Using the Modified Resistivity–Porosity Cross Plot Method to Identify Formation Fluid Types in Tight Sandstone with Variable Water Salinity
Abstract
:1. Introduction
2. Geological Background and Petrophysical Characteristics
3. Characteristics of Formation Water Salinity
4. Results and Discussion
4.1. Traditional Resistivity–Porosity Cross Plot Method
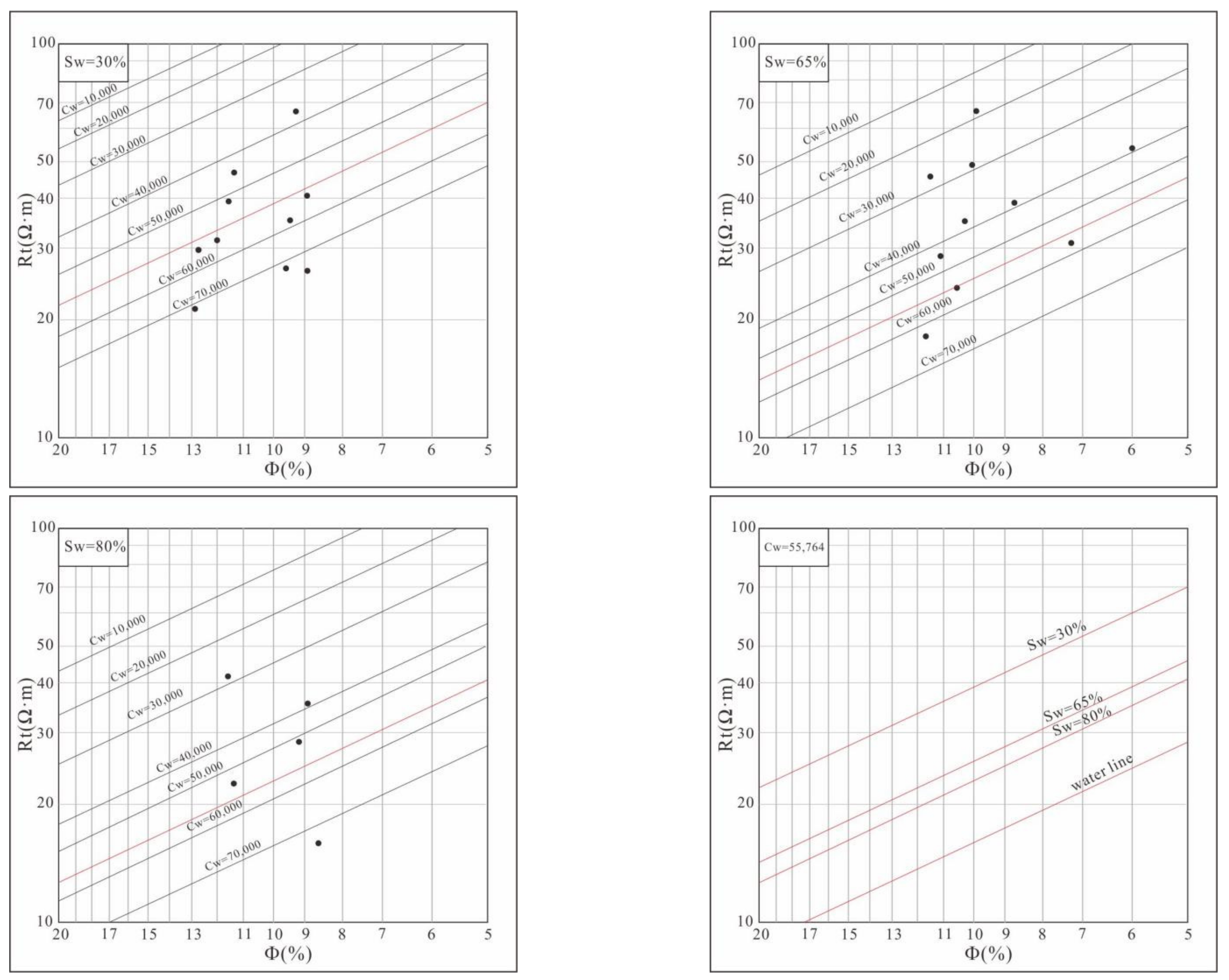
4.2. The Establishment of Modified Plate
4.2.1. Interpretation of Water Saturation Parameter
4.2.2. Conversion of Formation Resistivity
4.2.3. Plate Establishment of the Water Saturation
4.3. Plate Verification
5. Conclusions and Discussion
Author Contributions
Funding
Institutional Review Board Statement
Informed Consent Statement
Data Availability Statement
Acknowledgments
Conflicts of Interest
References
- Chu, W.C.; Steckhan, J. A practical approach to determine low-resistivity pay in clastic reservoirs. In Proceedings of the SPE Annual Technical Conference and Exhibition, Denver, CO, USA, 30 October–2 November 2011. [Google Scholar]
- Pedram, M.; Hossein, M.; Tahar, A.; Behzad, T. Geometric modelling of the volume of investigation of well logs for thin-bed characterization. J. Geophys. Eng. 2017, 14, 426–444. [Google Scholar]
- Qin, H.; Wang, W. Genesis of low resistance of lithic sandstone reservoir in member 2 of Xujiahe Formation in Yuanba area, Northeast Sichuan, China. J. Chengdu Univ. Technol. 2014, 41, 577–581. [Google Scholar]
- Feng, C.J.; Gingras, M.; Sun, M.S.; Wang, B. Logging characteristics and identification methods of low resistivity oil layer: Upper cretaceous of the Third member of Qingshankou Formation, Daqingzijing Area, Songliao Basin, China. Geofluids 2017, 4, 1–13. [Google Scholar] [CrossRef] [Green Version]
- Fan, R.; Zhou, L.; Wu, J.; Zeng, T.; Zhou, X.F. Research on tight sandstone reservoir fluids identification in Xujiahe formation, northeastern Sichuan Basin. Petrol. Geol. Recov. Effic. 2015, 22, 67–71. [Google Scholar]
- Hamada, G.M.; Al-Awad, M.N.J. Petrophysical evaluation of low resistivity sandstone reservoirs. J. Can. Petrol. Technol. 2000, 39, 7–14. [Google Scholar] [CrossRef]
- Cheng, X.Z.; Zhou, C.C.; Fan, Y.R.; Wang, Z.H.; Huang, S.X. Genesis and identification of low contrast pay zones in fresh-water reservoirs. J. Oil Gas Technol. 2007, 29, 62–68. [Google Scholar]
- Meador, R.A.; Cox, P.T. Dielectric Constant Logging, A Salinity Independent Estimation of Formation Water Volume. In Proceedings of the Fall Meeting of the Society of Petroleum Engineers of AIME, Dallas, TX, USA, 28 September–1 October 1975. [Google Scholar]
- Miao, Q.; Li, H.; Zhao, G. Study of identifying fluid property andinterpretation method of Fuyang reservoir in Xingnan Oilfield. Pet. Instrum. 2014, 28, 77–79. [Google Scholar]
- Zemanek, J. Low-resistivity hydrocarbon-bearing sand reservoirs. SPE Form. Eval. 1989, 4, 515–521. [Google Scholar] [CrossRef]
- Worthington, P.F. Recognition and evaluation of low-resistivity pay. Petrol. Geosci. 2000, 6, 77–92. [Google Scholar] [CrossRef]
- Durand, C.; Brosse, E.; Cerepi, A. Effect of Pore-Lining Chlorite on Petrophysical Properties of Low-Resistivity Sandstone Reservoirs. SPE Reserv. Eval. Eng. 2001, 4, 231–239. [Google Scholar] [CrossRef]
- Mode, A.W.; Anyiam, O.A.; Aghara, I.K. Identification and petrophysical evaluation of thinly bedded low-resistivity pay reservoir in the Niger Delta. Arab. J. Geosci. 2014, 8, 2217–2225. [Google Scholar] [CrossRef]
- Guy, W.J.; John, H.; Doveton, W. Reservoir characterization utilizing a low cost resistivity-porosity crossplot and an interactive spreadsheet. AAPG Bull. 1996, 80, 231. [Google Scholar]
- Hamada, N.M.; Al-Blehed, M.S.; Al-Awad, M.N.; Al-Saddique, M.A. Petrophysical evaluation of low-resistivity sandstone reservoir with nuclear magnetic resonance log. J. Petrol. Sci. Eng. 2001, 39, 129–138. [Google Scholar] [CrossRef]
- Luo, N.; Zhao, Z.H. Application of New Well Logging Technologies in Guang’an Block. Well Logging Technol. 2007, 3, 249–252. [Google Scholar]
- Wang, Z.G. Study on the Russian Through Casing Resistivity Logging and Its Application. Well Logging Technol. 2009, 33, 374–378. [Google Scholar]
- Thanh, H.V.; Sugai, Y.; Sasaki, K. Impact of a new geological modelling method on the enhancement of the CO2 storage assessment of E sequence of Nam Vang field, offshore Vietnam. Energy Sour. 2020, 42, 1499–1512. [Google Scholar] [CrossRef]
- Thanh, H.V.; Sugai, Y.; Nguele, R.; Sasaki, K. Integrated workflow in 3D geological model construction for evaluation of CO2 storage capacity of a fractured basement reservoir in Cuu Long Basin, Vietnam. Int. J. Greenh. Gas Control 2019, 90, 102826. [Google Scholar] [CrossRef]
- Xiao, X.G.; Li, Q. The reservoir characteristics of Chang 8 oil-bearing Formation in the Zhiluo oil field of Ordos Basin. Geol. China 2014, 41, 187–196. [Google Scholar]
- Jing, W.; Jiannan, S.; Chengfei, H.; Yuhao, P. Hydrocarbon accumulation modes of Chang 8 oil reservoir group in Zhenyuan area, Ordos Basin, China. J. Chengdu Univ. Technol. 2015, 42, 553–558. [Google Scholar]
- Xiaoxia, R.; Aifen, L. Pore Structure of Tight Sandstone Reservoir and Its Influence on Percolation: A Case Study of Chang 8 Reservoir in Maling Oilfield, Ordos Basin. Oil Gas Geol. 2015, 36, 774–779. [Google Scholar]
- Zuowei, H.; Yun, L.; Haihong, W.; Changbing, H.; Changyong, W.; Zheng, L. Characteristics of Pore Structure of Ultra-low Permeability Reservoir of Chang 8 Reservoir Formation in Zhenyuan Area, Ordos Basin. Lithol. Oil Gas Reserv. 2014, 26, 15–20. [Google Scholar]
- Shaogui, D.; Yiren, F.; Guoxin, L. Influence of formation water salinity on physical properties of argillaceous sandstone. Well Logging Technol. 2006, 30, 113–115. [Google Scholar]
- Haiyong, M.; Lifa, Z.; Xiuqin, D. Hydrochemical characteristics and geological significance of the Chang 8 formation of the Yanchang Formation in Jiyuan area, Ordos Basin. J. Northwest. Univ. 2013, 43, 253–257. [Google Scholar]
- Archie, G.E. The electrical resistivity log as an aid in determining some reservoir characteristics. Trans. Am. 1942, 146, 41–56. [Google Scholar] [CrossRef]












| Well Number | Resistivity (Ω·m) | Salinity (ppm) | Porosity (%) | Water Saturation (%) | Post-Conversion Resistivity (Ω·m) |
|---|---|---|---|---|---|
| Z264 | 38.08 | 35,830 | 9.28 | 39.86 | 66.79 |
| Z225 | 48.20 | 46,582 | 11.37 | 29.53 | 46.72 |
| Z277 | 45.32 | 54,051 | 11.54 | 27.96 | 39.43 |
| Z265 | 44.38 | 55,910 | 8.97 | 28.75 | 45.80 |
| Z213 | 58.40 | 57,690 | 11.98 | 22.00 | 31.63 |
| Z320 | 43.89 | 57,800 | 12.79 | 24.64 | 28.24 |
| Z54 | 48.90 | 58,320 | 9.47 | 24.00 | 35.46 |
| Z218 | 63.50 | 70,540 | 12.87 | 17.15 | 21.02 |
| Z359 | 65.26 | 71,000 | 9.60 | 19.11 | 26.76 |
| Z342 | 50.19 | 72,985 | 8.96 | 21.63 | 26.29 |
| K (mm) | Cw (ppm) |
|---|---|
| 0 | 35,830 |
| 8.77 | 46,582 |
| 15.98 | 54,051 |
| 24.77 | 55,910 |
| 24.89 | 57,690 |
| 25.64 | 57,800 |
| 29.23 | 58,320 |
| 41.66 | 70,540 |
| 42.12 | 71,000 |
| 45.73 | 72,985 |
| Cw (ppm) | K (mm) |
|---|---|
| 10,000 | −36.84 |
| 20,000 | −23.79 |
| 30,000 | −10.74 |
| 40,000 | 2.30 |
| 50,000 | 15.35 |
| 60,000 | 28.40 |
| 70,000 | 41.44 |
| Well Number | Resistivity (Ω·m) | Porosity (%) | Perforation Test Results | Plate Interpretation Results |
|---|---|---|---|---|
| Z137 | 13.97 | 8.20 | Water layer | Water layer |
| Z136 | 18.72 | 8.80 | Water layer | Water layer |
| Z138 | 20.61 | 8.90 | Water layer | Water layer |
| Z319 | 22.38 | 8.95 | Water layer | Water layer |
| Z324 | 33.86 | 11.29 | Oil-water layer | Oil-water layer |
| Z47 | 30.90 | 9.51 | Oil-water layer | Oil-water layer |
| Z125 | 66.73 | 6.98 | Oil-water layer | Oil layer |
| Z224 | 24.23 | 13.06 | Oil-water layer | Oil-water layer |
| Z217 | 32.95 | 12.28 | Oil-water layer | Oil-water layer |
| Z229 | 60.46 | 10.19 | Oil-water layer | Oil-water layer |
| Z74 | 18.32 | 7.81 | Oil-water layer | Oil-water layer |
| Z216 | 29.70 | 10.28 | Oil-water layer | Oil-water layer |
| Z227 | 42.13 | 9.81 | Oil-water layer | Water layer |
| Z214 | 39.26 | 12.04 | Oil-water layer | Water layer |
| Z146 | 35.39 | 8.70 | Oil layer | Oil layer |
| Z218 | 63.50 | 12.87 | Oil layer | Oil layer |
| Z240 | 82.12 | 9.98 | Oil layer | Oil layer |
| Z265 | 44.38 | 8.97 | Oil layer | Oil-water layer |
| Z252 | 54.13 | 11.49 | Oil layer | Oil layer |
| Z288 | 59.32 | 8.77 | Oil layer | Oil layer |
| Z342 | 50.19 | 8.96 | Oil layer | Oil layer |
| Z357 | 23.12 | 9.77 | Oil layer | Oil-water layer |
| Z54 | 48.90 | 9.47 | Oil layer | Oil layer |
| Z124 | 53.70 | 10.28 | Oil layer | Oil layer |
| Z213 | 58.40 | 11.98 | Oil layer | Oil layer |
| Z221 | 39.30 | 10.26 | Oil layer | Oil layer |
| Z243 | 38.14 | 12.02 | Oil layer | Oil layer |
| Z232 | 56.62 | 11.18 | Oil layer | Oil layer |
| Z254 | 42.12 | 10.47 | Oil layer | Oil layer |
| Z259 | 34.10 | 12.21 | Oil layer | Oil layer |
| Z267 | 50.46 | 11.87 | Oil layer | Oil layer |
| Z270 | 52.24 | 10.94 | Oil layer | Oil layer |
| Z271 | 46.50 | 9.25 | Oil layer | Oil layer |
| Z322 | 46.44 | 10.04 | Oil layer | Oil layer |
| Z333 | 43.65 | 9.40 | Oil layer | Oil layer |
| Z340 | 63.75 | 8.66 | Oil layer | Oil layer |
| Z33 | 50.90 | 8.60 | Oil layer | Oil layer |
| Z30 | 55.00 | 9.20 | Oil layer | Oil layer |
| Z53 | 24.10 | 12.80 | Oil layer | Oil layer |
| Z120 | 59.08 | 6.81 | Oil layer | Oil layer |
| Z129 | 125.84 | 7.80 | Oil layer | Oil layer |
| Z88 | 40.29 | 11.01 | Oil layer | Oil layer |
Publisher’s Note: MDPI stays neutral with regard to jurisdictional claims in published maps and institutional affiliations. |
© 2021 by the authors. Licensee MDPI, Basel, Switzerland. This article is an open access article distributed under the terms and conditions of the Creative Commons Attribution (CC BY) license (https://creativecommons.org/licenses/by/4.0/).
Share and Cite
Yang, Y.; Li, K.; Wang, Y.; Deng, H.; He, J.; Xiang, Z.; Li, D. Using the Modified Resistivity–Porosity Cross Plot Method to Identify Formation Fluid Types in Tight Sandstone with Variable Water Salinity. Energies 2021, 14, 6335. https://doi.org/10.3390/en14196335
Yang Y, Li K, Wang Y, Deng H, He J, Xiang Z, Li D. Using the Modified Resistivity–Porosity Cross Plot Method to Identify Formation Fluid Types in Tight Sandstone with Variable Water Salinity. Energies. 2021; 14(19):6335. https://doi.org/10.3390/en14196335
Chicago/Turabian StyleYang, Yufei, Kesai Li, Yuanyuan Wang, Hucheng Deng, Jianhua He, Zehou Xiang, and Deli Li. 2021. "Using the Modified Resistivity–Porosity Cross Plot Method to Identify Formation Fluid Types in Tight Sandstone with Variable Water Salinity" Energies 14, no. 19: 6335. https://doi.org/10.3390/en14196335
APA StyleYang, Y., Li, K., Wang, Y., Deng, H., He, J., Xiang, Z., & Li, D. (2021). Using the Modified Resistivity–Porosity Cross Plot Method to Identify Formation Fluid Types in Tight Sandstone with Variable Water Salinity. Energies, 14(19), 6335. https://doi.org/10.3390/en14196335
