Studies on Frequency Response Characteristics of High-Speed Railway Train End Relationship Test System with Flexible Bases
Abstract
:1. Introduction
2. Modeling of Test System for Train End Relationship
2.1. Modeling of Stewart Parallel Robot with Flexible Reaction Bases
2.1.1. Kinematical Modeling
2.1.2. Kinetic Analysis
2.2. Flexible Base Model
2.3. Hydraulic Drive System Model
2.4. Analysis on Natural Frequency
3. Simulation Research on Influence of Flexible Bases on Frequency Characteristics of Parallel Robot
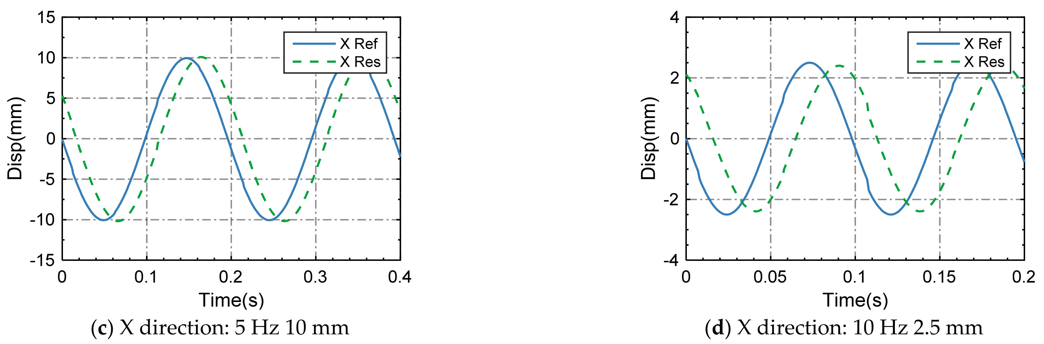
4. Experiment Verifications
5. Conclusions
Author Contributions
Funding
Institutional Review Board Statement
Informed Consent Statement
Conflicts of Interest
References
- Ding, S.S.; Li, Q.; Tian, A.Q.; Du, J.; Liu, J.L. Aerodynamic design on high-speed trains. Acta Mech. Sin. 2016, 32, 215–232. [Google Scholar] [CrossRef]
- Yang, G.; Guo, D.; Yao, S.; Liu, C. Aerodynamic design for China new high-speed trains. Sci. China Technol. Sci. 2012, 55, 1923–1928. [Google Scholar] [CrossRef] [Green Version]
- Givoni, M. Development and impact of the modern high-speed train: A review. Transp. Rev. 2006, 26, 593–611. [Google Scholar] [CrossRef]
- Zhou, H.; Li, H.; Chen, X.; Zhu, C. Analysis of Coupling Between High-Speed Railway and Common Speed Railway System in Transportation Corridor. In Earth and Environmental Science; IOP Conference Series; IOP Publishing: Bristol, UK, 2017; Volume 61, p. 012113. [Google Scholar]
- Zhang, W.; Shen, Z.; Zeng, J. Study on dynamics of coupled systems in high-speed trains. Veh. Syst. Dyn. 2013, 51, 966–1016. [Google Scholar] [CrossRef]
- Makino, T.; Kato, T.; Hirakawa, K. Review of the fatigue damage tolerance of high-speed railway axles in Japan. Eng. Fract. Mech. 2011, 78, 810–825. [Google Scholar] [CrossRef]
- Guo, F.; Wu, S.C.; Liu, J.X.; Zhang, W.; Qin, Q.B.; Yao, Y. Fatigue life assessment of bogie frames in high-speed railway vehicles considering gear meshing. Int. J. Fatigue 2020, 132, 105353. [Google Scholar] [CrossRef]
- Lu, C.; Mo, J.; Sun, R.; Wu, Y.; Fan, Z. Investigation into Multiaxial Character of Thermomechanical Fatigue Damage on High-Speed Railway Brake Disc. Vehicles 2021, 3, 287–299. [Google Scholar] [CrossRef]
- Bustos, A.; Rubio, H.; Castejón, C.; García-Prada, J.C. EMD-based methodology for the identification of a high-speed train running in a gear operating state. Sensors 2018, 18, 793. [Google Scholar] [CrossRef] [Green Version]
- Liu, S.; Yu, Y.; Zhu, Z.; Su, L.; Liu, Q. Dynamic Modeling and Analysis of 3-RRS Parallel Manipulator with Flexible Links. J. Cent. South Univ. Technol. 2010, 17, 323–331. [Google Scholar] [CrossRef]
- Zhang, C.; Jiang, H. Rigid-Flexible Modal Analysis of the Hydraulic 6-DOF Parallel Mechanism. Energies 2021, 14, 1604. [Google Scholar] [CrossRef]
- Rezaei, A.; Akbarzadeh, A.; Akbarzadeh-T, M.-R. An Investigation on Stiffness of a 3-PSP Spatial Parallel Mechanism with Flexible Moving Platform Using Invariant Form. Mech. Mach. Theory 2012, 51, 195–216. [Google Scholar] [CrossRef]
- Sharifnia, M.; Akbarzadeh, A. Dynamics and Vibration of a 3-P SP Parallel Robot with Flexible Moving Platform. J. Vib. Control 2016, 22, 1095–1116. [Google Scholar] [CrossRef]
- Wang, G.; Liu, H. Dynamics Model of 4-SPS/CU Parallel Mechanism with Spherical Clearance Joint and Flexible Moving Platform. J. Tribol. 2018, 140, 021101. [Google Scholar] [CrossRef]
- Wei, W. Coupling Characteristics Analysis of Redundant Multi-Axis Shaking Table and Research on Its Control Strategy. Ph.D. Thesis, Harbin Institute of Technology Harbin, Harbin, China, 2015. [Google Scholar]
- Sharifnia, M.; Akbarzadeh, A. An Analytical Model for Vibration and Control of a P R-P RP Parallel Robot with Flexible Platform and Prismatic Joint. J. Vib. Control 2016, 22, 632–648. [Google Scholar] [CrossRef]
- Wu, J.; Wang, J.; Wang, L.; Li, T.; You, Z. Study on the Stiffness of a 5-DOF Hybrid Machine Tool with Actuation Redundancy. Mech. Mach. Theory 2009, 44, 289–305. [Google Scholar] [CrossRef]
- Majou, F.; Gosselin, C.; Wenger, P.; Chablat, D. Parametric Stiffness Analysis of the Orthoglide. Mech. Mach. Theory 2007, 42, 296–311. [Google Scholar] [CrossRef] [Green Version]
- Yu, Y.; Hongtao, W.; Zhaoming, Z. Stewart sensor dynamics and natural frequency analysis based on Kane method. J. Dyn. Control 2004, 2, 84–87. [Google Scholar]
- De Luca, A.; Di Giovanni, G. Rest-to-Rest Motion of a Two-Link Robot with a Flexible Forearm. In Proceedings of the 2001 IEEE/ASME International Conference on Advanced Intelligent Mechatronics. Proceedings (Cat. No.01TH8556), Como, Italy, 8–12 July 2001. [Google Scholar]
- Huang, T.; Zhao, X.; Whitehouse, D.J. Stiffness Estimation of a Tripod-Based Parallel Kinematic Machine. IEEE Trans. Robot. Autom. 2002, 18, 50–58. [Google Scholar] [CrossRef]
- Merritt, H.E. Hydraulic Control Systems; John Wiley & Sons: Hoboken, NJ, USA, 1991; ISBN 978-0-471-59617-2. [Google Scholar]
- Cai, Y.; Zheng, S.; Liu, W.; Qu, Z.; Zhu, J.; Han, J. Sliding-mode control of ship-mounted Stewart platforms for wave compensation using velocity feedforward. Ocean. Eng. 2021, 236, 109477. [Google Scholar] [CrossRef]
- Cai, Y.; Zheng, S.; Liu, W.; Qu, Z.; Zhu, J.; Han, J. Adaptive robust dual-loop control scheme of ship-mounted Stewart platforms for wave compensation. Mech. Mach. Theory 2021, 164, 104406. [Google Scholar] [CrossRef]
- Yang, C.; Huang, Q.; Jiang, H.; Peter, O.O.; Han, J. PD control with gravity compensation for hydraulic 6-DOF parallel manipulator. Mech. Mach. Theory 2010, 45, 666–677. [Google Scholar] [CrossRef]











| Parameters | Value |
|---|---|
| rc (mm) | 800 |
| rd (mm) | 1100 |
| dc (mm) | 200 |
| dd (mm) | 300 |
| Hs (mm) | 1235.5 |
| ρp (m) | (0; 0; 0) |
| mp (kg) | 10,000 |
| Ips (kg m2) | diag(1908, 867, 2708) |
| Ctc (m3/s/Pa) | 2 × 10−11 |
| Βe (MPa) | 690 |
| Qn (L/min) | 40 |
Publisher’s Note: MDPI stays neutral with regard to jurisdictional claims in published maps and institutional affiliations. |
© 2021 by the authors. Licensee MDPI, Basel, Switzerland. This article is an open access article distributed under the terms and conditions of the Creative Commons Attribution (CC BY) license (https://creativecommons.org/licenses/by/4.0/).
Share and Cite
Zhang, Z.; Cong, D.; Yang, Z.; Cai, Y.; Han, J. Studies on Frequency Response Characteristics of High-Speed Railway Train End Relationship Test System with Flexible Bases. Energies 2021, 14, 6147. https://doi.org/10.3390/en14196147
Zhang Z, Cong D, Yang Z, Cai Y, Han J. Studies on Frequency Response Characteristics of High-Speed Railway Train End Relationship Test System with Flexible Bases. Energies. 2021; 14(19):6147. https://doi.org/10.3390/en14196147
Chicago/Turabian StyleZhang, Zhiqiang, Dacheng Cong, Zhidong Yang, Yunfei Cai, and Junwei Han. 2021. "Studies on Frequency Response Characteristics of High-Speed Railway Train End Relationship Test System with Flexible Bases" Energies 14, no. 19: 6147. https://doi.org/10.3390/en14196147
APA StyleZhang, Z., Cong, D., Yang, Z., Cai, Y., & Han, J. (2021). Studies on Frequency Response Characteristics of High-Speed Railway Train End Relationship Test System with Flexible Bases. Energies, 14(19), 6147. https://doi.org/10.3390/en14196147
