Next Article in Journal
Methodology for Management of the Protection System of Smart Power Supply Networks in the Context of Cyberattacks
Next Article in Special Issue
Short-Term Cooperative Operational Scheme of Distribution System with High Hosting Capacity of Renewable-Energy-Based Distributed Generations
Previous Article in Journal
A Comprehensive Review of Lithium-Ion Cell Temperature Estimation Techniques Applicable to Health-Conscious Fast Charging and Smart Battery Management Systems
Previous Article in Special Issue
Enhanced Stability Criteria of Network-Based Load Frequency Control of Power Systems with Time-Varying Delays
 
 
Font Type:
Arial Georgia Verdana
Font Size:
Aa Aa Aa
Line Spacing:
Column Width:
Background:
Article

Single-Machine Frequency Model and Parameter Identification for Inertial Constraints in Unit Commitment

Department of Electronic and Electrical Engineering, Hongik University, Seoul 04066, Korea
*
Author to whom correspondence should be addressed.
Energies 2021, 14(18), 5961; https://doi.org/10.3390/en14185961
Submission received: 30 July 2021 / Revised: 13 September 2021 / Accepted: 15 September 2021 / Published: 20 September 2021
(This article belongs to the Special Issue Advances in Power System Stability and Control)

Abstract

:
In recent years, the need for generation mixes that consider the inertial constraints in unit commitment (UC) has increased because the inertia of these systems has decreased with the increased use of renewable energy. In these circumstances, single-machine models can calculate the minimum frequency and rate of change of frequency (RoCoF) at a high speed in terms of the characteristics of the changes in the generation mix, in order to identify the generation mixes that can satisfy inertial constraints. This study proposed methods to determine the parameters of the reduced frequency response (RFR) model, which is a single-machine model that considers the nonlinearity caused by restrictions on the generator’s output power, in order to apply inertial constraints to UC. The RFR models can include various forms of governor models and consider the nonlinear response characteristics of restrictions on the generator’s output power that change according to the scales of contingencies, system inertia, and changes in load characteristics through these parameters. From the simulations of real systems, it was observed that the parameters determined through the proposed methods achieved considerable accuracy in calculating the minimum frequency and RoCoF with the RFR model.

1. Introduction

In recent years, there has been an increase in the generation of renewable energy that is asynchronously connected to electric power systems. Normally, asynchronous generation sources cannot provide inertia and a primary frequency response (PFR) to a system. The inertia and PFR capacities of a power system decrease when asynchronous generation sources replace flexible generation sources that were previously connected synchronously [1,2,3,4,5,6,7,8].
In electric power systems, the inertia determines the ratio of changes in frequency that is caused by an imbalance in the supply and demand of electricity [9,10]. Power systems with a small inertia exhibit a high frequency change rate for the same supply and demand imbalance. When there is an imbalance between the power supply and demand, the PFRs of an electric power system suppress the frequency changes and help to restore the changed frequency back to the quasi-steady state frequency. Therefore, a decrease in the inertia and PFR capacity of electric power systems leads to an increase in the rate of change of frequency (RoCoF) and a subsequent rise in the maximum frequency or drop in the minimum frequency [1,2,11]. The possibilities of RoCoF and the frequency, which undermine the stability of an electric power system, should be noted beforehand, in order to secure operational stability.
The number of cases that require proactive reviews is increasing significantly ever since the use of renewable energy was regularized. This is mainly due to lowered net loads and diverse generation mixes that have resulted from the increase in renewable energy generation. In power systems with small inertia and limited PFR capacities, as in an isolated power system, it is necessary to secure additional inertia and primary frequency reserves through existing synchronous generators when there is a possibility of a lack of inertia. For this purpose, a unit commitment (UC) must be conducted according to the inertial constraints of the system. In the UC, inertial constraints can include the minimum kinetic energy of the system, minimum available synchronous capacity, and the maximum level of the nonsynchronous penetration of the system [12]; these constraints are ultimately the limits of RoCoF and minimum frequency concerning the contingency [3,6,13]. To implement an optimal generation mix that considers inertial constraints in the UC, the RoCoF and minimum frequency for different generation mixes that appear during the UC must be examined.
There are two major methods for analyzing the system frequency: using a dynamic simulation and solving a differential equation or Laplace algebraic equation. With the dynamic simulation, it is possible to precisely model the components of a power system, such as generators and loads, but in this method, numerous data types need to be entered and the frequency analysis tends to be slow. The method used to solve the equations is referred to as the equivalent-model method because it involves the interpretation of the equivalent model of the power system and its components. The calculations in this method are fast because the frequency can be expressed in numerical terms.
Two equivalent models have been proposed for solving the equations: the average system frequency (ASF) [14] and system frequency response (SFR) models [15]. The ASF model is a multimachine system, wherein the closed-loop system is converted to an open-loop system by replacing the feedback of the frequency deviation that is entered into the governor with an external input signal. Based on the research for open-loop equivalent models such as the ASF, the following models have been studied: the model wherein the generators in the simple first-order system are applied [16,17], the model that considers the nonlinearity of the generator to enhance the prediction accuracy of the minimum frequency [17,18], and the model for hydropower systems [19]. In [3], an open-loop-type equivalent model was applied to the UC as a constraint.
The SFR model is a single-machine model wherein all generators are reduced to a single reheat steam turbine. Most studies associated with the SFR model are mainly related to the under-frequency load shedding (UFLS) scheme [20,21,22]. In addition, some studies were conducted that expanded the SFR model to reflect the heat status of the boiler [4,5], applied the multimachine SFR (MM-SFR) model for the UFLS schemes [23], or implemented the SFR model to calculate the minimum frequency as a constraint in the UC [6].
In [3,6], the minimum frequency was calculated with a multimachine-type model in the UC. It was observed that the multimachine model is more beneficial in calculating the minimum frequency that reflects the changes in the generation mix in the UC. However, the need for a single-machine model, which involves fewer calculations and can easily calculate the minimum frequency, is increasing owing to the increasing constraints that are to be considered in the UC, mainly due to the proliferating adoption of renewable energy.
It is important to determine the specified parameters to ensure that multiple generators are precisely represented in the single-machine model. The aggregated SFR (ASFR) model integrates the MM-SFR model into a single-machine model, wherein the methods for calculating the parameters of a single machine in the MM-SFR model have been studied [24]. This model was also used to calculate the minimum frequency, which is a constraint in the UC [25]. Similar to the SFR model, the ASFR is a single machine model, and it uses the reheat steam turbine model. Thus, it is difficult to integrate a system that involves numerous generators with different governor models [16,19]. Although the probability for low inertia systems that represent the nonlinear characteristics of the generator’s PFR increases with the frequency changes, the ASFR models cannot consider the nonlinearity of turbine-governors [24]. Additionally, the method for determining the parameters of a single machine model using a heuristic algorithm has been studied [26]. This method is suitable for small systems with a constant generation mix, but additional research is required to apply it to a large system in which the generation mix changes.
This paper presents a method for determining the parameters of a single-machine model that considers the nonlinearity resulting from the restrictions on the generator output, for the inertial constraints in the UC. The proposed single-machine model is a reduced frequency response (RFR) model that uses a simple first-order type turbine-governor model to integrate the governor models of gas and hydropower generators. Furthermore, this paper presents methods to calculate the minimum frequency and RoCoF for the RFR model. The proposed methods are especially useful for calculating the minimum frequency and RoCoF when the use of renewable energy increases.
The rest of this paper is organized as follows: In Section 2, the characteristics of the existing and suggested single-machine models are explained. In Section 3, the methods for calculating the minimum frequency and RoCoF using the suggested single-machine model are presented. In Section 4, the methods for calculating the parameters of the single-machine model based on the nonlinear characteristics caused by restrictions on the generator’s power output are proposed. In Section 5, the accuracy of the method for the isolated power systems in Korea, is verified. Finally, Section 6 summarizes the results of this study.

2. Reduced Frequency Response (RFR) Model

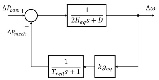
Figure 1 illustrates the RFR model, which is the single-machine model proposed in this study. This model is based on a previously mentioned one wherein the turbine-governor model is replaced with a general, simple first-order system in the low-order ASFR model, [16,26] showing that an equivalent model of diesel and gas turbine models with complex structures can be constructed with the turbine-governor model that is identical to the RFR model. The RFR model can integrate generators with various forms of governor models into a single machine.
The parameters of the RFR model are determined by considering the nonlinearity due to the restrictions on the generator power output. The nonlinearity varies depending on the system inertia, contingency, and the load change characteristics with respect to frequency changes. This study determines whether nonlinearity occurs for each generator by considering the aforementioned factors and proposes methods to determine the parameters of the RFR model. Furthermore, this study suggests methods for determining time constants so that the minimum frequency that is calculated based on the RFR model is the same as the one that is calculated by the system model that is based on a precise turbine-governor model. Section 4 presents the details of the methods used.
Because the low-order ASFR model is different from the turbine-governor model in the RFR model, the minimum frequency and RoCoF are represented by different analytical expressions.
The input Δ P c o n of the RFR model is a disturbance that occurs suddenly in a system. For reviewing inertial constraints, the disturbances refer to the instantaneous changes in electrical power generation or electrical loads due to contingency. The Δ P c o n of the RFR model is expressed using a step function, as shown in Equation (1).
Δ P c o n ( t ) = P c o n u ( t )
The sign of Equation (1) is determined such that Δ P c o n becomes less than 0 ( P c o n < 0 ) in the case of instantaneous generator outage. P c o n is the value per unit of the system base S b a s e . Equation (2) is the Laplace domain representation of Equation (1).
Δ P c o n ( s ) = P c o n s
The frequency deviation Δ ω ( s ) with Equation (2) as its input, as shown in Figure 1, can be expressed as follows:
Δ ω ( s ) = P c o n D + k g e q ( 1 z s + 1 ) ω n 2 s ( s 2 + 2 ζ ω n s + ω n 2 )
where
ω n = D + k g e q 2 H e q T r e d
ζ = 2 H e q + D T r e d 2 2 H e q T r e d ( D + k g e q )
z = 1 T r e d
The forms of responses in Equation (3) vary according to the form of poles (the position of a pole on the s-plane) [27]. If the pole consists of two complex numbers in the form of σ ± j ω , the RFR model has an under-damped response. As a result, oscillation occurs at a frequency based on the RFR model. The frequency of the RFR model differs from the one that is calculated by analyzing the detailed system model with the precise turbine-governor model through dynamic simulation. Figure 2 presents the frequency calculated based on the detailed system model and the RFR model. The frequency calculated by the detailed system model is very similar to that of the real system. Therefore, the difference between the frequencies calculated by the two models in Figure 2 can be regarded as the difference between the frequencies calculated by the real system and the RFR model.
The RFR model calculates the minimum frequency and RoCoF for the inertial constraints in the UC. To calculate these values, the valid frequency observed from the contingency outbreak to the lowest point of the first overshoot is used. The RFR model is valid within the dotted box shown in Figure 2, but the oscillation after the first overshoot, which is shown outside the dotted box, has no impact on the calculation of the minimum frequency and RoCoF.

3. Minimum Frequency and RoCoF Based on RFR Model

Because the form of the turbine-governor model of the RFR model was different from that of the ASFR model, the methods for calculating the minimum frequency and RoCoF were derived considering this difference in the form of the turbine-governor model of both the RFR model and the ASFR model.
If the frequency deviation Δ ω ( t ) can be determined using the RFR model, the minimum frequency and RoCoF can be calculated. The minimum frequency f m i n is a per-unit value, which can be calculated as shown in Equation (4).
f min = f 0 ( 1 + Δ ω ( t min ) )
The time taken to reach the minimum frequency t m i n is the first value when the slope of Δ ω ( t ) becomes zero.
f 0 d Δ ω ( t ) d t | t t min = 0
RoCoF can be defined as the instantaneous rate of change or the average rate of change in frequency, according to the definition. The instantaneous rate of change in frequency is the derivative of f ( t ) with respect to time, and the average rate of change in frequency is calculated as shown in Equation (6).
R o C o F = Δ f Δ t = f 0 ( Δ ω ( Δ t ) Δ ω ( 0 ) ) Δ t
Here, Δ ω ( t ) can be determined by transforming Equation (3). The form of Δ ω ( t ) in a typical second-order system is determined by the damping ratio ζ . In electric power systems, the range of ζ is generally 0 < ζ < 1 . New resources are constantly introduced in these systems owing to an increase in renewable energy. A few examples of such resources are the battery energy storage system (BESS), which provides the required power to a system but has no inertia, and synchronous condensers, which provide inertia but generate no power. The use of these resources can weaken the tendencies of the existing system parameters. In general, when a synchronous generator is input into a system, the system inertia H e q and the gain of the turbine-governor model k g e q increase simultaneously, whereas when a BESS is input, both k g e q and T r e d may change without a change in H e q . When a synchronous condenser is input, only H e q may change. Owing to such changes in parameters, ζ can be a varying value. As a result, Δ ω ( t ) was determined for the entire range of ζ in this current study, which is contrasting to previous studies similar to those in [15].

3.1. Minimum Frequency and RoCoF When ζ = 0

ζ can be calculated as shown in Equation (3). The values of the parameters in Equation (3) are H e q > 0 , k g e q > 0 , T r e d > 0 , D 0 [10]. Thus, the value of ζ is always greater than zero, and cannot be equal to zero.
ζ = 2 H e q + D T r e d 2 2 H e q T r e d ( D + k g e q ) > 0

3.2. Minimum Frequency and RoCoF When 0 < ζ < 1

If the range of ζ is 0 < ζ < 1 , the denominator of Equation (3) has two different complex roots. If Equation (3) is expressed in the time domain, Δ ω ( t ) can be expressed as follows:
Δ ω ( t ) = P c o n D + k g e q [ 1 α ( cos ( ω d t ϕ ) ω n z sin ω d t ) ]
where
α = e ζ ω n t 1 ζ 2
ω d = ω n 1 ζ 2
tan ϕ = ζ 1 ζ 2
To calculate the minimum frequency using Equation (8), the time required to reach the minimum frequency t m i n is needed. t m i n can be calculated as shown in Equation (5). t m i n is t when the derivative of Δ ω ( t ) becomes zero for the first time.
t min = π θ ω d
where
tan θ = 1 z ω n 1 ζ 2 1 1 z ω n ζ
When the range of ζ is 0 < ζ < 1 , the maximum frequency deviation Δ ω ( t m i n ) is as follows:
Δ ω ( t min ) = P c o n D + k g e q [ 1 + e ζ 1 ζ 2 ( π θ ) 1 2 ζ ω n z + ω n 2 z 2 ]
The minimum frequency can be calculated by substituting Equation (4) in Equation (10). The RoCoF can be calculated by substituting Δ ω ( Δ t ) and Δ ω ( 0 ) in Equation (6), which are calculated using Equation (8).

3.3. Minimum Frequency and RoCoF When ζ = 1

When ζ = 1 , the denominator of Equation (3) has multiple roots. When ζ = 1 , Δ ω ( t ) is calculated as follows:
Δ ω ( t ) = P c o n D + k g e q [ 1 e ω n t ( 1 + ω n t + ω n 2 z t ) ]
The RFR model is a second-order system with the zero, and overshoots can occur in the system response even when ζ = 1 . The method of the minimum frequency calculation changes depending on whether overshoot occurs in the response of the system. The time required to reach the minimum frequency t m i n is calculated as follows:
t min = 1 ω n z
If ω n > z , then t m i n > 0 , an overshoot occurs in the frequency response and Δ ω ( t ) has the maximum frequency deviation Δ ω ( t m i n ) at t m i n .
Δ ω ( t min ) = P c o n D + k g e q [ 1 + e ω n ω n z ( ω n z z ) ]
The minimum frequency when ω n > z can be calculated using Equations (13) and (4). By contrast, when ω n z , there are no oscillations in the frequency responses. In such cases, the maximum frequency deviation Δ ω ( t m i n ) is Δ ω ( t ) when t is infinity.
Δ ω ( t min ) = lim t Δ ω ( t ) = P c o n D + k g e q
The minimum frequency can be calculated using Equations (13), (14), and (4). RoCoF can be obtained using Equations (11) and (6).

3.4. Minimum Frequency and RoCoF When ζ > 1

When ζ > 1 , the denominator in Equation (3) has two different real roots and Δ ω ( t ) can be calculated as follows:
Δ ω ( t ) = P c o n D + k g e q [ 1 + e a 1 t ( b 1 c ) + e a 2 t ( b 2 + c ) ]
where
a 1 = ω n ( ζ + ζ 2 1 )
a 2 = ω n ( ζ ζ 2 1 )
b 1 = ζ ζ 2 1 2 ζ 2 1
b 2 = ζ ζ 2 1 2 ζ 2 1
c = 1 z ω n 2 ζ 2 1
The RFR model, which is a second-order system with a zero value, can have an overshoot in its frequency responses even in the case of ζ > 1 , as in the case of ζ = 1 . The method of the minimum frequency calculation changes depending on whether overshoot occurs in the response of the system. In the case of ζ > 1 , the time to reach the minimum frequency t m i n can be calculated as follows:
t min = 1 2 ω n ζ 2 1 ln ( z + a 1 z + a 2 )
When t m i n > 0 , then an overshoot occurs in the frequency response. The condition z < ω n ( ζ ζ 2 1 ) must be satisfied such that t m i n > 0 . In this case, the maximum frequency deviation Δ ω ( t m i n ) is calculated as follows:
Δ ω ( t min ) = P c o n D + k g e q [ 1 + e d 1 ( b 1 c ) + e d 2 ( b 2 + c ) ]
where
d 1 = ( ζ 2 ζ 2 1 1 2 ) ln ( z + a 1 z + a 2 )
d 2 = ( ζ 2 ζ 2 1 + 1 2 ) ln ( z + a 1 z + a 2 )
When z < ω n ( ζ ζ 2 1 ) , the minimum frequency can be obtained using Equations (17) and (4). When z ω n ( ζ ζ 2 1 ) , the minimum frequency is reached when t is infinity. In this case, the maximum frequency deviation Δ ω ( t m i n ) is expressed as follows:
Δ ω ( t min ) = P c o n D + k g e q
When ζ > 1 , the minimum frequency can be calculated using Equations (17) or (18) and Equation (4), depending on the conditions. The RoCoF can be calculated using Equations (15) and (6).

4. Parameter Identification of RFR Model

The turbine-governor of the RFR model shows the PFR characteristics of the entire system, and it mainly determines the accuracy of the minimum frequency and RoCoF, which are calculated based on the RFR model.
In general, there are restrictions on the maximum and minimum power output according to the characteristics of the equipment [17,28]. The power output is restricted such that the sum of the power output before a contingency and the changes in the power output after a contingency do not exceed the maximum and minimum capacity of the generator power output, respectively. Because the generators that have reached the limits of power output cannot generate power output exceeding their limits, the PFR characteristics of the entire system are changed, which subsequently affect the minimum frequency and RoCoF. In power systems with low-inertia, the number of generators that show nonlinearity due to power output restrictions can increase because there are greater frequency changes caused by the contingency. Therefore, the accuracy of the RFR model can be improved if the parameters are determined by considering the nonlinearity characteristics caused by the restrictions on the generator power output. With regard to these factors, this section suggests methods to determine the gain of the turbine-governor model k g e q and the time constant T r e d by considering the restrictions on the generator’s power output.
The suggested methods first calculate k g e q by determining whether each generator shows nonlinearity due to the restrictions on the power output. Because the nonlinearity resulting from restrictions on the power output of a generator is related to the system inertia, contingency, and characteristics of load changes in response to frequency changes, k g e q is redetermined whenever there is a change in generation mix. By contrast, T r e d is too complex to integrate whenever the generation mix of the system changes, and it also increases the number of calculations. Accordingly, the values that are determined beforehand are applied to T r e d to represent the system characteristics. T r e d is used for calculating the minimum frequency in the UC, and it is determined by using the T r e d that is calculated in a specific standard system situation. A system that can reflect specific situations of the system, such as times of the maximum and minimum loads, is chosen as the specific standard system situation. Thus, T r e d is calculated to attain the same minimum frequency that is obtained in the detailed system model applying nonlinear turbine-governor models for all specific standard systems.

4.1. Determination of k g e q

The term k g e q represents the gain of the turbine-governor model, which can be obtained from the gains of each generator that is in operation in the system.
k g e q = i N g ( k g i × M b a s e , i ) S b a s e
The gain of each generator is generally determined by droop, and the gain of the generator is the reciprocal of the droop. In typical turbine-governor models, such as GAST, TGOV1, and HYGOV, which are used in electric power systems [29,30], the mechanical damping factors of the turbine are considered [28]. These factors can affect the gain of the turbine-governor model. However, their impact is negligible because it is smaller than the generator gain that is determined by the droop, and its impact almost diminishes in the process of making all the generators equivalent to one.
Here, k g e q , which is calculated using Equation (19), does not reflect nonlinearity. To consider nonlinearity, a generator with nonlinearity must be identified by examining all generators.
The magnitude of changes Δ P m , i in the output power in each generator is determined only by the generator’s gain k g i and the steady-state frequency deviation Δ ω s s , once the frequency reaches the steady state (quasi-steady state) after an instantaneous disturbance that is caused due to a contingency.
Δ P m , i = k g i × Δ ω s s × M b a s e , i
Here, Δ ω s s is calculated according to the final value theorem [10,31]; Δ ω s s is always calculated as shown in Equation (21), regardless of ζ in Equation (3).
Δ ω s s = lim s 0 s Δ ω ( s ) = P c o n D + k g e q
The maximum generation capacity of each generator P max , i , minimum generation capacity P min , i , and generation capacity before the contingency P g 0 , i can be obtained from the UC. In addition, if Δ P m , i is known, the generator that operates beyond the limits of the maximum and minimum generation power output at the steady-state frequency can be identified. This generator exhibits nonlinearity owing to the restrictions in generator output while satisfying the following conditions:
P max , i < P g 0 , i + Δ P m , i
P min , i > P g 0 , i + Δ P m , i
The output power of the generator must not exceed the specified power-output limits. Generators that correspond to Equations (22) and (23) must be operated at P max , i and P min , i . Therefore, a new gain k g i n e w , which ensures that the output power reaches the output limits at the steady state frequency, was calculated for the respective generators.
k g i n e w = P max , i P g 0 , i | Δ ω s s |
k g i n e w = P g 0 , i P min , i | Δ ω s s |
If the condition in Equation (22) is satisfied, k g i n e w is calculated as shown in Equation (24); if the condition in Equation (23) is satisfied, k g i n e w is calculated as shown in Equation (25). The k g i n e w of a generator that does not satisfy either of these conditions showing linear characteristics is as follows:
k g i n e w = k g i
The k g e q can be obtained again by applying k g i n e w to Equation (19).
k g e q ( n ) = i N g ( k g i n e w × M b a s e , i ) S b a s e
The k g e q ( 1 ) reflects nonlinearity due to power output restrictions shown at the steady-state frequency. This is better than k g e q ( 0 ) , which is the first calculated value of k g e q . However, if the value of k g e q changes, Δ P m , i also changes according to Equations (21) and (20). Thus, it must be reexamined whether the output restriction of each generator is satisfied. More specifically, k g e q ( n ) must be calculated by continually repeating the aforementioned procedure, as shown in Figure 3. The conditions that are required to end the repetition are as follows:
| P max , i ( P g 0 , i + Δ P m , i ) | < ε max
| P min , i ( P g 0 , i + Δ P m , i ) | < ε min
.
Only some generators are operated at their maximum or minimum output power limits due to economic or other constraints. The nonlinearity caused by output restrictions is mainly reflected in these generators because most generators have already secured sufficient primary frequency reserves in compliance with the market rules. Accordingly, k g e q can be calculated even through a small number of repetitions.
At steady-state frequencies, Δ P m , i is only determined by k g i , M b a s e , i , P c o n , and D without the need to consider various parameters of the complex turbine-governor model. There was a limitation in reflecting the response characteristics of generators according to the state of the system because Δ ω in the form of a step function was used as the input [16,17] while constructing an equivalent turbine-governor model. By contrast, Δ ω s s can reflect the nonlinear characteristics of generators depending on the system status because Δ ω s s changes according to contingency, load characteristics, or generation mix.
As explained above, k g e q can be calculated based on the steady-state frequency. However, the minimum frequency and RoCoF generally appeared at the transient state frequency. The time constants and gains affect the responses of the turbine-governor model in the transient state. For the RFR model to consider nonlinearity according to the generator output restrictions, it is also important to determine a suitable T r e d .

4.2. Determination of T r e d

T r e d must show the PFR transient characteristics of the entire system wherein all of the PFR characteristics shown that are exhibited by the generators at transient state frequencies are integrated. Therefore, T r e d should be determined by reflecting nonlinear characteristics due to the power output restrictions of each generator, and it should compensate for the modeling errors that occur in the process of integration into a simple form of a turbine-governor model.
Previous studies have suggested several methods to determine the time constants while simplifying a complex turbine-governor model into a simple equivalent form of the model. In [16,17], the equivalent time constants for the individual turbine-governor model were calculated. These time constants were estimated using the minimum squared error technique with respect to 1% of the frequency step changes. This estimation consists of a few errors because the real transient-state frequency does not change in a step function form. Moreover, a separate integration method is needed to determine a single time constant that is applicable to a single-machine model because this estimation method is designed to be applied to a multimachine model. The authors of [24] presented a method for determining the time constants that can be used for a single-machine model by integrating the generators of the MM-SFR model. This method determines the equivalent time constants by focusing on the time constants of the generators with relatively high rated power, and these generators are sensitive to frequency changes. However, this method is only applicable if the turbine-governor models of all generators are expressed in the form of a reheat steam turbine model, and it cannot consider the nonlinearity of the generators. Additionally, a few constants that slightly affected the response of the model while determining the time constants of the low-order ASFR model in the full-order ASFR model were ignored. Because it was confirmed that a few errors existed in the minimum frequency calculated based on the low-order ASFR model in this method [24], there is a need for a new method to calculate time constants that can fix modeling errors that are observed while simplifying the model. In [26], the authors presented a method for deriving the parameters of a single-machine model including a time constant and a system inertia by using the particle swarm optimization (PSO) method, which is a heuristic algorithm. This method optimizes the parameters of a single-machine model by comparing the output of a single-machine model with the frequency data calculated in detailed system models. Therefore, this method is suitable for small systems with a constant generation mix, but additional research is required to apply it to a system in which the generation mix changes. In addition, because this method estimates the system inertia by frequency data, it is not suitable to be applied to a model to analyze the frequency characteristics according to the generation mix change in order to consider the inertial constraints in the UC.
In the RFR model, the minimum frequency for contingencies must be deduced in the UC. As shown in Figure 2, T r e d need not be determined to minimize the frequency errors at all times; instead, finding T r e d that minimizes frequency errors at the minimum frequency can be used to overcome the limitations in the low-order model.
T r e d varies according to the contingency, load characteristics, and generation mix of the system. An ideal situation would be if suitable T r e d could be determined whenever the generation mix is changed. However, taking the inputs of various precise turbine-governor models and their parameters and determining T r e d with respect to the system situation and generation mix every time is difficult and complicated. In practical applications, T r e d is based on the characteristics of the systems that exist within a specific scope. This is because contingencies are designated in advance for reviews according to the specified rules, and the generator groups, which are mainly operated based on economical logics, are similar to each other. Therefore, this paper presents a method for determining T r e d that represents the characteristics of the system without having to determine T r e d every time the generation mix is changed.
The T r e d that represents the characteristics of the system is determined based on the time constant that is calculated among the standard systems. Such systems can reflect special circumstances, such as the time points for the maximum and minimum loads. A higher number of standard systems yields a more accurate value of T r e d that represents the system characteristics.

4.2.1. Determination of Time Constants in Standard System

The time constants must be determined such that the minimum frequency that is calculated based on the RFR model in the standard system is the same as the one that is calculated based on the detailed system model in the standard system. The minimum frequency that is calculated based on the detailed system model is the result of the nonlinearity caused by the power output restrictions of the generator, because the detailed system model uses a precisely modeled turbine-governor model to exhibit nonlinear characteristics. The time constant that makes the minimum frequency of the detailed system model and that of the RFR model identical reflects the nonlinearity and modeling errors. Moreover, the time constant that is determined with this method helps minimize the error at the minimum frequency.
This paper presents a method to inversely calculate the time constants using the minimum frequency of the detailed system in a standard system. In Section 3, the maximum frequency deviation Δ ω ( t m i n ) based on the range of ζ is derived. The Δ ω ( t m i n ) has the following relationship based on Equation (4):
Δ ω ( t min ) = f min f 0 1
The formula for Δ ω ( t m i n ) represents the relationship between f m i n and the variables of the RFR model, P c o n , D , H e q , k g e q , and T r e d . Therefore, if f m i n , P c o n , D , H e q , and k g e q are known, the formula for Δ ω ( t m i n ) can be expressed as an equation for T r e d .
The f m i n of the standard system can be obtained through the dynamic simulation of the detailed system model, and the f m i n of an actual incident that is similar to the contingency can be used when necessary. For P c o n and D , the values that were applied to the dynamic simulation were used. The k g e q is determined through the method proposed in this study, and H e q can be calculated as follows:
H e q = i N q ( H i × M b a s e , i ) S b a s e
The equation for T r e d can be solved using a numerical analysis. Among the various methods for numerical analysis, the one that does not use the derivative of T r e d is recommended (because the equation for T r e d is complicated) even though it has a low convergence speed. The minimum frequency values calculated based on the detailed system and the RFR models are identical when a contingency occurs in the standard system, and T r e d is calculated accordingly.
The value of T r e d for each standard system can be calculated using this method, and this does not affect the calculation time and amount of the UC because the T r e d for the standard systems is calculated externally.

4.2.2. Determination of the Representative T r e d

The T r e d that is calculated using the suggested method is the time constant that is suitable for each standard system. Because this method calculates T r e d using the minimum frequency of the detailed system model, it is impossible to calculate a suitable T r e d value, with respect to the system situation and generation mix every time. However, the error in the minimum frequency that is calculated based on the RFR model can increase as the characteristics of the system to be reviewed (such as demands, generation mix, or the scale of contingency) are different from those of the standard system when T r e d is calculated based on the standard system regardless of such changes. Therefore, a reasonable T r e d needs to be calculated such that it collectively represents various system characteristics.
In this study, the representative T r e d was calculated according to the contingency scale and the level of inertia. Equations (10), (13), (14), (17), and (18) present the maximum frequency deviation Δ ω ( t m i n ) calculated based on the RFR model according to the size and conditions of ζ . Here, Δ ω ( t m i n ) is always directly proportional to P c o n regardless of the size and conditions of ζ . Accordingly, if each representative T r e d is determined according to P c o n , the error in minimum frequency that is calculated based on the RFR model can be reduced. The inertia of a system determines the extent to which the frequency changes for a constant P c o n . It is possible to determine more reasonably if the representative T r e d is determined according to the level of system inertia. Based on the differentiation of the representative T r e d , the scale of contingency can be given as a characteristic value according to relevant regulations, and the level of inertia is given within a specific range because inertia varies according to the generation mix.
The average of the time constants calculated in the standard system that belong to a specific classification is used as the representative T r e d for that specific classification. Because the standard system reflects special situations, it is likely that the time constants in most systems are within the range of the time constants that are calculated in the standard system. With a higher number of standard systems, a more suitable value of the representative T r e d can be calculated.
There are a few errors in the RoCoF that is calculated according to the RFR model, because T r e d is calculated according to the minimum frequency of the standard system. To minimize the errors in RoCoF calculation, T r e d can be determined according to the frequency at the time of calculating the RoCoF f ( Δ t ) .

5. Case Study

To verify the accuracy of the suggested methods for determining the parameters, case studies were conducted on the single-model isolated power systems in Korea. The accuracy of the methods for determining the parameters was verified through a performance analysis of the calculations of minimum frequency and RoCoF of the RFR model that used the parameters determined by the suggested method. When the same contingencies occurred, the minimum frequency and RoCoF that were calculated using the detailed system model and the RFR model were compared.

5.1. Explanation of Various Scenarios

Five standard system situations were selected to verify the parameter determination methods. The case studies considered the outage contingencies of the largest 1 unit and 2 units. Because the largest units were 1400 MW nuclear units, the simulations were performed for 1400 MW and 2800 MW generation outages in each case. The system situations for each case were as follows:

5.1.1. Case 1

It is an actual system at the time of the lowest load on a weekday, and the load is approximately 64,356 MW. No power is supplied through renewable energy sources. Of the 165 generators in operation, 112 are based on the turbine-governor models. The turbine-governor models consist of 68 IEEEG1 models [28], 18 HYGOV models [28], and 26 GAST models [28].

5.1.2. Case 2

It is an actual system at the time of a medium load on a weekday, and the load is approximately 76,311 MW. No power is supplied through renewable energy sources. Of the 206 generators in operation, 143 are based on the turbine-governor models. The turbine-governor models consist of 73 IEEEG1, 25 HYGOV, and 45 GAST models.

5.1.3. Case 3

It is an actual system at the time of the maximum load on a weekday, and the load is approximately 87,615 MW. No power is supplied through renewable energy sources. Of the 255 generators in operation, 175 are based on the turbine-governor models. The turbine-governor models consist of 80 IEEEG1, 26 HYGOV, and 69 GAST models.

5.1.4. Case 4

It is an estimated system at the time when there is an increased use of renewable energy, and the generation mix is attained through a general UC that has no inertial constraints. It is performed on a weekend with a low net load, and the load is approximately 68,061 MW. The system inertia is small because approximately 43% of the total load is supplied through renewable energy sources. There are no frequency stability issues even when the inertia of the system is lowered. Of the 83 synchronous generators in operation, 65 are based on the turbine-governor models. Forty generators have IEEEG1 models, and the remaining 25 generators have HYGOV models.

5.1.5. Case 5

It is an estimated system at the time when there is an increased use of renewable energy. However, unlike Case 4, an excessive drop in the minimum frequency is expected due to the lowered inertia. The load is approximately 61,052 MW, and approximately 48% of the total load is supplied through renewable energy sources. Of the 65 synchronous generators in operation, 47 are based on turbine-governor models, 22 generators have IEEEG1 models, and the remaining 25 generators have HYGOV models.

5.2. Determination of Various Parameters of RFR Model

The parameters of the RFR model were determined for all scenarios by using the methods described in Section 4. ε m a x was set to 0.01 MW to determine k g e q . T r e d was calculated using the bisection method, one of the numerical analysis methods, and the termination condition of this method was set as 10 10 .
The determined parameters are shown in Table 1. The scenarios were classified according to the scale of each contingency P c o n in each case. The system inertia H e q and gain k g e q of the turbine-governor model were calculated using the proposed method. The values for P c o n , H e q , and k g e q were expressed in terms of per-unit values for the system base S b a s e . The same value was assigned for the load damping constant D in all scenarios, but it varied according to the system loads because their bases were transformed into S b a s e .
The minimum frequency f m i n was calculated through a dynamic simulation of the detailed system model according to the system situations in each scenario. The T r e d that allows the same f m i n to be calculated even in the RFR model was computed. For the representative time constants that were used to calculate the minimum frequency and RoCoF in the RFR model, T r e d , m , which is the arithmetic mean of T r e d , was used according to the size of P c o n and the level of inertia. The level of inertia was divided based on the value of H e q , so that the systems were differentiated depending on whether renewable energy was generated. From this value of H e q , the level of inertia was 3.
The parameters of the RFR model showed the system characteristics for each case. The higher the number of generators in operation, the greater were the values of H e q and k g e q . If the number of tripped generators increased, H e q decreased, and a subsequent decrease in k g e q was observed when the number of generators that exhibited nonlinear characteristics owing to the restrictions on their power output increased. The higher the number of generators in operation was and the faster the response speed was, the smaller the T r e d that was calculated based on the standard systems.

5.3. Comparison of Minimum Frequency

The minimum frequency calculated through the dynamic simulation of the detailed system model and the minimum frequency calculated based on the RFR model for each scenario were compared. The results of the comparison revealed that the maximum absolute deviation was 0.0393 Hz and the maximum percent error was 0.0661%. It was confirmed that the level of accuracy of the minimum frequency calculation through the RFR model was very reasonable in all scenarios. The calculation results are shown in Table 2.
The accuracy of the minimum frequency calculation through the RFR model was compared with those of the methods proposed in previous studies. The accuracies of the existing single-machine models were difficult to directly compare with that of the RFR model due to the uncertainty of the parameter estimation method. However, some studies that have proposed methods based on the multimachine model provided minimum frequency data that can help determine the accuracy, as shown in Table 2 [16,17,18]. The accuracy calculated using this data was compared to the accuracy of the minimum frequency calculation through the RFR model. In [16,17,18], the average absolute deviation of the minimum frequency was 0.0314 Hz and the average percent error was 0.0635%. Although it is an indirect comparison, the accuracy of the minimum frequency calculation through the RFR model was confirmed to be sufficiently reasonable, and the calculation accuracy of the RFR model, which is a single-machine model, was at the level of the calculation accuracy of the multimachine models.
The calculation errors in the minimum frequency of the RFR model increased with the difference between the T r e d calculated in a standard system situation and the representative time constant T r e d , m . This study differentiated T r e d , m solely based on the contingency scale and the level of inertia. The level of inertia was simply divided into two intervals with respect to H e q = 3 in the case studies; a more accurate minimum frequency will be obtained if the level of inertia is subdivided after acquiring more standard systems. Similarly, if T r e d , m is differentiated according to the load level of a system or the proportion of renewable energy, the accuracy of the RFR model can be enhanced. The suggested method for determining representative time constants can be potentially expanded to enhance the accuracy of the system by adding some criteria for differentiating T r e d , m that suit the characteristics of the systems in the areas under investigation.

5.4. Comparison of RoCoF

The RoCoF that was calculated through the dynamic simulation of the detailed system model was compared to the one that was calculated based on the RFR model for all scenarios. The comparison result showed that the maximum absolute deviation of the average RoCoF based on 0.5 s was 0.0014 Hz/s, and the maximum percent error was 0.8846%. The maximum absolute deviation of the average RoCoF based on 1.0 s was 0.0072 Hz/s, and the maximum percent error was 4.9093%. It was confirmed that the accuracy of the RoCoF that was calculated based on the RFR model was sufficient for practical applications in all scenarios because the scale of the deviation was small. The calculation results of the average RoCoF based on 0.5 s are shown in Table 3, and the calculation results of the average RoCoF based on 1.0 s are shown in Table 4.
As for the accuracy of the RoCoF calculation, the shorter the time from the point when a contingency occurred to the point of the RoCoF calculation, the higher the accuracy, and the smaller the size of the contingency, the higher the accuracy. The changes in the frequency are suppressed, and the frequency is recovered through the PFR of the generator even when the frequency changes due to a contingency. The changes in the PFR during the time when the scale of Δ ω increases constantly is mainly determined by T r e d , m , which is the turbine-governor model. The errors occur at the time of calculating the RoCoF because T r e d and T r e d , m are calculated based on the minimum frequency. Therefore, the calculation error of the RoCoF increases with the scale of the PFR because Δ t is extended or the scale of contingency increases (i.e., from 1400 MW for nuclear unit 1 outage to 2800 MW for nuclear unit 2 outage). The accuracy of the RoCoF calculations can be improved if T r e d and T r e d , m , which are based on the frequency at Δ t , are used after they are separately determined.

6. Conclusions

This study proposed a method for determining the parameters of the RFR model, which is a single-machine model that considers the nonlinearity due to the restrictions on the generator’s power output in order to apply the methods to inertial constraints in the UC. This study also showed that the RFR model can incorporate the governor models of coal, gas, and hydropower generators through case studies, and it confirmed that the parameters determined according to the nonlinearity yield high accuracy in the minimum frequency and RoCoF calculations in the RFR model.
The parameters of the RFR model can consider the nonlinear response characteristics that slightly vary according to the changes in the scale of contingency, system inertia, and load damping constants, because of the gain of the turbine-governor model. This helps to deduce the generation mix through the UC, which is based on the inertial constraints in systems that involve a high proportion of renewable energy generation. In particular, the burden on the UC software can be minimized because only inertia constants, governor gains, and machine bases of each generator are required as the input to use the RFR model in the UC. Moreover, this method uses the average time constant as the representative time constant according to the contingency scale and the level of inertia of the system, and it can also achieve considerable accuracy. If the RFR model requires a higher accuracy, the proposed method for determining time constants can be expanded so that they can set up representative time constants. These parameters can be subdivided based on the criteria considering the contingency scale as well as the characteristics of the power system and generator.
When the RFR model is applied to the inertial constraints in the UC, it is possible to identify generation mixes that do not exceed the limits of minimum frequency and RoCoF. The generation mixes identified in this manner can secure sufficient system inertia to maintain the frequency stability of the system. Therefore, further studies on the methods for effectively applying the RFR model to the inertial constraints in the UC are under way.
Similar to other equivalent models, the RFR model is intended for use in traditional generators. Resources with fast frequency responses, such as battery energy storage systems or variable speed pumped storage systems, whose characteristics are different from those of the existing synchronous generators due to an increase in renewable energy, may be integrated into the systems. Therefore, further studies on the single-machine model and its parameters for the system with fast frequency responses are required. The RFR model is expected to further improve through continuous research, and thus contribute significantly to the overall planning and operation of systems with the increased use of renewable energy.

Author Contributions

Conceptualization, S.-E.K. and Y.-H.C.; methodology, S.-E.K.; supervision, Y.-H.C.; writing—original draft preparation, S.-E.K. All authors have read and agreed to the published version of the manuscript.

Funding

This work was supported by the Korea Institute of Energy Technology Evaluation and Planning (KETEP) and the Ministry of Trade, Industry and Energy (MOTIE) of the Republic of Korea (No. 2019371010006B).

Conflicts of Interest

The authors declare no conflict of interest.

Nomenclature

Δ P c o n Instantaneous contingency function.
P c o n Change in instantaneous generation or load due to contingency.
S b a s e System base.
Δ ω Frequency deviation.
D Load damping constant.
k g e q Gain of turbine-governor model.
H e q System inertia.
T r e d Time constant of turbine-governor model.
f m i n System minimum frequency.
f 0 System nominal frequency.
T m i n Time to reach minimum frequency.
N g Number of synchronous operating generators connected to a system.
M b a s e , i Machine base of generator i.
Δ P m , i Amount of change in output power of generator i.
k g i Gain of turbine-governor model of generator i.
Δ ω s s Steady state frequency deviation.
P m a x , i Maximum output power of generator i.
P m i n , i Minimum output power of generator i.
P g 0 , i Output power of generator i before contingency.
k g i n e w Gain of turbine-governor model considering output power restriction on generator i.
ε m a x Deviation tolerance for determining whether conditions for restricting maximum output power are satisfied.
ε m i n Deviation tolerance for determining whether conditions for restricting minimum output power are satisfied.
T r e d , m Representative time constant, which is the arithmetic mean of T r e d .
R o C o F 0.5 Average RoCoF based on 0.5 s.
R o C o F 1.0 Average RoCoF based on 1.0 s.

References

  1. Kerdphol, T.; Rahman, F.S.; Watanabe, M.; Mitani, Y.; Turschner, D.; Beck, H. Enhanced virtual inertia control based on derivative technique to emulate simultaneous inertia and damping properties for microgrid frequency regulation. IEEE Access 2019, 7, 14422–14433. [Google Scholar] [CrossRef]
  2. Chamorro, H.R.; Sevilla, F.R.S.; Gonzalez-Longatt, F.; Rouzbehi, K.; Chavez, H.; Sood, V.K. Innovative primary frequency control in low-inertia power systems based on wide-area RoCoF sharing. IET Energy Syst. Integr. 2020, 2, 151–160. [Google Scholar] [CrossRef]
  3. Ye, J.; Lin, T.; Bi, R.; Chen, R.; Xu, X. Unit commitment in isolated grid considering dynamic frequency constraint. In Proceedings of the IEEE Power and Energy Society General Meeting (PESGM), Boston, MA, USA, 17–21 July 2016; pp. 1–5. [Google Scholar]
  4. Cao, Y.; Zhang, H.; Zhang, Y.; Xie, Y.; Ma, C. Extending SFR model to incorporate the influence of thermal states on primary frequency response. IET Gener. Transm. Distrib. 2020, 14, 4069–4078. [Google Scholar] [CrossRef]
  5. Liu, L.; Li, W.; Shen, J.; Jin, C.; Wen, K. Probabilistic assessment of β for thermal unit using point estimate method adopted to a low-order primary frequency response model. IEEE Trans. Power Syst. 2019, 34, 1931–1941. [Google Scholar] [CrossRef]
  6. Ahmadi, H.; Ghasemi, H. Security-constrained unit commitment with linearized system frequency limit constraints. IEEE Trans. Power Syst. 2014, 29, 1536–1545. [Google Scholar] [CrossRef]
  7. Park, M.S.; Chun, Y.H.; Lee, Y.S. Estimation of renewable energy volatility and required adjustable speed pumped storage power generator capacity considering frequency stability in korean power system. J. Electr. Eng. Technol. 2019, 14, 1109–1115. [Google Scholar] [CrossRef]
  8. Zhang, W.; Yan, X. Equivalence analysis of virtual synchronous machines and frequency-droops for inertia emulation in power systems with converter-interfaced renewables. J. Electr. Eng. Technol. 2020, 15, 1167–1175. [Google Scholar] [CrossRef]
  9. Tielens, P.; Hertem, D.V. The relevance of inertia in power systems. Renew. Sustain. Energy Rev. 2016, 55, 999–1009. [Google Scholar] [CrossRef]
  10. Kundur, P. Power System Stability and Control; McGraw-Hill: New York, NY, USA, 1994. [Google Scholar]
  11. Nedd, M.; Browell, J.; Bell, K.; Booth, C. Containing a credible loss to within frequency stability limits in a low-inertia GB power system. IEEE Trans. Ind. Appl. 2020, 56, 1031–1039. [Google Scholar] [CrossRef]
  12. Mosca, C.; Bompard, E.; Chicco, G.; Aluisio, B.; Migliori, M.; Vergine, C.; Cuccia, P. Technical and economic impact of the inertia constraints on power plant unit commitment. IEEE Open Access J. Power Energy 2020, 7, 441–452. [Google Scholar] [CrossRef]
  13. Sokoler, L.E.; Vinter, P.; Bærentsen, R.; Edlund, K.; Jørgensen, J.B. Contingency-constrained unit commitment in meshed isolated power systems. IEEE Trans. Power Syst. 2016, 31, 3516–3526. [Google Scholar] [CrossRef]
  14. Chan, M.L.; Dunlop, R.D.; Schweppe, F. Dynamic equivalents for average system frequency behavior following major disturbances. IEEE Trans. Power App. Syst. 1972, PAS-91, 1637–1642. [Google Scholar] [CrossRef]
  15. Anderson, P.M.; Mirheydar, M. A low-order system frequency response model. IEEE Trans. Power Syst. 1990, 5, 720–729. [Google Scholar] [CrossRef] [Green Version]
  16. Egido, I.; Fernandez-Bernal, F.; Centeno, P.; Rouco, L. Maximum frequency deviation calculation in small isolated power systems. IEEE Trans. Power Syst. 2009, 24, 1731–1738. [Google Scholar] [CrossRef]
  17. Fan, C.; Wang, X.; Taylor, G.; Teng, Y. A novel amplitude-constrained algorithm for minimum frequency prediction. In Proceedings of the IEEE Power and Energy Society General Meeting (PESGM), Portland, OR, USA, 5–10 August 2018; pp. 1–5. [Google Scholar]
  18. Chengwei, F.; Xiaoru, W.; Yufei, T.; Wencheng, W. Minimum frequency estimation of power system considering governor deadbands. IET Gener. Transm. Distrib. 2017, 11, 3814–3822. [Google Scholar] [CrossRef]
  19. Teng, Y.; Fan, C.; Zhang, Z. Minimum frequency predictive model for remote isolated power system of hydro generation. In Proceedings of the IEEE/IAS Industrial and Commercial Power System Asia (I&CPS Asia), Weihai, China, 13–15 July 2020; pp. 875–880. [Google Scholar]
  20. Anderson, P.M.; Mirheydar, M. An adaptive method for setting underfrequency load shedding relays. IEEE Trans. Power Syst. 1992, 7, 647–655. [Google Scholar] [CrossRef]
  21. Alhelou, H.H.; Golshan, M.E.H.; Zamani, R.; Moghaddam, M.P.; Njenda, T.C.; Siano, P.; Marzband, M. An improved UFLS scheme based on estimated minimum frequency and power deficit. In Proceedings of the IEEE Milan PowerTech, Milan, Italy, 23–27 June 2019; pp. 1–6. [Google Scholar]
  22. Liao, W.; Liu, D. Method of emergency degree evaluation of power grid frequency response. In Proceedings of the Renewable Power Generation Conference (RPG), Shanghai, China, 24–25 October 2019; pp. 1–8. [Google Scholar]
  23. Aik, D.L.H. A general-order system frequency response model incorporating load shedding: Analytic modeling and applications. IEEE Trans. Power Syst. 2006, 21, 709–717. [Google Scholar] [CrossRef]
  24. Shi, Q.; Li, F.; Cui, H. Analytical method to aggregate multi-machine SFR model with applications in power system dynamic studies. IEEE Trans. Power Syst. 2018, 33, 6355–6367. [Google Scholar] [CrossRef]
  25. Zhang, Z.; Du, E.; Teng, F.; Zhang, N.; Kang, C. Modeling frequency dynamics in unit commitment with a high share of renewable energy. IEEE Trans. Power Syst. 2020, 35, 4383–4395. [Google Scholar] [CrossRef]
  26. Yang, D.; Liu, S.; Cai, G. Optimal system frequency response model and UFLS schemes for a small receiving-end power system after islanding. Appl. Sci. 2017, 7, 468. [Google Scholar] [CrossRef] [Green Version]
  27. Nise, N.S. Control. System Engineering, 7th ed.; John Wiley & Sons: Hoboken, NJ, USA, 2015. [Google Scholar]
  28. Siemens-PTI. PSS/E 33.3 Model Library; Siemens Power Technologies International: Schenectady, NY, USA, 2012. [Google Scholar]
  29. North American Electric Reliability Corporation (NERC). Reliability Guideline-Application Guide for Turbine-Governor Modeling; North American Electric Reliability Corporation: Atlanta, GA, USA, 2019. [Google Scholar]
  30. Farrokhseresht, N.; Oréstica, H.C.; Hesamzadeh, M.R. Determination of acceptable inertia limit for ensuring adequacy under high levels of wind integration. In Proceedings of the International Conference on the European Energy Market (EEM), Krakow, Poland, 28–30 May 2014; pp. 1–5. [Google Scholar]
  31. Wood, A.J.; Wollenberg, B.F.; Sheblé, G.B. Power Generation, Operation, and Control, 3rd ed.; John Wiley & Sons: Hoboken, NJ, USA, 2015. [Google Scholar]
Figure 1. Reduced frequency response (RFR) model.
Figure 1. Reduced frequency response (RFR) model.
Energies 14 05961 g001
Figure 2. Comparison between frequencies calculated based on detailed system model and RFR model.
Figure 2. Comparison between frequencies calculated based on detailed system model and RFR model.
Energies 14 05961 g002
Figure 3. Calculation procedure of k g e q .
Figure 3. Calculation procedure of k g e q .
Energies 14 05961 g003
Table 1. RFR Model parameters in each scenario.
Table 1. RFR Model parameters in each scenario.
Scenario D
( p u )
H e q
( p u )
k g e q
( p u )
T r e d
( s )
T r e d , m
( s )
P c o n
( p u )
Case 10.01401.28713.69646.93063.18872.5238
Case 21.52624.40288.17482.3662
Case 31.75235.10619.46652.0164
Case 41.36122.44085.23943.86534.1203
Case 51.22101.83462.71204.3752
Case 10.02801.28713.61735.70175.45064.1226
Case 21.52624.32377.66034.0157
Case 31.75235.02709.31402.9016
Case 41.36122.36175.11253.94954.2125
Case 51.22101.75552.50524.4755
All parameters were rounded up to the fourth decimal place.
Table 2. Comparison of minimum frequency in each scenario.
Table 2. Comparison of minimum frequency in each scenario.
ScenarioSimulationRFR ModelAbsolute Deviation
( H z )
Percent
Error
( % )
P c o n
( p u )
f m i n
( H z )
f m i n
( H z )
Case 10.014059.816059.82950.01350.0226
Case 259.859159.85610.00300.0050
Case 359.884359.87560.00870.0145
Case 459.755359.75070.00460.0077
Case 559.644359.64940.00510.0086
Average0.00700.0117
Case 10.028059.524259.56360.03930.0661
Case 259.654059.65110.00290.0049
Case 359.736359.70440.03200.0535
Case 459.498359.48880.00950.0159
Case 559.259959.27020.01030.0175
Average0.01880.0316
Minimum frequency f m i n , absolute deviations, and percent errors were rounded up to the fourth decimal place.
Table 3. Comparison of average RoCoF in each scenario based on 0.5 s.
Table 3. Comparison of average RoCoF in each scenario based on 0.5 s.
ScenarioSimulationRFR ModelAbsolute
Deviation
( H z )
Percent
Error
( % )
P c o n
( p u )
R o C o F 0.5
( H z / s )
R o C o F 0.5
( H z / s )
Case 10.0140−0.1073−0.10720.00010.1052
Case 2−0.0899−0.09000.00010.1283
Case 3−0.0774−0.07770.00020.3020
Case 4−0.1587−0.15890.00020.1269
Case 5−0.2096−0.20940.00020.0956
Average0.00020.1516
Case 10.0280−0.2191−0.22050.00140.6306
Case 2−0.1830−0.18430.00140.7536
Case 3−0.1572−0.15860.00140.8846
Case 4−0.3272−0.32780.00060.1767
Case 5−0.4363−0.04360.00010.0337
Average0.00100.4958
The average RoCoF based on 0.5 s R o C o F 0.5 , absolute deviations, and percent errors were rounded up to the fourth decimal place.
Table 4. Comparison of average RoCoF in each scenario based on 1 s.
Table 4. Comparison of average RoCoF in each scenario based on 1 s.
ScenarioSimulationRFR ModelAbsolute
Deviation
( H z / s )
Percent
Error
( % )
P c o n
( p u )
R o C o F 0.5
( H z / s )
R o C o F 0.5
( H z / s )
Case 10.0140−0.0978−0.09850.00080.7967
Case 2−0.0813−0.08280.00151.8386
Case 3−0.0696−0.07150.00182.6413
Case 4−0.1418−0.14410.00241.6577
Case 5−0.1879−0.18930.00150.7723
Average0.00161.5413
Case 10.0280−0.1992−0.20640.00723.6220
Case 2−0.1651−0.17220.00704.2574
Case 3−0.1411−0.14800.00694.9093
Case 4−0.2913−0.29670.00551.8771
Case 5−0.3897−0.39350.00380.9781
Average0.00613.1288
The average RoCoF based on 1 s R o C o F 1.0 , absolute deviations, and percent errors were rounded up to the fourth decimal place.
Publisher’s Note: MDPI stays neutral with regard to jurisdictional claims in published maps and institutional affiliations.

Share and Cite

MDPI and ACS Style

Kim, S.-E.; Chun, Y.-H. Single-Machine Frequency Model and Parameter Identification for Inertial Constraints in Unit Commitment. Energies 2021, 14, 5961. https://doi.org/10.3390/en14185961

AMA Style

Kim S-E, Chun Y-H. Single-Machine Frequency Model and Parameter Identification for Inertial Constraints in Unit Commitment. Energies. 2021; 14(18):5961. https://doi.org/10.3390/en14185961

Chicago/Turabian Style

Kim, Sung-Eun, and Yeong-Han Chun. 2021. "Single-Machine Frequency Model and Parameter Identification for Inertial Constraints in Unit Commitment" Energies 14, no. 18: 5961. https://doi.org/10.3390/en14185961

APA Style

Kim, S.-E., & Chun, Y.-H. (2021). Single-Machine Frequency Model and Parameter Identification for Inertial Constraints in Unit Commitment. Energies, 14(18), 5961. https://doi.org/10.3390/en14185961

Note that from the first issue of 2016, this journal uses article numbers instead of page numbers. See further details here.

Article Metrics

Back to TopTop