High-Power Closed-Loop SMPC-Based Photovoltaic System Characterization under Varying Ambient Conditions
Abstract
:1. Introduction
Contributions of This Work
- A switched-mode power conversion-based PV characterization setup is introduced in this work which not only reduces system losses, but also prevents high frequency noise injection in the PV source.
- Design and development of the high frequency damped input filter providing high-speed characterization without affecting closed-loop controller performance and system stability, while ensuring compact size.
- An adaptive closed loop controller is introduced and implemented, which ensures complete short circuit to open circuit characterization under varying ambient conditions and completely eliminates overshoot and ringing in electrical response under closed-loop operation as compared to open loop.
- The designed system is validated using simulations and experimental results showing high-speed characterization under real-time field operation.
- Closed-form mathematical expressions and lookup tables have been derived and documented for system operation under closed-loop operation with changing ambient conditions.
- The system is shown to remain stable under 200–1000 W/m irradiation variation and 25–70 °C temperature with a high characterization speed within tens of milliseconds.
- This study presents a 1.2 kW range high power PV system characterization based on high performance converter with scalability owing to low loss and stable operation under varying ambient conditions. Switched mode power converter provides greater than 80% efficiency, unlike linear electronic loads.
- The results show superior performance in terms of fast variable characterization speed and tunable sensitivity of the converter: the features which are absent in the commercially available I–V tracers.
- The developed PV characterization method is ten times more cost effective compared to commercial PV equipment with comparable speed.
- Compared to commercial PV characterization equipment the proposed method offers at least three times higher power level with comparable accuracy.
- It lays the foundation for PV parameter extraction, fault diagnosis, shading studies, accelerated life, and reliability testing of PV systems.
2. Design of Damped Input Filter for SMPC-Based PV Characterization System
3. Closed Loop Control Design
3.1. Introduction of Adaptive Gain PI Controller
3.2. Algorithm for Complete Curve Tracing
3.3. Comparison of Open Loop and Closed Loop System Response
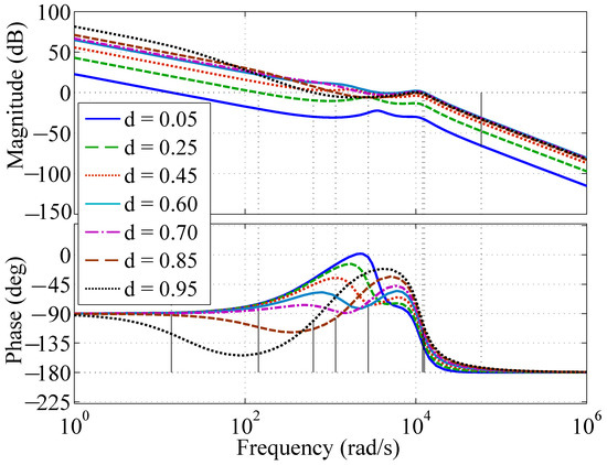
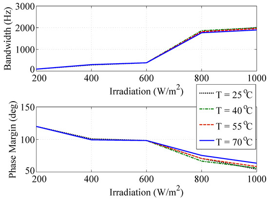
3.4. Effect of Ambient Conditions on Controller Performance
3.5. Linking Frequency-Domain Analysis to Time-Domain Performance
4. Experimental Validation
4.1. Experimental Setup
- inductor: 1.2 mH, 25 A;
- output capacitor: 60 F, 400 V;
- IGBT switches: 1200 V, 50 A;
- input filter inductor: 100 H, 25 A;
- input filter capacitor: 60 F, 400 V;
- output load resistor: 50 , 10 A.
4.2. Experimental Results
4.3. Performance Comparison with Other Characterization Methods
- The proposed method has a high accuracy which is at par with 0.1% or less characterization error in commercial electronic loads for PV characterization [45]. The accuracy of the proposed method is based on the resolution and accuracy of the voltage and current sensors [46] and data logging equipments [47].
- The developed switched mode power converter (SMPC) has an accuracy in the range of 85–90% which is much higher than the linear electronic loads which use linear operation of MOSFET [34] or BJT [48]. The efficiency of linear power supplies is typically noted in the range of 40 to 60%, whereas that of SMPC is in the upwards of 80% [49].
- The power level of the proposed method is in kW range whereas the maximum power level of the commercial equipment and setups developed in PV literature varies from tens of watts [48] to 100 W [34] and goes to a maximum of 300 W [44]. These commercial equipments are also limited by voltage and current ratings and prevent the characterization of series and parallel connected PV modules in an array.
- The proposed equipment can be developed in a few hundred dollars whereas the price range of equivalent commercial equipment is above thousand US dollars [44]. Therefore, the developed equipment is at least ten times more cost effective.
5. Conclusions
Author Contributions
Funding
Institutional Review Board Statement
Informed Consent Statement
Data Availability Statement
Conflicts of Interest
Appendix A
| Ambient Conditions | D = [0.05 0.25 0.45 0.60 0.70 0.85 0.95] |
|---|---|
| 200 W/m, 25 °C | V (V) = [0.1 0.6 3.2 7.7 25.4 40.9 41.6] |
| 400 W/m, 25 °C | V (V) = [0.2 1.2 6.4 15.4 39.3 42.6 43.1] |
| 600 W/m, 25 °C | V (V) = [0.2 1.7 9.5 22.9 41.6 43.6 43.9] |
| 800 W/m, 25 °C | V (V) = [0.2 2.1 12.6 30.5 42.7 44.3 44.5] |
| 1000 W/m, 25 °C | V (V) = [0.3 2.7 15.7 36.7 43.5 44.8 45.0] |
| 200 W/m, 40 °C | V (V) = [0.1 0.6 3.3 7.7 26.0 38.3 39.0] |
| 400 W/m, 40 °C | V (V) = [0.2 1.1 6.3 15.5 37.2 40.0 40.6] |
| 600 W/m, 40 °C | V (V) = [0.2 1.7 9.6 23.2 39.3 41.2 41.4] |
| 800 W/m, 40 °C | V (V) = [0.3 2.2 12.8 30.3 40.4 41.8 42.1] |
| 1000 W/m, 40 °C | V (V) = [0.3 2.7 16.1 35.3 41.0 42.3 42.6] |
| 200 W/m, 55 °C | V (V) = [0.1 0.6 3.2 7.9 25.7 35.7 36.4] |
| 400 W/m, 55 °C | V (V) = [0.2 1.2 6.6 15.6 32.6 35.0 35.6] |
| 600 W/m, 55 °C | V (V) = [0.2 1.7 9.7 23.4 36.9 38.6 39.0] |
| 800 W/m, 55 °C | V (V) = [0.2 2.2 12.9 30.1 38.0 39.3 39.6] |
| 1000 W/m, 55 °C | V (V) = [0.3 2.8 16.1 33.8 38.8 39.8 40.2] |
| 200 W/m, 70 °C | V (V) = [0.1 0.6 3.3 8.0 25.6 33.2 33.8] |
| 400 W/m, 70 °C | V (V) = [0.2 1.2 6.6 15.6 32.6 35.0 35.6] |
| 600 W/m, 70 °C | V (V) = [0.3 2.2 13.1 29.2 35.6 36.9 37.3] |
| 800 W/m, 70 °C | V (V) = [0.3 2.8 16.4 32.0 36.4 37.4 37.7] |
| 1000 W/m, 70 °C | V (V) = [0.3 2.8 16.5 30.1 33.9 35.0 35.4] |
References
- Premkumar, M.; Subramaniam, U.; Babu, T.S.; Elavarasan, R.M.; Mihet-Popa, L. Evaluation of Mathematical Model to Characterize the Performance of Conventional and Hybrid PV Array Topologies under Static and Dynamic Shading Patterns. Energies 2020, 13, 3216. [Google Scholar] [CrossRef]
- Morishige, A.E.; Laine, H.S.; Looney, E.E.; Jensen, M.A.; Vogt, S.; Li, J.B.; Lai, B.; Savin, H.; Buonassisi, T. Increased Throughput and Sensitivity of Synchrotron-Based Characterization for Photovoltaic Materials. IEEE J. Photovolt. 2017, 7, 763–771. [Google Scholar] [CrossRef]
- Barelli, L.; Bidini, G.; Bonucci, F.; Castellini, L.; Castellini, S.; Ottaviano, A.; Pelosi, D.; Zuccari, A. Dynamic Analysis of a Hybrid Energy Storage System (H-ESS) Coupled to a Photovoltaic (PV) Plant. Energies 2018, 11, 396. [Google Scholar] [CrossRef] [Green Version]
- Martín-Chivelet, N.; Guillén, C.; Trigo, J.F.; Herrero, J.; Pérez, J.J.; Chenlo, F. Comparative Performance of Semi-Transparent PV Modules and Electrochromic Windows for Improving Energy Efficiency in Buildings. Energies 2018, 11, 1526. [Google Scholar] [CrossRef] [Green Version]
- Conceição, R.; Silva, H.G.; Mirão, J.; Collares-Pereira, M. Organic Soiling: The Role of Pollen in PV Module Performance Degradation. Energies 2018, 11, 294. [Google Scholar] [CrossRef] [Green Version]
- Bharadwaj, P.; John, V. Optimized Global Maximum Power Point Tracking of Photovoltaic Systems Based on Rectangular Power Comparison. IEEE Access 2021, 9, 53602–53616. [Google Scholar] [CrossRef]
- Balato, M.; Petrarca, C. The Impact of Reconfiguration on the Energy Performance of the Distributed Maximum Power Point Tracking Approach in PV Plants. Energies 2020, 13, 1511. [Google Scholar] [CrossRef] [Green Version]
- Bharadwaj, P.; Lehman, B. Maximising Energy Yield Using Global Maximum Power Point Tracking of Reconfigurable Photovoltaic Panel Array. In Proceedings of the 2020 IEEE 21st Workshop on Control and Modeling for Power Electronics (COMPEL), Aalborg, Denmark, 9–12 November 2020; pp. 1–7. [Google Scholar] [CrossRef]
- Kim, K.A.; Seo, G.S.; Cho, B.H.; Krein, P.T. Photovoltaic Hot-Spot Detection for Solar Panel Substrings Using AC Parameter Characterization. IEEE Trans. Power Electron. 2016, 31, 1121–1130. [Google Scholar] [CrossRef]
- Hallam, B.J.; Hamer, P.G.; Bonilla, R.S.; Wenham, S.R.; Wilshaw, P.R. Method of Extracting Solar Cell Parameters From Derivatives of Dark I–V Curves. IEEE J. Photovolt. 2017, 7, 1304–1312. [Google Scholar] [CrossRef]
- Tanahashi, T.; Sakamoto, N.; Shibata, H.; Masuda, A. Localization and Characterization of a Degraded Site in Crystalline Silicon Photovoltaic Cells Exposed to Acetic Acid Vapor. IEEE J. Photovolt. 2018, 8, 997–1004. [Google Scholar] [CrossRef]
- Bertram, T.; Deprédurand, V.; Siebentritt, S. Electrical Characterization of Defects in Cu-Rich Grown CuInSe2 Solar Cells. IEEE J. Photovolt. 2016, 6, 546–551. [Google Scholar] [CrossRef] [Green Version]
- Baumgartner, H.; Oksanen, B.; Kärhä, P.; Ikonen, E. Optical Characterization of III-V Multijunction Solar Cells for Temperature-Independent Band Gap Features. IEEE J. Photovolt. 2019, 9, 1631–1636. [Google Scholar] [CrossRef]
- Kruse, C.N.; Wolf, M.; Schinke, C.; Hinken, D.; Brendel, R.; Bothe, K. Impact of Contacting Geometries When Measuring Fill Factors of Solar Cell Current–Voltage Characteristics. IEEE J. Photovolt. 2017, 7, 747–754. [Google Scholar] [CrossRef]
- Rutzinger, M.; Salzberger, M.; Nesswetter, H.; Lackner, D.; Bett, A.W.; Lugli, P.; Zimmermann, C.G. Subcell Characterization in Multijunction Solar Cells Using Pulsed Light. IEEE J. Photovolt. 2017, 7, 709–714. [Google Scholar] [CrossRef]
- Koutsourakis, G.; Cashmore, M.; Hall, S.R.G.; Bliss, M.; Betts, T.R.; Gottschalg, R. Compressed Sensing Current Mapping Spatial Characterization of Photovoltaic Devices. IEEE J. Photovolt. 2017, 7, 486–492. [Google Scholar] [CrossRef] [Green Version]
- Paternoster, G.; Nicolai, M.; de Ceglia, G.; Zanuccoli, M.; Bellutti, P.; Ferrario, L.; Sangiorgi, E.; Fiegna, C. Fabrication, Simulation, and Experimental Characterization of EWT Solar Cells With Deep Grooved Base Contact. IEEE J. Photovolt. 2016, 6, 1072–1079. [Google Scholar] [CrossRef]
- Alonso-Álvarez, D.; Ekins-Daukes, N. Photoluminescence-Based Current–Voltage Characterization of Individual Subcells in Multijunction Devices. IEEE J. Photovolt. 2016, 6, 1004–1011. [Google Scholar] [CrossRef] [Green Version]
- Bharadwaj, P.; John, V. High performance buck-boost converter based PV characterisation set-up. In Proceedings of the 2017 IEEE Energy Conversion Congress and Exposition (ECCE), Cincinnati, OH, USA, 1–5 October 2017; pp. 4425–4432. [Google Scholar] [CrossRef]
- Apolloni, M.; Keller, K.; Seghrouchni, Z.; Sinicco, I. Power Measurement of MICROMORPH Tandem Modules—An Overview. IEEE J. Photovolt. 2016, 6, 1228–1242. [Google Scholar] [CrossRef]
- Luo, W.; Hacke, P.; Singh, J.P.; Chai, J.; Wang, Y.; Ramakrishna, S.; Aberle, A.G.; Khoo, Y.S. In-Situ Characterization of Potential-Induced Degradation in Crystalline Silicon Photovoltaic Modules Through Dark I–V Measurements. IEEE J. Photovolt. 2017, 7, 104–109. [Google Scholar] [CrossRef]
- Minnaert, B.; Veelaert, P. A Proposal for Typical Artificial Light Sources for the Characterization of Indoor Photovoltaic Applications. Energies 2014, 7, 1500–1516. [Google Scholar] [CrossRef] [Green Version]
- Liang, T.S.; Pravettoni, M.; Singh, J.P.; Khoo, Y.S. A Metrological Study of Accurate Indoor Characterisation of Commercial Bifacial Photovoltaic Module With Single Light Source. IEEE J. Photovolt. 2020, 10, 1448–1454. [Google Scholar] [CrossRef]
- Yandt, M.D.; Cook, J.P.D.; Kelly, M.; Schriemer, H.; Hinzer, K. Dynamic Real-Time I–V Curve Measurement System for Indoor/Outdoor Characterization of Photovoltaic Cells and Modules. IEEE J. Photovolt. 2015, 5, 337–343. [Google Scholar] [CrossRef] [Green Version]
- Kawagoe, K.; Hishikawa, Y.; Yamada, N. Outdoor Direct STC Performance Measurement of PV Modules Based on a Sun-Shading Technique. IEEE J. Photovolt. 2017, 7, 1725–1730. [Google Scholar] [CrossRef]
- Hishikawa, Y.; Doi, T.; Higa, M.; Yamagoe, K.; Ohshima, H. Precise Outdoor PV Module Performance Characterization Under Unstable Irradiance. IEEE J. Photovolt. 2016, 6, 1221–1227. [Google Scholar] [CrossRef]
- Bharadwaj, P.; John, V. Subcell Modeling of Partially Shaded Photovoltaic Modules. IEEE Trans. Ind. Appl. 2019, 55, 3046–3054. [Google Scholar] [CrossRef]
- Mathew, M.; Kumar, N.M.; i Koroth, R.P. Outdoor measurement of mono and poly c-Si PV modules and array characteristics under varying load in hot-humid tropical climate. Mater. Today Proc. 2018, 5, 3456–3464. [Google Scholar] [CrossRef]
- Faifer, M.; Cristaldi, L.; Piegari, L.; Soulatiantork, P. Design of a converter for photovoltaic panels testing. In Proceedings of the 2015 International Conference on Clean Electrical Power (ICCEP), Taormina, Italy, 16–18 June 2015; pp. 674–681. [Google Scholar] [CrossRef]
- Erkaya, Y.; Moses, P.; Marsillac, S. On-site characterization of PV modules using a portable, MOSFET-based capacitive load. In Proceedings of the 2016 IEEE 43rd Photovoltaic Specialists Conference (PVSC), Portland, OR, USA, 5–10 June 2016; pp. 3119–3122. [Google Scholar] [CrossRef]
- Carrillo, J.M.; Martínez-Moreno, F.; Lorenzo, C.; Lorenzo, E. Uncertainties on the outdoor characterization of PV modules and the calibration of reference modules. Sol. Energy 2017, 155, 880–892. [Google Scholar] [CrossRef] [Green Version]
- Spertino, F.; Sumaili, J.; Andrei, H.; Chicco, G. PV Module Parameter Characterization From the Transient Charge of an External Capacitor. IEEE J. Photovolt. 2013, 3, 1325–1333. [Google Scholar] [CrossRef]
- Muñoz, J.; Lorenzo, E. Capacitive load based on IGBTs for on-site characterization of PV arrays. Sol. Energy 2006, 80, 1489–1497. [Google Scholar] [CrossRef] [Green Version]
- Kuai, Y.; Yuvarajan, S. An electronic load for testing photovoltaic panels. J. Power Sources 2006, 154, 308–313. [Google Scholar] [CrossRef]
- Andrade, A.M.S.S.; Schuch, L.; da Silva Martins, M.L. High Step-Up PV Module Integrated Converter for PV Energy Harvest in FREEDM Systems. IEEE Trans. Ind. Appl. 2017, 53, 1138–1148. [Google Scholar] [CrossRef]
- Amirabadi, M.; Toliyat, H.A.; Alexander, W.C. A Multiport AC Link PV Inverter With Reduced Size and Weight for Stand-Alone Application. IEEE Trans. Ind. Appl. 2013, 49, 2217–2228. [Google Scholar] [CrossRef]
- Lima, N.N.; de Freitas, L.C.; Buiatti, G.M.; Vieira, J.B.; Freitas, L.C.G.; Coelho, E.A.A. Low complexity system for real-time determination of current-voltage characteristic of PV modules and strings. In Proceedings of the 2013 Twenty-Eighth Annual IEEE Applied Power Electronics Conference and Exposition (APEC), Long Beach, CA, USA, 17–21 March 2013; pp. 2817–2823. [Google Scholar] [CrossRef]
- Bharadwaj, P.; Kulkarni, A.; John, V. Impedance estimation of photovoltaic modules for inverter start-up analysis. Sādhanā 2017, 42, 1377–1387. [Google Scholar] [CrossRef]
- IEC 60904-1, Photovoltaic Devices, Part 1: Measurement of Photovoltaic Current–Voltage Characteristics; Standard; International Electrotechnical Commission: Geneva, Switzerland, 2006.
- Erickson, R.W.; Maksimovic, D. Fundamentals of Power Electronics; Springer Science & Business Media: Berlin, Germany, 2007. [Google Scholar]
- ES 275-295 P72, EMMVEE Photovoltaics. Photovoltaic Module. 2012. Available online: https://www.enfsolar.com/pv/panel-datasheet/Polycrystalline/63 (accessed on 1 October 2017).
- Chatterjee, A.; Keyhani, A.; Kapoor, D. Identification of photovoltaic source models. IEEE Trans. Energy Convers. 2011, 26, 883–889. [Google Scholar] [CrossRef]
- Bharadwaj, P.; Chaudhury, K.N.; John, V. Sequential Optimization for PV Panel Parameter Estimation. IEEE J. Photovolt. 2016, 6, 1261–1268. [Google Scholar] [CrossRef]
- Keysight Technologies. N3300 Series DC Electronic Loads. 2020. Available online: https://www.testworld.com/wp-content/uploads/solar-cell-and-module-testing.pdf (accessed on 7 August 2021).
- Agilent Technologies. Solutions for Solar Cell and Module Testing. 2021. Available online: https://www.keysight.com/us/en/assets/7018-06712/data-sheets/5980-0232.pdf (accessed on 7 August 2021).
- Abhijit, K. Design of Grid Connected Solar Inverter with Reduced THD Using Adaptive Harmonic Elimination Technique; Department of Electrical Engineering, Indian Institute of Science: Bengaluru, India, 2011. [Google Scholar]
- Fluke. Fluke 190-204 ScopeMeter. 2016. Available online: https://www.fluke.com/en-us/product/electrical-testing/portable-oscilloscopes/190-series-ii/fluke-190-ii-190-204 (accessed on 7 August 2021).
- Ameri, O.; Serhan, M.; Lamont, L.; Chaar, L. Variable electronic load for testing PV performance. Appl. Sol. Energy 2010, 46, 89–96. [Google Scholar] [CrossRef]
- Sam Sattel. Linear Regulated vs. Switch Mode Power Supply. 2016. Available online: https://www.autodesk.com/products/eagle/blog/linear-regulated-vs-switch-mode-power-supply/ (accessed on 7 August 2021).
- Sangwongwanich, A.; Yang, Y.; Sera, D.; Blaabjerg, F.; Zhou, D. On the Impacts of PV Array Sizing on the Inverter Reliability and Lifetime. IEEE Trans. Industry Appl. 2018, 54, 3656–3667. [Google Scholar] [CrossRef] [Green Version]













| Case | Steady State | (ms) | (ms) | |
|---|---|---|---|---|
| 8.42 A | 01.20 | 13 | 14 | |
| 32.20 V | 00.12 | 12 | 14 | |
| 0.02 A | 73.90 | 10 | 20 | |
| 44.95 V | 00.02 | 10 | 30 | |
| 8.59 A | 23.75 | 12 | 1.5 s | |
| 1.60 V | 00.34 | 12 | 1.5 s |
| G W/m | T °C | rad/s | krad/s | deg | deg | dB@ 58.3 krad/s |
|---|---|---|---|---|---|---|
| 200 | 25 | 309 (0.95) | 4.56 (0.05) | 45.9 (0.95) | 112 (0.45) | 40.1 (0.05) |
| 200 | 40 | 309 (0.95) | 4.39 (0.05) | 45.9 (0.95) | 113 (0.05) | 40.8 (0.05) |
| 200 | 55 | 240 (0.05) | 4.10 (0.45) | 45.9 (0.95) | 128 (0.45) | 41.4 (0.05) |
| 200 | 70 | 222 (0.05) | 3.80 (0.25) | 45.9 (0.95) | 128 (0.05) | 42.0 (0.05) |
| 400 | 25 | 658 (0.85) | 4.62 (0.05) | 63.5 (0.95) | 109 (0.05) | 39.9 (0.05) |
| 400 | 40 | 309 (0.95) | 4.47 (0.05) | 45.9 (0.95) | 111 (0.05) | 40.4 (0.05) |
| 400 | 55 | 472 (0.95) | 4.33 (0.05) | 63.5 (0.95) | 114 (0.05) | 41.0 (0.05) |
| 400 | 70 | 237 (0.05) | 3.96 (0.25) | 63.5 (0.95) | 114 (0.05) | 41.5 (0.05) |
| 600 | 25 | 472 (0.95) | 4.67 (0.05) | 63.5 (0.95) | 108 (0.05) | 39.7 (0.05) |
| 600 | 40 | 472 (0.95) | 4.52 (0.05) | 63.5 (0.95) | 110 (0.05) | 40.3 (0.05) |
| 600 | 55 | 472 (0.95) | 4.39 (0.05) | 63.5 (0.95) | 113 (0.05) | 40.8 (0.05) |
| 600 | 70 | 241 (0.05) | 4.03 (0.25) | 63.5 (0.95) | 114 (0.05) | 41.4 (0.05) |
| 800 | 25 | 472 (0.95) | 4.67 (0.05) | 63.5 (0.95) | 108 (0.05) | 39.6 (0.05) |
| 800 | 40 | 472 (0.95) | 4.58 (0.05) | 63.5 (0.95) | 110 (0.05) | 40.1 (0.05) |
| 800 | 55 | 472 (0.95) | 4.44 (0.05) | 63.5 (0.95) | 112 (0.05) | 40.6 (0.05) |
| 800 | 70 | 241 (0.05) | 4.09 (0.25) | 54.2 (0.60) | 115 (0.05) | 41.2 (0.05) |
| 1000 | 25 | 630 (0.95) | 4.74 (0.25) | 56.1 (0.60) | 108 (0.05) | 39.5 (0.05) |
| 1000 | 40 | 630 (0.95) | 4.54 (0.05) | 58.3 (0.60) | 108 (0.05) | 40.0 (0.05) |
| 1000 | 55 | 630 (0.95) | 4.44 (0.05) | 63.5 (0.60) | 112 (0.05) | 40.6 (0.05) |
| 1000 | 70 | 630 (0.95) | 4.33 (0.05) | 75.4 (0.60) | 114 (0.05) | 41.0 (0.05) |
Publisher’s Note: MDPI stays neutral with regard to jurisdictional claims in published maps and institutional affiliations. |
© 2021 by the authors. Licensee MDPI, Basel, Switzerland. This article is an open access article distributed under the terms and conditions of the Creative Commons Attribution (CC BY) license (https://creativecommons.org/licenses/by/4.0/).
Share and Cite
Bharadwaj, P.; John, V. High-Power Closed-Loop SMPC-Based Photovoltaic System Characterization under Varying Ambient Conditions. Energies 2021, 14, 5296. https://doi.org/10.3390/en14175296
Bharadwaj P, John V. High-Power Closed-Loop SMPC-Based Photovoltaic System Characterization under Varying Ambient Conditions. Energies. 2021; 14(17):5296. https://doi.org/10.3390/en14175296
Chicago/Turabian StyleBharadwaj, Pallavi, and Vinod John. 2021. "High-Power Closed-Loop SMPC-Based Photovoltaic System Characterization under Varying Ambient Conditions" Energies 14, no. 17: 5296. https://doi.org/10.3390/en14175296
APA StyleBharadwaj, P., & John, V. (2021). High-Power Closed-Loop SMPC-Based Photovoltaic System Characterization under Varying Ambient Conditions. Energies, 14(17), 5296. https://doi.org/10.3390/en14175296

