; Lee, G.S. Design optimization of heat exchangers for solar-heating ocean thermal energy conversion (SH-OTEC) using high-performance commercial tubes. Trans. Korean Soc. Mech. Eng. B 2016, 40, 557–567. [Google Scholar] [CrossRef] [Green Version]
- Alhamid, M.I.; Aisyah, N. Exergetic-Economic analysis and optimization of solar assisted heat pump using Multi-objective Genetic Algorithm. IOP Conf. Ser. Earth Environ. Sci. 2018, 105, 012064. [Google Scholar]
- Tuyen, V.; Van Hap, N.; Phu, N.M. Thermal-hydraulic characteristics and optimization of a liquid-to-suction triple-tube heat exchanger. Case Stud. Therm. Eng. 2020, 19, 100635. [Google Scholar] [CrossRef]
- Imran, M.; Pambudi, N.A.; Farooq, M. Thermal and hydraulic optimization of plate heat exchanger using multi objective genetic algorithm. Case Stud. Therm. Eng. 2017, 10, 570–578. [Google Scholar] [CrossRef]













| Investigators (Year) | Flow Pattern | Heat Transfer Enhancement | Main Finding |
|---|---|---|---|
| Ho et al., 2013 [10] | ![]() | Wire mesh | Optimal recycle ratio of 1.0 |
| Yeh and Ho, 2013 [11] | ![]() | Longitudinal fin | Collector efficiency increased with recycle ratio |
| Singh and Dhiman, 2018 [12] | ![]() | Wire mesh packing | Optimal recycle ratio of 1.8 |
| Ho et al., 2018 [13] | ![]() | Corrugated absorber and back plates | Optimal recycle ratio of 0.5 |
| Abo-Elfadl et al., 2020 [14] | ![]() | Pin fin | In total, 66.7% of air supply at the second pass exhibited the highest energy and exergy efficiencies |
| Ahmadkhani et al., 2021 [15] | ![]() | Packed bed matrix | Recycle flow to back plate (upper figure) led to higher air temperature rise |
| Parameter | Value | Reference |
|---|---|---|
| Thermal conductivity of fin | ks = 50.2 Wm−1K−1 | [19] |
| Fin thickness | t = 0.95 mm | [19] |
| Number of fins | n = 20 | - |
| Fin height | Wf = 10 mm | - |
| Collector length | L = 2.1 m | [16] |
| Collector width | W = 0.54 m | [16] |
| Collector depth | D = 0.021 m | [16] |
| Solar radiation | I = 848 W/m2 | [16] |
| Ambient temperature | Ta = 27 °C | [16] |
| Absorptivity of glass covers | αγ1 = αγ2 = 0.05 | [16] |
| Absorptivity of absorber plate | απ = 0.92 | [16] |
| Emissivity of glass covers | εγ1 = εγ2 = 0.92 | [16] |
| Emissivity of absorber plate | επ = 0.92 | [16] |
| Emissivity of back plate | εβ = 0.92 | - |
| Transmissivity of glass covers | τγ1 = τγ2 = 0.84 | [19] |
| Effective transmittance–absorptance product | τα = 0.78 | [28] |
| Wind velocity | Vw = 1 m/s | - |
| Increment in x-coordinate | Δξ = 0.21 μ | - |
| Stefan’s constant | σ = 5.67⋅10−8 Ω/(μ2Κ4) | - |
| Key Parameter | Range |
|---|---|
| Reynolds number in the third pass | Re3 = 8000–18,000 |
| Airflow ratio in the second pass | y = 0–0.4 |
| Airflow ratio in the third pass | z = 0–0.4 |
| Parameter | Value | Remark |
|---|---|---|
| Population size | 260 | Very large population size results in long computation time |
| Crossover fraction | 0.8 | Matlab manual and thermal research [33] recommend the value to obtain the best result |
| Pareto fraction | 0.35 | Default value |
| Maximum number of generations | 200 × number of variables | Sensitivity analysis revealed that the Pareto frontier is reached after 121 iterations |
| Mutation function | Adaptive feasible | Due to bounds, used as shown in Table 3 |
| Selection type | Tournament | Enhances chance of selection for the fittest individual [33] |
| Crossover function | Intermediate | Default crossover function |
| Population type | Double vector | The individuals owned type double (not string) |
Publisher’s Note: MDPI stays neutral with regard to jurisdictional claims in published maps and institutional affiliations. |
© 2021 by the authors. Licensee MDPI, Basel, Switzerland. This article is an open access article distributed under the terms and conditions of the Creative Commons Attribution (CC BY) license (https://creativecommons.org/licenses/by/4.0/).
Share and Cite
Phu, N.M.; Tu, N.T.; Hap, N.V. Thermohydraulic Performance and Entropy Generation of a Triple-Pass Solar Air Heater with Three Inlets. Energies 2021, 14, 6399. https://doi.org/10.3390/en14196399
Phu NM, Tu NT, Hap NV. Thermohydraulic Performance and Entropy Generation of a Triple-Pass Solar Air Heater with Three Inlets. Energies. 2021; 14(19):6399. https://doi.org/10.3390/en14196399
Chicago/Turabian StylePhu, Nguyen Minh, Ngo Thien Tu, and Nguyen Van Hap. 2021. "Thermohydraulic Performance and Entropy Generation of a Triple-Pass Solar Air Heater with Three Inlets" Energies 14, no. 19: 6399. https://doi.org/10.3390/en14196399
APA StylePhu, N. M., Tu, N. T., & Hap, N. V. (2021). Thermohydraulic Performance and Entropy Generation of a Triple-Pass Solar Air Heater with Three Inlets. Energies, 14(19), 6399. https://doi.org/10.3390/en14196399







