MAS-Based Decentralized Coordinated Control Strategy in a Micro-Grid with Multiple Microsources
Abstract
1. Introduction
- A two-level hierarchical control strategy based on MAS is proposed. Each lower-level agent is to implement the decentralized control for the voltage tracking of local DG. The upper-level agents are to implement the coordinated control for voltage consensus and proportional power sharing of all neighboring DGs.
- The distributed control in the lower-level agent is designed as a double-loop controller. The power controller of outer-loop is developed based on the droop control to achieve the function of wireless communication between the paralleled inverters. To improve the stability of voltage tracking, the fractional order PID (FOPID) instead of the conventional PID is used in voltage controller and current controller of inner-loop.
- The DGs’ cooperation in coordinated control based on consensus algorithm does not require the global information of MG. Each upper-level agent only exchanges the information with its neighbors via a sparse communication network. Thus, it is more flexible and reliable to achieve the voltage regulation and proportional power sharing.
2. Hierarchical Control Strategy Based on MAS
3. Distributed Coordinated Control Strategy for DG
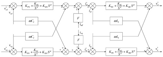
3.1. Design of Outer-Loop Power Controller
3.2. Design of Inner-Loop Voltage/Current FOPID Controller
4. Design of Coordinated Controller based on Consensus Algorithm
4.1. Graph Theory
4.2. Design of Coordinated Controller
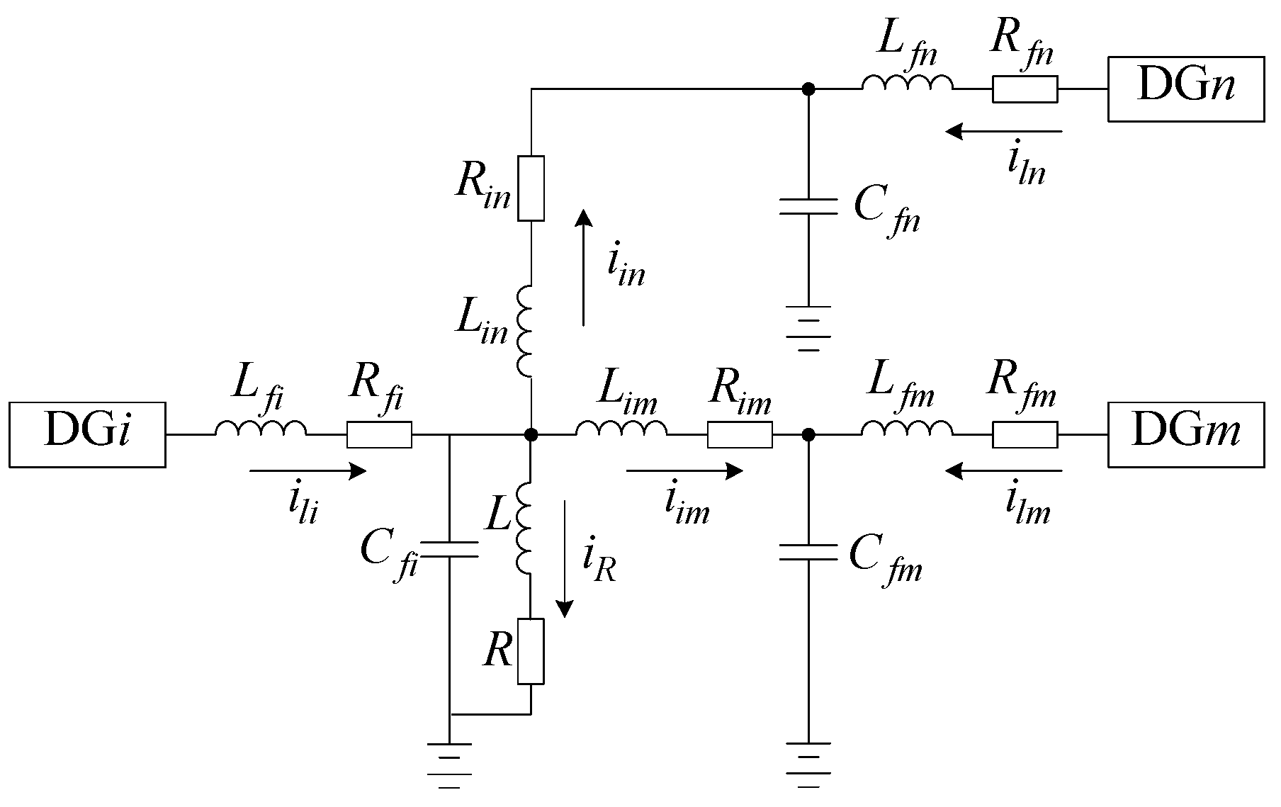
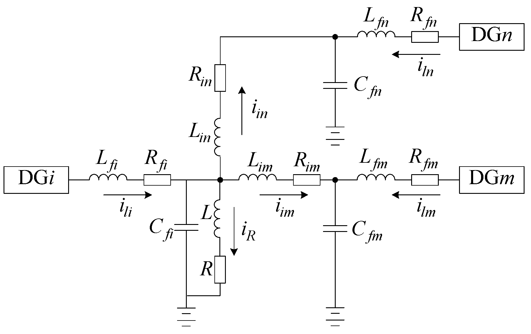
5. Analysis of Circulating Current
6. Simulation Study
6.1. Performance of Power Sharing
6.2. Performance of Voltage Regulation
6.3. Performance of Circulating Current
6.4. Performance of Voltage Tracking
7. Conclusions
Author Contributions
Acknowledgments
Conflicts of Interest
Abbreviations
| DG | Distributed generation |
| FC | Fuel cell |
| PID | Proportion-integration-differentiation |
| FOPID | Fractional order PID |
| MAS | Multi-agent system |
| MT | Micro turbines |
| PCC | Point of common coupling |
| PSO | Particle swarm optimization |
| PV | Photovoltaic |
| P-f | Active power-frequency |
| Q-U | Reactive power-voltage amplitude |
| WT | Wind turbine |
| MG | Micro-grid |
References
- Sechilariu, M.; Wang, B.; Locment, F. Building integrated photovoltaic system with energy storage and smart grid communication. IEEE Trans. Ind. Electonics 2013, 60, 1607–1618. [Google Scholar] [CrossRef]
- Zhang, Z.; Dou, C.; Zhang, B.; Yue, W. Voltage Distributed cooperative control considering communication security in photovoltaic power system. IEEE Trans. Syst. Man Cybern. Syst. 2019, 49, 1592–1600. [Google Scholar] [CrossRef]
- Katiraei, F.; Iravani, M.R. Power management strategies for a microgrid with multiple distributed generation units. IEEE Trans. Power Syst. 2006, 21, 1821–1831. [Google Scholar] [CrossRef]
- Guerrero, J.M.; Vasquez, J.C.; Matas, J.; Castilla, M.; De Vicuna, L.G.D. Control strategy for flexible microgrid based on parallel line-interactive UPS systems. IEEE Trans. Ind. Electron. 2009, 56, 726–736. [Google Scholar] [CrossRef]
- Zhang, Z.; Dou, C.; Yue, D.; Zhang, B.; Xu, S.; Hayat, T.; Alsaedi, A. An event-triggered secondary control strategy with network delay in islanded microgrids. IEEE Syst. J. 2019, 13, 1851–1860. [Google Scholar] [CrossRef]
- Elrayyah, A.; Cingoz, F.; Sozer, Y. Construction of nonlinear droop relations to optimize islanded microgrid operation. IEEE Trans. Ind. Appl. 2015, 51, 3404–3413. [Google Scholar] [CrossRef]
- Zhang, Z.; Dou, C.; Yue, D.; Zhang, B.; Luo, W. A decentralized islanded microgrids control method for frequency restoration and accurate reactive power sharing. J. Frankl. Inst. 2018, 355, 8874–8890. [Google Scholar] [CrossRef]
- He, J.; Pan, Y.; Liang, B.; Wang, C. A simple decentralized islanding microgrid power sharing method without using droop control. IEEE Trans. Smart Grid 2018, 9, 6128–6239. [Google Scholar] [CrossRef]
- Zhou, J.; Zhang, H.; Sun, Q.; Ma, D.; Huang, B. Event-based distributed active power sharing control for interconnected AC and DC microgrids. IEEE Trans. Smart Grid 2018, 9, 6815–6828. [Google Scholar] [CrossRef]
- Shafiee, Q.; Nasirian, V.; Vasquez, J.C.; Guerrero, J.M.; Davoudi, A. A multi-functional fully distributed control framework for AC microgrids. IEEE Trans. Smart Grid 2018, 9, 3247–3258. [Google Scholar] [CrossRef]
- Zhang, Z.; Dou, C.; Yue, D.; Zhang, B.; Zhang, T. Photovoltaic voltage regulation through distributed power compensation considering communication delay. Adv. Theory Simul. 2020, 3. [Google Scholar] [CrossRef]
- Wang, P.; Lu, X.; Yang, X.; Wang, W.; Xu, D. An improved distributed secondary control method for DC microgrids with enhanced dynamic current sharing performance. IEEE Trans. Power Electron. 2016, 31, 6658–6673. [Google Scholar] [CrossRef]
- Zhang, B.; Dou, C.; Yue, D.; Zhang, Z.; Zhang, T. A packet loss-dependent event-triggered cyber-physical cooperative control strategy for islanded microgrid. IEEE Trans. Cybern. 2019. [Google Scholar] [CrossRef] [PubMed]
- Zhang, B.; Dou, C.X.; Yue, D.; Zhang, Z.; Zhang, T. A cyber-physical cooperative hierarchical control strategy for islanded microgrid facing with random communication failure. IEEE Syst. J. 2020. [Google Scholar] [CrossRef]
- Mao, M.; Jin, P.; Hatziargyriou, N.D.; Chang, L. Multiagent-based hybrid energy management system for microgrids. IEEE Trans. Sustain. Energy 2014, 5, 938–946. [Google Scholar] [CrossRef]
- Dou, C.; Hao, D.; Jin, B.; Wang, W.; An, N. Multi-agent-system-based decentralized coordinated control for large power systems. Int. J. Electr. Power Energy Syst. 2014, 58, 130–139. [Google Scholar] [CrossRef]
- Liu, W.; Gu, W.; Sheng, W.; Meng, X.; Wu, Z.; Chen, W. Decentralized multi-agent system-based cooperative frequency control for autonomous microgrids with communication constraints. IEEE Trans. Sustain. Energy 2014, 5, 446–456. [Google Scholar] [CrossRef]
- Sun, Q.; Han, R.; Zhang, H.; Zhou, J.; Guerrero, J.M. A multiagent-based consensus algorithm for distributed coordinated control of distributed generators in the energy internet. IEEE Trans. Smart Grid 2015, 6, 3006–3019. [Google Scholar] [CrossRef]
- Ren, W.; Beard, R.W. Consensus seeking in multiagent systems under dynamically changing interaction topologies. IEEE Trans. Autom. Control 2005, 50, 655–661. [Google Scholar] [CrossRef]
- Olfati-Saber, R.; Fax, J.A.; Murray, R.M. Consensus and cooperation in networked multi-agent systems. Proc. IEEE 2007, 95, 215–233. [Google Scholar] [CrossRef]
- Li, Z.; Duan, Z.; Chen, G.; Huang, L. Consensus of multiagent systems and synchronization of complex networks: A unified viewpoint. IEEE Trans. Circuits Syst. I Regul. Pap. 2010, 57, 213–224. [Google Scholar]
- Fax, J.A.; Murray, R.M. Information flow and cooperative control of vehicle formations. IEEE Trans. Autom. Control 2004, 49, 1465–1476. [Google Scholar] [CrossRef]
- He, J.; Li, Y.; Guerrero, J.M.; Blaabjerg, F.; Vasquez, J.C. An islanding microgrid power sharing approach using enhanced virtual impedance control scheme. IEEE Trans. Power Electron. 2013, 28, 5272–5282. [Google Scholar] [CrossRef]
- Zhong, Q. Robust droop controller for accurate proportional load sharing among inverters operated in parallel. IEEE Trans. Ind. Electron. 2013, 60, 1281–1290. [Google Scholar] [CrossRef]
- Pogaku, N.; Prodanović, M.; Green, T.C. Modeling, analysis and testing of autonomous operation of an inverter-based microgrid. IEEE Trans. Power Electron. 2014, 22, 613–625. [Google Scholar] [CrossRef]
- Zhang, Z.; Dou, C.; Yue, D.; Zhang, B.; Li, F. Neighbor-prediction-based networked hierarchical control for islanded microgrid. Int. J. Electr. Power Energy Syst. 2019, 104, 734–743. [Google Scholar] [CrossRef]
- Majumder, R.; Chaudhuri, B.; Ghosh, A.; Majumder, R.; Ledwich, G.; Zare, F. Improvement of stability and load sharing in an autonomous microgrid using supplementary droop control loop. IEEE Trans. Power Syst. 2012, 25, 796–808. [Google Scholar] [CrossRef]
- Dou, C.; Zhang, Z.; Yue, D.; Song, M. Improved droop control based on virtual impedance and virtual power source in low-voltage microgrid. IET Gener. Transm. Distrib. 2017, 11, 1046–1054. [Google Scholar] [CrossRef]
- Monje, C.A.; Vinagre, B.M.; Feliu, V.; Chen, Y. Tuning and auto-tuning of fractional order controllers for industry applications. Control Eng. Pract. 2008, 16, 798–812. [Google Scholar] [CrossRef]
- Zamani, M.; Karimi-Ghartemani, M.; Sadati, N.; Parniani, M. Design of a fractional order PID controller for an AVR using particle swarm optimization. Control Eng. Pract. 2009, 17, 1380–1387. [Google Scholar] [CrossRef]
- Cao, J.Y.; Cao, B.G. Design of fractional order controller based on particle swarm optimization. Int. J. Control Autom. Syst. 2006, 4, 775–781. [Google Scholar]
- Chang, W.; Shih, S.P. PID controller design of nonlinear systems using an improved particle swarm optimization approach. Commun. Nonlinear Sci. Numer. Simul. 2010, 11, 3632–3639. [Google Scholar] [CrossRef]
- Li, P.; Xu, D.; Zhou, Z. Stochastic optimal operation of microgrid based on chaotic binary particle swarm optimization. IEEE Trans. Smart Grid 2016, 7, 66–73. [Google Scholar] [CrossRef]
- Zhang, H.; Lewis, F.L.; Das, A. Optimal design for synchronization of cooperative systems: State feedback, observer and output feedback. IEEE Trans. Autom. Control 2011, 56, 1948–1952. [Google Scholar] [CrossRef]
- Bidram, A.; Lewis, F.L.; Davoudi, A. Distributed control systems for small-scale power networks: Using multiagent cooperative control theory. IEEE Control Syst. Mag. 2014, 34, 56–77. [Google Scholar]
- Bidram, A.; Davoudi, A.; Lewis, F.L. Distributed cooperative secondary control of microgrids using feedback linearization. IEEE Trans. Power Syst. 2013, 28, 3462–3470. [Google Scholar] [CrossRef]
- Movric, K.H.; Lewis, F.L. Cooperative optimal control for multi-agent systems on directed graph topologies. IEEE Trans. Autom. Control 2014, 59, 769–774. [Google Scholar] [CrossRef]















© 2020 by the authors. Licensee MDPI, Basel, Switzerland. This article is an open access article distributed under the terms and conditions of the Creative Commons Attribution (CC BY) license (http://creativecommons.org/licenses/by/4.0/).
Share and Cite
Xu, S.; Sun, H.; Zhang, Z.; Guo, Q.; Zhao, B.; Bi, J.; Zhang, B. MAS-Based Decentralized Coordinated Control Strategy in a Micro-Grid with Multiple Microsources. Energies 2020, 13, 2141. https://doi.org/10.3390/en13092141
Xu S, Sun H, Zhang Z, Guo Q, Zhao B, Bi J, Zhang B. MAS-Based Decentralized Coordinated Control Strategy in a Micro-Grid with Multiple Microsources. Energies. 2020; 13(9):2141. https://doi.org/10.3390/en13092141
Chicago/Turabian StyleXu, Shiyun, Huadong Sun, Zhanqiang Zhang, Qiang Guo, Bin Zhao, Jingtian Bi, and Bo Zhang. 2020. "MAS-Based Decentralized Coordinated Control Strategy in a Micro-Grid with Multiple Microsources" Energies 13, no. 9: 2141. https://doi.org/10.3390/en13092141
APA StyleXu, S., Sun, H., Zhang, Z., Guo, Q., Zhao, B., Bi, J., & Zhang, B. (2020). MAS-Based Decentralized Coordinated Control Strategy in a Micro-Grid with Multiple Microsources. Energies, 13(9), 2141. https://doi.org/10.3390/en13092141

