Study on Mineral Compositions of Direct Carbonated Steel Slag by QXRD, TG, FTIR, and XPS
Abstract
:1. Introduction
2. Materials and Methods
2.1. Raw Materials
2.2. Experimental Program and Test Methods
2.3. Orthogonal Experimental Design
3. Results and Discussion
3.1. Orthogonal Experimental Results
3.2. Effect of Gypsum Content
3.3. Effect of Molding Pressure and Curing Durations
3.3.1. FTIR Analyses on Samples with Different Molding Pressures and Curing Durations
3.3.2. TG–DTG Analyses of Samples with Different Molding Pressures and Curing Durations
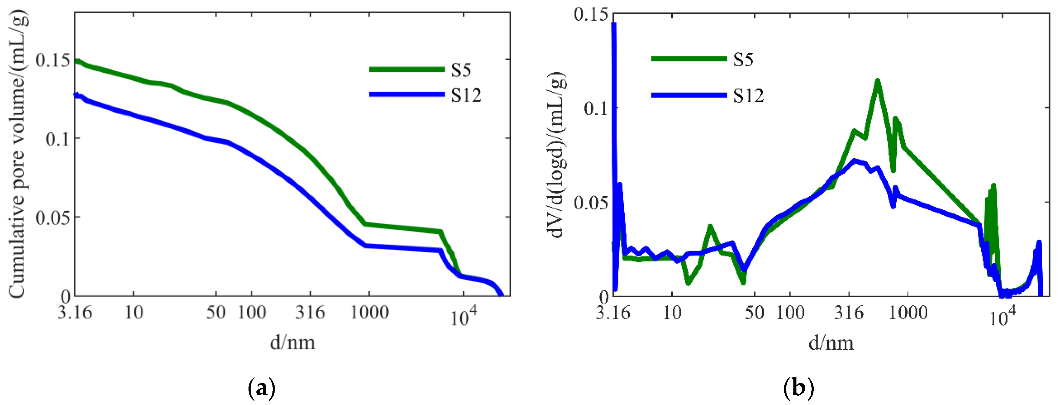
3.3.3. Pore-Size Distribution Analyses of Samples with Different Molding Pressures
3.4. Effects of w/s
3.4.1. Effects of w/s on UCS and CO2 Uptake
3.4.2. Semi-Quantitive XRD Analyses of Samples with Different w/s Values
3.4.3. TG–DTG Analyses of Samples with Different w/s Values
3.4.4. XPS Analyses of Samples with Different w/s Ratios
4. Conclusions
Supplementary Materials
Author Contributions
Funding
Institutional Review Board Statement
Informed Consent Statement
Data Availability Statement
Acknowledgments
Conflicts of Interest
References
- Ren, S.; Aldahri, T.; Liu, W.; Liang, B. CO2 mineral sequestration by using blast furnace slag: From batch to continuous experiments. Energy 2021, 214, 118975. [Google Scholar] [CrossRef]
- Wu, H.; Jayne, R.S.; Bodnar, R.J.; Pollyea, R.M. Simulation of CO2 mineral trapping and permeability alteration in fractured basalt: Implications for geologic carbon sequestration in mafic reservoirs. Int. J. Greenh. Gas Control 2021, 109, 103383. [Google Scholar] [CrossRef]
- Zhang, W.; Zhang, F.; Ma, L.; Ning, P.; Yang, J.; Wei, Y. An efficient methodology to use hydrolysate of phosphogypsum decomposition products for CO2 mineral sequestration and calcium carbonate production. J. Clean. Prod. 2020, 259, 120826. [Google Scholar] [CrossRef]
- Wang, B.; Pan, Z.; Cheng, H.; Zhang, Z.; Cheng, F. A review of carbon dioxide sequestration by mineral carbonation of industrial byproduct gypsum. J. Clean. Prod. 2021, 302, 126930. [Google Scholar] [CrossRef]
- Xiong, Y.; Aldahri, T.; Liu, W.; Chu, G.; Zhang, G.; Luo, D.; Yue, H.; Liang, B.; Li, C. Simultaneous preparation of TiO2 and ammonium alum, and microporous SiO2 during the mineral carbonation of titanium-bearing blast furnace slag. Chin. J. Chem. Eng. 2020, 28, 2256–2266. [Google Scholar] [CrossRef]
- Monasterio-Guillot, L.; Alvarez-Lloret, P.; Ibañez-Velasco, A.; Fernandez-Martinez, A.; Ruiz-Agudo, E.; Rodriguez-Navarro, C. CO2 sequestration and simultaneous zeolite production by carbonation of coal fly ash: Impact on the trapping of toxic elements. J. CO2 Util. 2020, 40, 101263. [Google Scholar] [CrossRef]
- Gupta, S.; Kashani, A.; Mahmood, A.H.; Han, T. Carbon sequestration in cementitious composites using biochar and fly ash–Effect on mechanical and durability properties. Constr. Build. Mater. 2021, 291, 123363. [Google Scholar] [CrossRef]
- Chen, Z.; Li, R.; Zheng, X.; Liu, J. Carbon sequestration of steel slag and carbonation for activating RO phase. Cem. Concr. Res. 2021, 139, 106271. [Google Scholar] [CrossRef]
- Wang, X.; Ni, W.; Li, J.; Zhang, S.; Hitch, M.; Pascual, R. Carbonation of steel slag and gypsum for building materials and associated reaction mechanisms. Cem. Concr. Res. 2019, 125, 105893. [Google Scholar] [CrossRef]
- Li, L.; Jiang, Y.; Pan, S.Y.; Ling, T.C. Comparative life cycle assessment to maximize CO2 sequestration of steel slag products. Constr. Build. Mater. 2021, 298, 123876. [Google Scholar] [CrossRef]
- Zhong, X.; Li, L.; Jiang, Y.; Ling, T.-C. Elucidating the dominant and interaction effects of temperature, CO2 pressure and carbonation time in carbonating steel slag blocks. Constr. Build. Mater. 2021, 302, 124158. [Google Scholar] [CrossRef]
- Jiang, Y.; Ling, T.C. Production of artificial aggregates from steel-making slag: Influences of accelerated carbonation during granulation and/or post-curing. J. CO2 Util. 2020, 36, 135–144. [Google Scholar] [CrossRef]
- Hou, G.; Yan, Z.; Sun, J.; Naguib, H.M.; Lu, B.; Zhang, Z. Microstructure and mechanical properties of CO2-cured steel slag brick in pilot-scale. Constr. Build. Mater. 2021, 271, 121581. [Google Scholar] [CrossRef]
- Wang, Q.; Yan, P. Hydration properties of basic oxygen furnace steel slag. Constr. Build. Mater. 2010, 24, 1134–1140. [Google Scholar] [CrossRef]
- Brand, A.S.; Roesler, J.R. Interfacial transition zone of cement composites with steel furnace slag aggregates. Build. Cem. Concr. Compos. 2018, 86, 117–129. [Google Scholar] [CrossRef]
- Wang, L.; Sarkar, B.; Sonne, C.; Ok, Y.S.; Tsang, D.C.W. Soil and geologic formations as antidotes for CO2 sequestration? Soil Use Manag. 2020, 36, 355–357. [Google Scholar] [CrossRef]
- Said, A.; Laukkanen, T.; Järvinen, M. Pilot-scale experimental work on carbon dioxide sequestration using steelmaking slag. Appl. Energy 2016. [Google Scholar] [CrossRef]
- Liu, J.; Lin, C.; Liu, T.; Han, L.; Shen, X.; Li, C.; Lu, A. An eco-friendly permeable brick with excellent permeability and high strength derived from steel slag wastes. Int. J. Appl. Ceram. Technol. 2020, 17, 584–597. [Google Scholar] [CrossRef]
- Fang, Y.; Su, W.; Zhang, Y.; Zhang, M.; Ding, X.; Wang, Q. Effect of accelerated precarbonation on hydration activity and volume stability of steel slag as a supplementary cementitious material. J. Therm. Anal. Calorim. 2021, 1–11. [Google Scholar] [CrossRef]
- Sun, J.; Zhang, Z.; Zhuang, S.; He, W. Hydration properties and microstructure characteristics of alkali–activated steel slag. Constr. Build. Mater. 2020, 241, 118141. [Google Scholar] [CrossRef]
- Liu, Q.; Liu, J.; Qi, L. Effects of temperature and carbonation curing on the mechanical properties of steel slag-cement binding materials. Constr. Build. Mater. 2016, 124, 999–1006. [Google Scholar] [CrossRef]
- Qian, C.; Yi, H.; Du, W. Bacteria fixing CO2 to enhance the volume stability of ground steel slag powder as a component of cement-based materials aiming at clean production. J. Clean. Prod. 2021, 314, 127821. [Google Scholar] [CrossRef]
- Song, Q.; Guo, M.-Z.; Wang, L.; Ling, T.-C. Use of steel slag as sustainable construction materials: A review of accelerated carbonation treatment. Resour. Conserv. Recycl. 2021, 173, 105740. [Google Scholar] [CrossRef]
- Liu, Z.; Zhang, D.W.; Li, L.; Wang, J.X.; Shao, N.N.; Wang, D.M. Microstructure and phase evolution of alkali-activated steel slag during early age. Constr. Build. Mater. 2019, 204, 158–165. [Google Scholar] [CrossRef]
- Hussein, A.M.; Madkour, F.S.; Afifi, H.M.; Abdel-Ghani, M.; Abd Elfatah, M. Comprehensive study of an ancient Egyptian foot case cartonnage using Raman, ESEM-EDS, XRD and FTIR. Vib. Spectrosc. 2020, 106, 102987. [Google Scholar] [CrossRef]
- Chen, H.; Chen, Z.; Zhao, G.; Zhang, Z.; Xu, C.; Liu, Y.; Chen, J.; Zhuang, L.; Haya, T.; Wang, X. Enhanced adsorption of U(VI) and 241Am(III) from wastewater using Ca/Al layered double hydroxide@ carbon nanotube composites. J. Hazard. Mater. 2018, 347, 67–77. [Google Scholar] [CrossRef]
- Ahmad, S.Z.N.; Hamdan, R.; Al-Gheethi, A.; Alkhadher, S.; Othman, N. Removal of phosphate from wastewater by steel slag with high calcium oxide column filter system; efficiencies and mechanisms study. J. Chem. Technol. Biotechnol. 2020, 95, 3232–3240. [Google Scholar] [CrossRef]
- Black, L.; Garbev, K.; Beuchle, G.; Stemmermann, P.; Schild, D. X-ray photoelectron spectroscopic investigation of nanocrystalline calcium silicate hydrates synthesised by reactive milling. Cem. Concr. Res. 2006, 36, 1023–1031. [Google Scholar] [CrossRef]
- Black, L.; Garbev, K.; Stemmermann, P.; Hallam, K.R.; Allen, G.C. Characterisation of crystalline C-S-H phases by X-ray photoelectron spectroscopy. Cem. Concr. Res. 2003, 33, 899–911. [Google Scholar] [CrossRef]
- Black, L.; Breen, C.; Yarwood, J.; Garbev, K.; Stemmermann, P.; Gasharova, B. Structural features of C-S-H(I) and its carbonation in air-A Raman spectroscopic study. Part II: Carbonated phases. J. Am. Ceram. Soc. 2007, 90, 908–917. [Google Scholar] [CrossRef]
- Black, L.; Stumm, A.; Garbev, K.; Stemmermann, P.; Hallam, K.R.; Allen, G.C. X-ray photoelectron spectroscopy of the cement clinker phases tricalcium silicate and β-dicalcium silicate. Cem. Concr. Res. 2003, 33, 1561–1565. [Google Scholar] [CrossRef]
- Zeng, Q.; Luo, M.; Pang, X.; Li, L.; Li, K. Surface fractal dimension: An indicator to characterize the microstructure of cement-based porous materials. Appl. Surf. Sci. 2013, 282, 302–307. [Google Scholar] [CrossRef]
- García Lodeiro, I.; Macphee, D.E.; Palomo, A.; Fernández-Jiménez, A. Effect of alkalis on fresh C-S-H gels. FTIR analysis. Cem. Concr. Res. 2009, 39, 147–153. [Google Scholar] [CrossRef]
- Pane, I.; Hansen, W. Investigation of blended cement hydration by isothermal calorimetry and thermal analysis. Cem. Concr. Res. 2005, 35, 1155–1164. [Google Scholar] [CrossRef]
- La Russa, M.F.; Fermo, P.; Comite, V.; Belfiore, C.M.; Barca, D.; Cerioni, A.; De Santis, M.; Barbagallo, L.F.; Ricca, M.; Ruffolo, S.A. The Oceanus statue of the Fontana di Trevi (Rome): The analysis of black crust as a tool to investigate the urban air pollution and its impact on the stone degradation. Sci. Total Environ. 2017, 593, 297–309. [Google Scholar] [CrossRef] [PubMed]
- Wang, D.; Chang, J. Comparison on accelerated carbonation of β-C2S, Ca(OH)2, and C4AF: Reaction degree, multi-properties, and products. Constr. Build. Mater. 2019, 224, 336–347. [Google Scholar] [CrossRef]
- Zhao, S.; Liu, Z.; Wang, F. Carbonation reactivity enhancement of γ-C2S through biomineralization. J. CO2 Util. 2020, 39, 101183. [Google Scholar] [CrossRef]
- Zhang, X.; Qian, C.; Yi, H.; Ma, Z. Study on carbonation reactivity of silicates in steel slag accelerated by Bacillus mucilaginosus. Constr. Build. Mater. 2021, 292, 123433. [Google Scholar] [CrossRef]
















| Chemical Composition | Steel Slag | Gypsum | Components | Chemical Formula | Steel Slag |
|---|---|---|---|---|---|
| CaO | 44.78 | 48.06 | Larnite | Ca2SiO4 | 27.9 |
| Al2O3 | 5.70 | 1.18 | Alite | Ca3SiO5 | 1.9 |
| SiO2 | 15.28 | 2.95 | Mayenite | Ca12Al14O33 | 12.8 |
| Fe2O3 | 22.43 | 0.58 | Portlandite | Ca(OH)2 | 2.9 |
| SO3 | 0.30 | 43.57 | Calcite | CaCO3 | 2.9 |
| MgO | 7.04 | 1.48 | Quartz | SiO2 | 2.2 |
| MnO | 1.93 | 1.18 | Magnesiowuestite | (Fe, Mg, Mn)O | 15.7 |
| P2O5 | 1.00 | 0.03 | Magnesioferrite | (Fe, Mg)2O3 | 8.5 |
| TiO2 | 0.86 | 0.39 | Brownmillerite | Ca2Fe2O5 | 15.7 |
| V2O5 | 0.20 | -- | Magnesite | MgCO3 | 6.3 |
| Cr2O3 | 0.17 | -- | Periclase | MgO | 3.0 |
| Others | 0.28 | 0.58 | |||
| Total C | 0.865 | 0.737 |
| Experiment No. | w/s (A) | G/SS (B) | Molding Pressure (MPa) (C) | Gypsum (%) | SS (%) | Water (%) |
|---|---|---|---|---|---|---|
| 1 | 1:5(A1) | 1:16(B1) | 3(C1) | 4.9 | 78.43 | 16.67 |
| 2 | 1:5(A1) | 1:4(B2) | 6(C2) | 16.67 | 66.67 | 16.67 |
| 3 | 1:5(A1) | 1:2(B3) | 9(C3) | 27.78 | 55.55 | 16.67 |
| 4 | 1:8(A2) | 1:16(B1) | 6(C2) | 5.23 | 83.66 | 11.11 |
| 5 | 1:8(A2) | 1:4(B2) | 9(C3) | 17.78 | 71.11 | 11.11 |
| 6 | 1:8(A2) | 1:2(B3) | 3(C1) | 29.63 | 59.26 | 11.11 |
| 7 | 1:10(A3) | 1:16(B1) | 9(C3) | 5.35 | 85.56 | 9.09 |
| 8 | 1:10(A3) | 1:4(B2) | 3(C1) | 18.18 | 72.73 | 9.09 |
| 9 | 1:10(A3) | 1:2(B3) | 6(C2) | 30.3 | 60.61 | 9.09 |
| Testing Number | CO2 Uptake (%) | CO2 Uptake of Steel Slag (%) | UCS (MPa) | |||||||||
|---|---|---|---|---|---|---|---|---|---|---|---|---|
| 1 d | 3 d | 14 d | 28 d | 1 d | 3 d | 14 d | 28 d | 1 d | 3 d | 14 d | 28 d | |
| 1 | 11.93 | 11.72 | 12.62 | 12.95 | 15.21 | 14.94 | 16.09 | 16.51 | 18.20 | 17.90 | 25.19 | 15.16 |
| 2 | 9.87 | 10.38 | 10.98 | 11.36 | 14.80 | 15.57 | 16.47 | 17.04 | 17.72 | 19.49 | 22.42 | 15.96 |
| 3 | 8.65 | 9.36 | 10.12 | 10.47 | 15.57 | 16.85 | 18.22 | 18.85 | 19.36 | 15.70 | 26.94 | 22.80 |
| 4 | 10.33 | 10.07 | 11.65 | 12.32 | 12.35 | 12.04 | 13.93 | 14.73 | 13.66 | 10.73 | 17.96 | 13.47 |
| 5 | 9.23 | 9.93 | 10.63 | 11.14 | 12.98 | 13.96 | 14.95 | 15.67 | 18.44 | 23.31 | 19.03 | 21.40 |
| 6 | 8.64 | 8.70 | 9.12 | 9.34 | 14.58 | 14.68 | 15.39 | 15.76 | 8.17 | 8.09 | 7.61 | 8.28 |
| 7 | 9.10 | 9.66 | 10.05 | 10.29 | 10.64 | 11.29 | 11.75 | 12.03 | 13.44 | 8.22 | 16.46 | 17.55 |
| 8 | 7.78 | 8.66 | 9.16 | 9.48 | 10.70 | 11.91 | 12.59 | 13.03 | 4.87 | 5.92 | 5.70 | 4.55 |
| 9 | 6.19 | 8.22 | 8.09 | 8.21 | 10.21 | 13.56 | 13.35 | 13.55 | 7.01 | 8.66 | 8.85 | 12.52 |
Publisher’s Note: MDPI stays neutral with regard to jurisdictional claims in published maps and institutional affiliations. |
© 2021 by the authors. Licensee MDPI, Basel, Switzerland. This article is an open access article distributed under the terms and conditions of the Creative Commons Attribution (CC BY) license (https://creativecommons.org/licenses/by/4.0/).
Share and Cite
Wang, X.; Ni, W.; Li, J.; Zhang, S.; Li, K. Study on Mineral Compositions of Direct Carbonated Steel Slag by QXRD, TG, FTIR, and XPS. Energies 2021, 14, 4489. https://doi.org/10.3390/en14154489
Wang X, Ni W, Li J, Zhang S, Li K. Study on Mineral Compositions of Direct Carbonated Steel Slag by QXRD, TG, FTIR, and XPS. Energies. 2021; 14(15):4489. https://doi.org/10.3390/en14154489
Chicago/Turabian StyleWang, Xue, Wen Ni, Jiajie Li, Siqi Zhang, and Keqing Li. 2021. "Study on Mineral Compositions of Direct Carbonated Steel Slag by QXRD, TG, FTIR, and XPS" Energies 14, no. 15: 4489. https://doi.org/10.3390/en14154489
APA StyleWang, X., Ni, W., Li, J., Zhang, S., & Li, K. (2021). Study on Mineral Compositions of Direct Carbonated Steel Slag by QXRD, TG, FTIR, and XPS. Energies, 14(15), 4489. https://doi.org/10.3390/en14154489

