Large-Eddy Simulation Analyses of Heated Urban Canyon Facades
Abstract
1. Introduction
2. Case Study Description
Non-Dimensional Parameters
3. Simulation Approach
3.1. Mathematical Model
3.2. Large-Eddy Simulation Approach
3.3. Algorithm and Numerical Schemes
4. Case Settings
4.1. Physical Parameters Set-Up in View of Field-Experiment Evidences
4.2. Computational Domain
4.3. Initial and Boundary Conditions
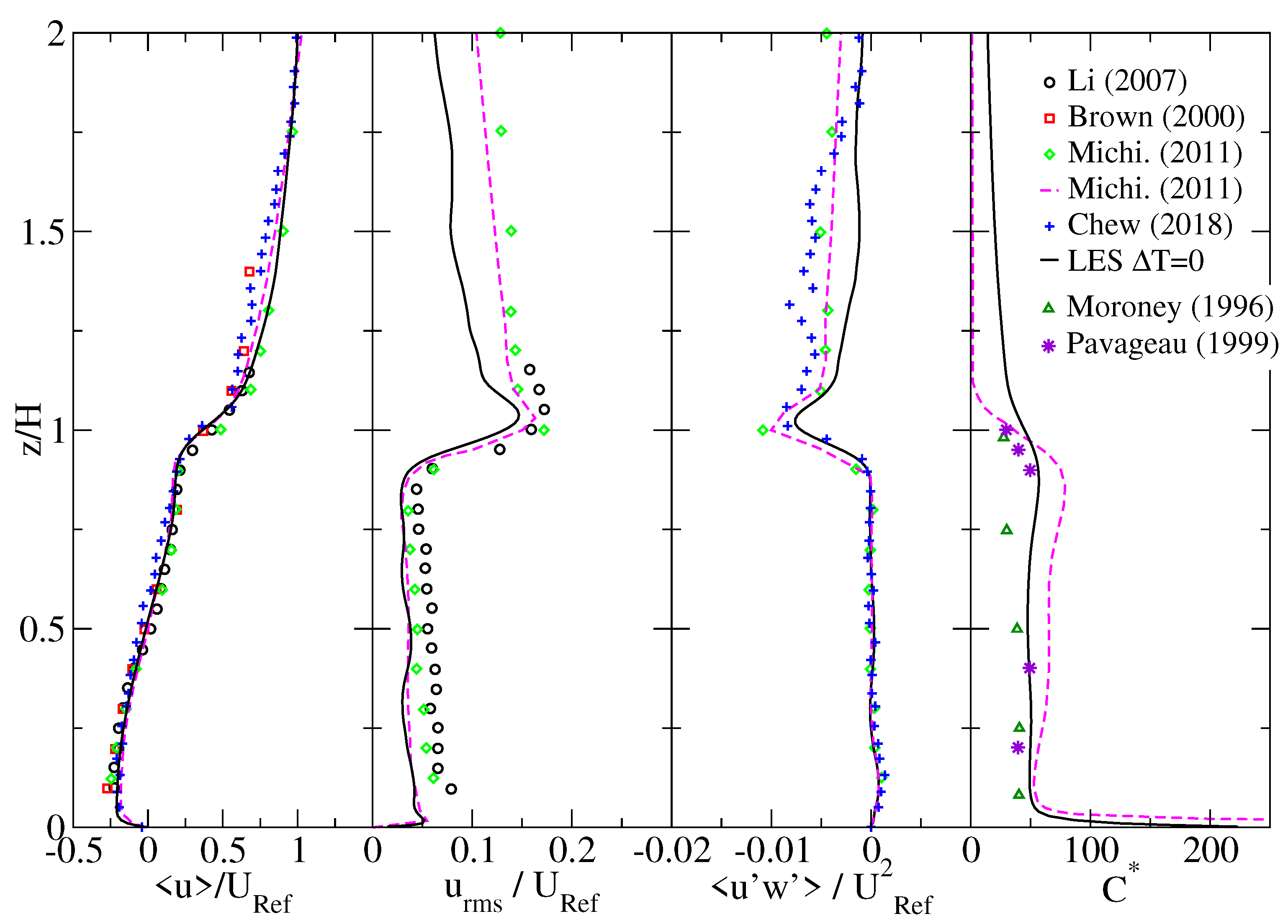
5. Simulation Approach Validation
6. Results
6.1. Overall Canyon Dynamics
- The interaction region,
- horizontally elongated and centred at the canyon-ambient interface, where the ambient flow interacts with the canyon recirculation and presents negative turbulent fluxes caused by the presence of ejection and sweep events enhancing mixing and pollutant dispersion.
- The descent-flow region,
- vertically elongated near the downwind facade, where the deflection of the ambient wind triggers a descending flow that enters the canyon and drives the principal clockwise vortex.
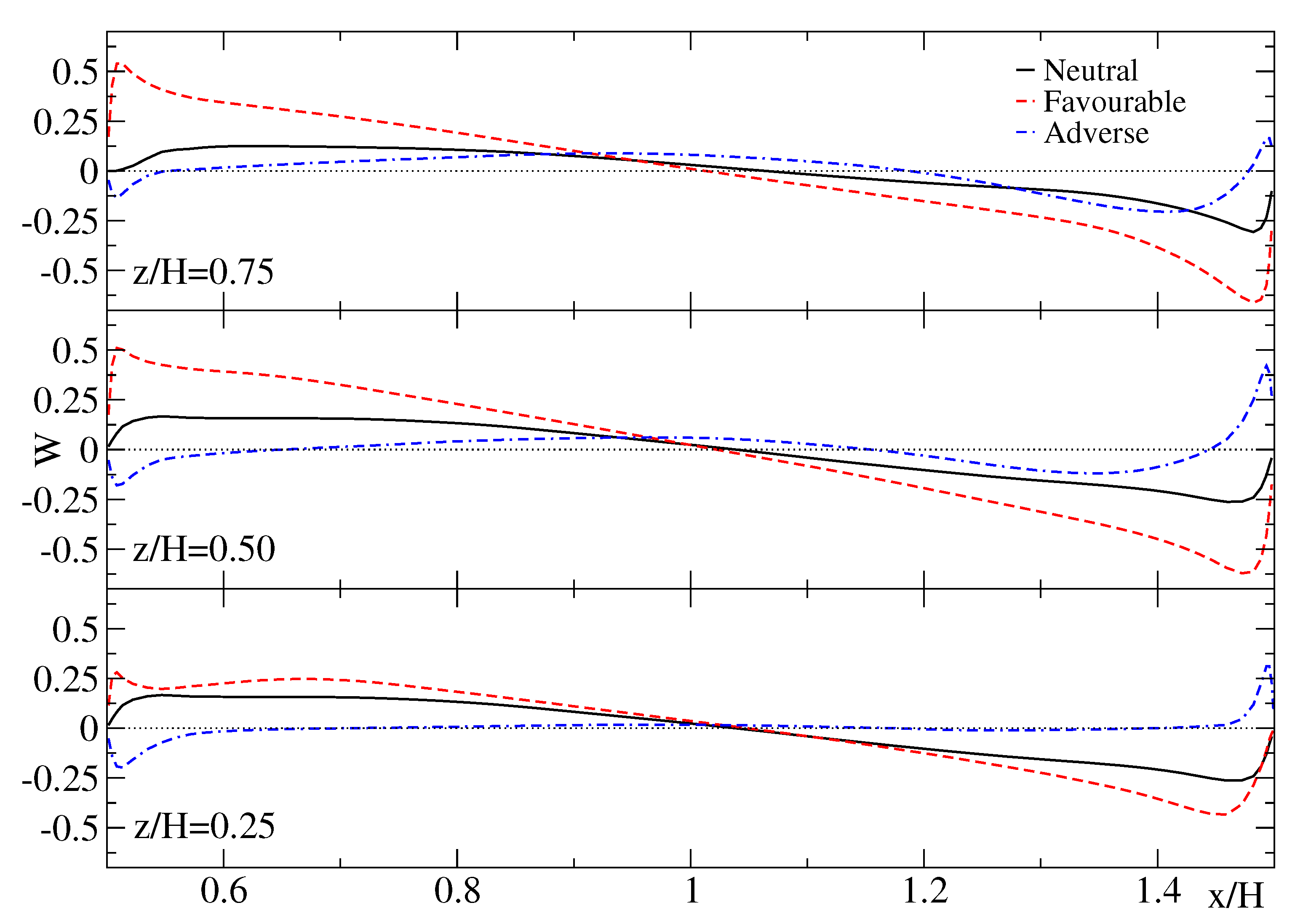
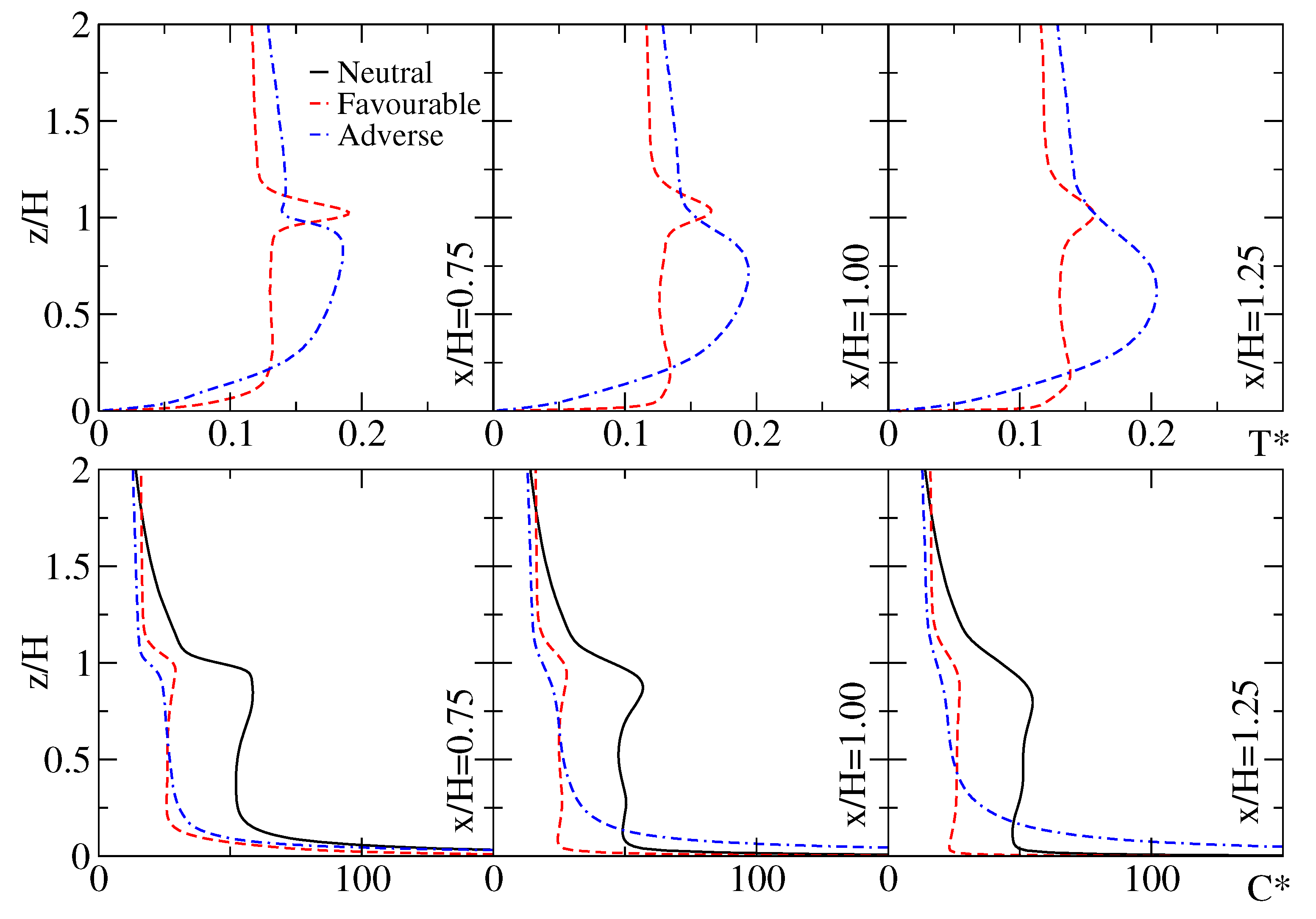
6.2. First- and Second-Order Statistics over Lines
6.3. Additional Thoughts on the Use of a Local Richardson Number
7. Conclusions
Author Contributions
Funding
Institutional Review Board Statement
Informed Consent Statement
Data Availability Statement
Acknowledgments
Conflicts of Interest
References
- Luo, Z.; Li, Y.; Nazaroff, W.W. Intake fraction of nonreactive motor vehicle exhaust in Hong Kong. Atmos. Environ. 2010, 44, 1913–1918. [Google Scholar] [CrossRef]
- Scungio, M.; Stabile, L.; Rizza, V.; Pacitto, A.; Russi, A.; Buonanno, G. Lung cancer risk assessment due to traffic-generated particles exposure in urban street canyons: A numerical modelling approach. Sci. Total. Environ. 2018, 631, 1109–1116. [Google Scholar] [CrossRef] [PubMed]
- Vardoulakis, S.; Fisher, B.E.; Pericleous, K.; Gonzalez-Flesca, N. Modelling air quality in street canyons: A review. Atmos. Environ. 2003, 37, 155–182. [Google Scholar] [CrossRef]
- Buccolieri, R.; Sandberg, M.; Di Sabatino, S. City breathability and its link to pollutant concentration distribution within urban-like geometries. Atmos. Environ. 2010, 44, 1894–1903. [Google Scholar] [CrossRef]
- Buccolieri, R.; Salizzoni, P.; Soulhac, L.; Garbero, V.; Di Sabatino, S. The breathability of compact cities. Urban Clim. 2015, 13, 73–93. [Google Scholar] [CrossRef]
- Chen, L.; Hang, J.; Sandberg, M.; Claesson, L.; Di Sabatino, S.; Wigo, H. The impacts of building height variations and building packing densities on flow adjustment and city breathability in idealized urban models. Build. Environ. 2017, 118, 344–361. [Google Scholar] [CrossRef]
- Barbano, F.; Di Sabatino, S.; Stoll, R.; Pardyjak, E.R. A numerical study of the impact of vegetation on mean and turbulence fields in a European-city neighbourhood. Build. Environ. 2020, 186, 107293. [Google Scholar] [CrossRef]
- Pulvirenti, B.; Baldazzi, S.; Barbano, F.; Brattich, E.; Di Sabatino, S. Numerical simulation of air pollution mitigation by means of photocatalytic coatings in real-world street canyons. Build. Environ. 2020, 186, 107348. [Google Scholar] [CrossRef]
- Dallman, A.; Magnusson, S.; Britter, R.; Norford, L.; Entekhabi, D.; Fernando, H.J. Conditions for thermal circulation in urban street canyons. Build. Environ. 2014, 80, 184–191. [Google Scholar] [CrossRef]
- Cheng, W.C.; Liu, C.H.; Leung, D.Y.C. On the correlation of air and pollutant exchange for street canyons in combined wind-buoyancy-driven flow. Atmos. Environ. 2009, 43, 3682–3690. [Google Scholar] [CrossRef]
- Magnusson, S.; Dallman, A.; Entekhabi, D.; Britter, R.; Fernando, H.J.; Norford, L. On thermally forced flows in urban street canyons. Environ. Fluid Mech. 2014, 14, 1427–1441. [Google Scholar] [CrossRef]
- Chen, G.; Yang, X.; Yang, H.; Hang, J.; Lin, Y.; Wang, X.; Wang, Q.; Liu, Y. The influence of aspect ratios and solar heating on flow and ventilation in 2D street canyons by scaled outdoor experiments. Build. Environ. 2020, 185, 107159. [Google Scholar] [CrossRef]
- Di Sabatino, S.; Barbano, F.; Brattich, E.; Pulvirenti, B. The Multiple-Scale Nature of Urban Heat Island and Its Footprint on Air Quality in Real Urban Environment. Atmosphere 2020, 11, 1186. [Google Scholar] [CrossRef]
- Offerle, B.; Eliasson, I.; Grimmond, C.; Holmer, B. Surface heating in relation to air temperature, wind and turbulence in an urban street canyon. Bound. Layer Meteorol. 2007, 122, 273–292. [Google Scholar] [CrossRef]
- Cai, X.M. Effects of wall heating on flow characteristics in a street canyon. Bound. Layer Meteorol. 2012, 142, 443–467. [Google Scholar] [CrossRef]
- Nazarian, N.; Martilli, A.; Norford, L.; Kleissl, J. Impacts of Realistic Urban Heating. Part II: Air Quality and City Breathability. Bound. Layer Meteorol. 2018, 168, 321–341. [Google Scholar] [CrossRef]
- Barbano, F.; Brattich, E.; Di Sabatino, S. Characteristic scales for turbulent exchange processes in a real urban canopy. Bound. Layer Meteorol. 2021, 178, 119–142. [Google Scholar] [CrossRef]
- Nazarian, N.; Martilli, A.; Kleissl, J. Impacts of Realistic Urban Heating, Part I: Spatial Variability of Mean Flow, Turbulent Exchange and Pollutant Dispersion. Bound. Layer Meteorol. 2017, 166, 367–393. [Google Scholar] [CrossRef]
- Li, X.X.; Britter, R.E.; Norford, L.K.; Koh, T.Y.; Entekhabi, D. Flow and Pollutant Transport in Urban Street Canyons of Different Aspect Ratios with Ground Heating: Large-Eddy Simulation. Bound. Layer Meteorol. 2012, 142, 289–304. [Google Scholar] [CrossRef]
- Nazarian, N.; Kleissl, J. Realistic solar heating in urban areas: Air exchange and street-canyon ventilation. Build. Environ. 2016, 95, 75–93. [Google Scholar] [CrossRef]
- Pulvirenti, B.; Di Sabatino, S. CFD characterization of street canyon heating by solar radiation on building walls. arXiv 2020, arXiv:2006.04800. [Google Scholar]
- Bottillo, S.; Vollaro, A.D.L.; Galli, G.; Vallati, A. Fluid dynamic and heat transfer parameters in an urban canyon. Sol. Energy 2014, 99, 1–10. [Google Scholar] [CrossRef]
- Battista, G.; Mauri, L. Numerical study of buoyant flows in street canyon caused by ground and building heating. Energy Procedia 2016, 101, 1018–1025. [Google Scholar] [CrossRef]
- Gronemeier, T.; Raasch, S.; Ng, E. Effects of Unstable Stratification on Ventilation in Hong Kong. Atmosphere 2017, 8, 168. [Google Scholar] [CrossRef]
- Li, Z.; Zhang, H.; Wen, C.Y.; Yang, A.S.; Juan, Y.H. Effects of height-asymmetric street canyon configurations on outdoor air temperature and air quality. Build. Environ. 2020, 183, 107195. [Google Scholar] [CrossRef]
- Allegrini, J.; Dorer, V.; Defraeye, T.; Carmeliet, J. An adaptive temperature wall function for mixed convective flows at exterior surfaces of buildings in street canyons. Build. Environ. 2012, 49, 55–66. [Google Scholar] [CrossRef]
- Zhao, Y.; Chew, L.W.; Kubilay, A.; Carmeliet, J. Isothermal and non-isothermal flow in street canyons: A review from theoretical, experimental and numerical perspectives. Build. Environ. 2020, 184, 107163. [Google Scholar] [CrossRef]
- Sini, J.F.; Anquetin, S.; Mestayer, P.G. Pollutant dispersion and thermal effects in urban street canyons. Atmos. Environ. 1996, 30, 2659–2677. [Google Scholar] [CrossRef]
- Kim, J.J.; Baik, J.J. Urban street-canyon flows with bottom heating. Atmos. Environ. 2001, 35, 3395–3404. [Google Scholar] [CrossRef]
- Santamouris, M.; Papanikolaou, N.; Koronakis, I.; Livada, I.; Asimakopoulos, D. Thermal and air flow characteristics in a deep pedestrian canyon under hot weather conditions. Atmos. Environ. 1999, 33, 4503–4521. [Google Scholar] [CrossRef]
- Louka, P.; Vachon, G.; Sini, J.F.; Mestayer, P.; Rosant, J.M. Thermal effects on the airflow in a street canyon–Nantes’ 99 experimental results and model simulations. Water Air Soil Pollut. Focus 2002, 2, 351–364. [Google Scholar] [CrossRef]
- Uehara, K.; Murakami, S.; Oikawa, S.; Wakamatsu, S. Wind tunnel experiments on how thermal stratification affects flow in and above urban street canyons. Atmos. Environ. 2000, 34, 1553–1562. [Google Scholar] [CrossRef]
- Kovar-Panskus, A.; Moulinneuf, L.; Savory, E.; Abdelqari, A.; Sini, J.F.; Rosant, J.M.; Robins, A.; Toy, N. A wind tunnel investigation of the influence of solar-induced wall-heating on the flow regime within a simulated urban street canyon. Water Air Soil Pollut. Focus 2002, 2, 555–571. [Google Scholar] [CrossRef]
- Idczak, M.; Mestayer, P.; Rosant, J.M.; Sini, J.F.; Violleau, M. Micrometeorological measurements in a street canyon during the joint ATREUS-PICADA experiment. Bound. Layer Meteorol. 2007, 124, 25–41. [Google Scholar] [CrossRef]
- Xie, X.; Liu, C.H.; Leung, D.Y. Impact of building facades and ground heating on wind flow and pollutant transport in street canyons. Atmos. Environ. 2007, 41, 9030–9049. [Google Scholar] [CrossRef]
- Li, X.X.; Leung, D.Y.C.; Liu, C.H.; Lam, K.M. Physical Modeling of Flow Field inside Urban Street Canyons. J. Appl. Meteorol. Climatol. 2007, 47, 2058–2067. [Google Scholar] [CrossRef]
- Cui, Z.; Cai, X.; Baker, J.C. Large-eddy simulation of turbulent flow in a street canyon. Q. J. R. Meteorol. Soc. 2004, 130, 1373–1394. [Google Scholar] [CrossRef]
- Rodi, W.; Constantinescu, G.; Stoesser, T. Large-Eddy Simulation in Hydraulics, 3rd ed.; CRC Press, Taylor and Francis Group: Boca Raton, FL, USA, 2013. [Google Scholar]
- Meneveau, C.; Lund, T.; Cabot, W. A Lagrangian dynamic subgrid-scale model of turbulence. J. Fluid Mech. 1996, 316, 353. [Google Scholar] [CrossRef]
- Cintolesi, C.; Pulvirenti, B.; Di Sabatino, S. Large-Eddy Simulations of Pollutant Removal Enhancement from Urban Canyons. Bound. Layer Meteorol. 2021. [Google Scholar] [CrossRef]
- Van Driest, E. On turbulent flow near a wall. J. Aeronaut. Sci. 1956, 23, 1007–1011. [Google Scholar] [CrossRef]
- Cintolesi, C.; Petronio, A.; Armenio, V. Large eddy simulation of turbulent buoyant flow in a confined cavity with conjugate heat transfer. Phys. Fluids 2015, 27. [Google Scholar] [CrossRef]
- Cintolesi, C.; Petronio, A.; Armenio, V. Large-eddy simulation of thin film evaporation and condensation from a hot plate in enclosure: First order statistics. Int. J. Heat Mass Transf. 2016, 101, 1123. [Google Scholar] [CrossRef]
- OpenFOAM. The OpenFOAM Foundation. 2018. Version 6.0. Available online: openfoam.org (accessed on 1 May 2019).
- Cintolesi, C.; Petronio, A.; Armenio, V. Turbulent structures of buoyant jet in cross-flow studied through large-eddy simulation. Environ. Fluid Mech. 2019, 19, 401–433. [Google Scholar] [CrossRef]
- Jasak, H.; Weller, H.; Gosman, A. High resolution NVD differencing scheme for arbitrarily unstructured meshes. Int. J. Numer. Meth. Fluids 1999, 31, 431–449. [Google Scholar] [CrossRef]
- Michioka, T.; Sato, A.; Takimoto, H.; Kanda, M. Large-Eddy Simulation for the Mechanism of Pollutant Removal from a Two-Dimensional Street Canyon. Bound. Layer Meteorol. 2011, 138, 195–213. [Google Scholar] [CrossRef]
- Chew, L.; Aliabadi, A.; Norford, L. Flows across high aspect ratio street canyons: Reynolds number independence revisited. Environ. Fluid Mech. 2018, 18, 1275–1291. [Google Scholar] [CrossRef]
- Nakamura, Y.; Oke, T.R. Wind, temperature and stability conditions in an east-west oriented urban canyon. Atmos. Environ. 1988, 22, 2691–2700. [Google Scholar] [CrossRef]
- Aliabadi, A.; Moradi, M.; Clement, D.; Lubitz, W.; Gharabaghi, B. Flow and temperature dynamics in an urban canyon under a comprehensive set of wind directions, wind speeds, and thermal stability conditions. Environ. Fluid Mech. 2019, 19, 81–109. [Google Scholar] [CrossRef]
- Piomelli, U.; Balaras, E. Wall-Layer Models for Large-Eddy Simulations. Annu. Rev. Fluid Mech. 2002, 34, 349–374. [Google Scholar] [CrossRef]
- Trivellato, F.; Raciti Castelli, M. On the Courant–Friedrichs–Lewy criterion of rotating grids in 2D vertical-axis wind turbine analysis. Renew. Energy 2014, 62, 53–62. [Google Scholar] [CrossRef]
- Brown, M.J.; Lawson, R.E.; Decroix, D.S.; Lee, R.L. Mean Flow and Turbulence Measurement around a 2-D Array of Buildings in a Wind Tunnel. In Proceedings of the AMS 11th Joint Conference on The Applications of Air Pollution Meteorology, Long Beach, CA, USA, 9–14 January 2000; Report LA-UR-99-5395. [Google Scholar]
- Germano, M. Turbulence: The filtering approach. J. Fluid Mech. 1992, 238, 325. [Google Scholar] [CrossRef]
- Lilly, D. A proposed modification of Germano subgrid-scale closure method. Phys. Fluids 1992, A4, 633. [Google Scholar] [CrossRef]
- Meroney, R.N.; Pavageau, M.; Rafailidis, S.; Schatzmann, M. Study of line source characteristics for 2-D physical modelling of pollutant dispersion in street canyons. J. Wind. Eng. Ind. Aerodyn. 1996, 62, 37–56. [Google Scholar] [CrossRef]
- Pavageau, M.; Schatzmann, M. Wind tunnel measurements of concentration fluctuations in an urban street canyon. Atmos. Environ. 1999, 33, 3961–3971. [Google Scholar] [CrossRef]
- Göthe, C.J.; Bjurström, R.; Ancker, K. A Simple Method of Estimating Air Recirculation in Ventilation Systems. Am. Ind. Hyg. Assoc. J. 1988, 49, 66–69. [Google Scholar] [CrossRef]
- Buccolieri, R.; Gromke, C.; Di Sabatino, S.; Ruck, B. Aerodynamic effects of trees on pollutant concentration in street canyons. Sci. Total. Environ. 2009, 407, 5247–5256. [Google Scholar] [CrossRef] [PubMed]
- Pope, S. Turbulent Flows; Cambridge University Press: Cambridge, UK, 2000. [Google Scholar]
- Fernando, H.J.; Zajic, D.; Di Sabatino, S.; Dimitrova, R.; Hedquist, B.; Dallman, A. Flow, turbulence, and pollutant dispersion in urban atmospheres. Phys. Fluids 2010, 22, 051301. [Google Scholar] [CrossRef]








| Parameter | |||
|---|---|---|---|
| Reynolds | Re | ... | |
| Grashof | Gr | ... | |
| Richardson | Ri | ... | |
| Prandlt | Pr | ... | |
| Schmidt | Sc | ... | |
| Free-stream velocity | m/s | ||
| Temperature difference | K | ||
| Gravity acceleration | g | m/s | |
| Kinematic viscosity | m/s | ||
| Thermal conductivity | m/s | ||
| Concentration conductivity | m/s | ||
| Expansion coefficient | 1/K |
| Field Study | H [m] | H/W | [m/s] | ∣∣ [K] | Re (×10) | Gr (×10) | Ri |
|---|---|---|---|---|---|---|---|
| Nakamura and Oke [49], | 17 | 1.06 | 0.71–1.71 | 2–14 | 0.81–1.93 | 0.68–2.05 | 0.28–3.19 |
| Kyoto (JP) | |||||||
| Santamouris et al. [30], | 21 | 2.47 | 1.00–4.00 | 0.5–13 | 1.40–5.60 | 1.00–25.6 | 0.81–13.04 |
| Athens (GR) | |||||||
| Louka et al. [31], | 21.1 | 1.40 | 1.00 | 0–18 | 1.41 | 0–25.5 | 0–12.83 |
| Nantes (FR) | |||||||
| Offerle et al. [14], | 15 | 2.10 | 0.84–1.86 | ≥1 | 0.84–1.86 | ≤0.35 | ≤0.10 |
| Gothenburg (SE) | ≤16 | ≥0.71 | ≥1.00 | ||||
| Aliabadi et al. [50], | 13 | 1.00 | 1.00 | 0–10 | 1.00 | 0–0.10 | 0–0.10 |
| Guelph (CA) | |||||||
| Di Sabatino et al. [13], | 33 | 1.67 | 0.65–2.50 | 1–10 | 1.43–5.94 | 10.9–18.1 | 0.61–6.34 |
| Bologna (IT) | |||||||
| Controlled field study | ... | ... | ... | ... | Re (×10) | Gr (×10) | ... |
| Idczak et al. [34], | 5.2 | 2.48 | ≤2.00 | 0.5–9 | ≤6.93 | 0.05–2.40 | 0.01–0.50 |
| Guerville (FR) | |||||||
| Chen et al. [12], | 1.2 | 1/3 | 0.10–2.00 | 10 | 0.08–1.64 | 2.65–2.70 | 0.10–39.2 |
| Guangzhou (CN) |
| Entire Domain | Canyon Region | Zero-Velocity Region | ||
|---|---|---|---|---|
| Neutral case | 24.05 | 55.88 | 69.14 | |
| 1.00 | 0.46 | 0.11 | ||
| Favourable case | 18.52 | 28.77 | 36.50 | |
| 1.00 | 0.31 | 0.08 | ||
| Adverse case | 18.79 | 40.67 | 96.627 | |
| 1.00 | 0.43 | 0.20 |
Publisher’s Note: MDPI stays neutral with regard to jurisdictional claims in published maps and institutional affiliations. |
© 2021 by the authors. Licensee MDPI, Basel, Switzerland. This article is an open access article distributed under the terms and conditions of the Creative Commons Attribution (CC BY) license (https://creativecommons.org/licenses/by/4.0/).
Share and Cite
Cintolesi, C.; Barbano, F.; Di Sabatino, S. Large-Eddy Simulation Analyses of Heated Urban Canyon Facades. Energies 2021, 14, 3078. https://doi.org/10.3390/en14113078
Cintolesi C, Barbano F, Di Sabatino S. Large-Eddy Simulation Analyses of Heated Urban Canyon Facades. Energies. 2021; 14(11):3078. https://doi.org/10.3390/en14113078
Chicago/Turabian StyleCintolesi, Carlo, Francesco Barbano, and Silvana Di Sabatino. 2021. "Large-Eddy Simulation Analyses of Heated Urban Canyon Facades" Energies 14, no. 11: 3078. https://doi.org/10.3390/en14113078
APA StyleCintolesi, C., Barbano, F., & Di Sabatino, S. (2021). Large-Eddy Simulation Analyses of Heated Urban Canyon Facades. Energies, 14(11), 3078. https://doi.org/10.3390/en14113078

