Investigation of Pressure Fluctuation and Pulsating Hydraulic Axial Thrust in Francis Turbines
Abstract
1. Introduction
2. Numerical Model
2.1. Computational Domain
2.2. Turbulence Model, Numerical Schemes and Boundary Conditions
2.3. Recording Points and Sections
3. Results and Discussion
3.1. Performance Evaluation and Assessment of Unsteady 3D Flow Simulations
3.2. Pressure Fluctuations
3.2.1. In Draft Tube
3.2.2. In Runner
3.2.3. In Vaneless Space
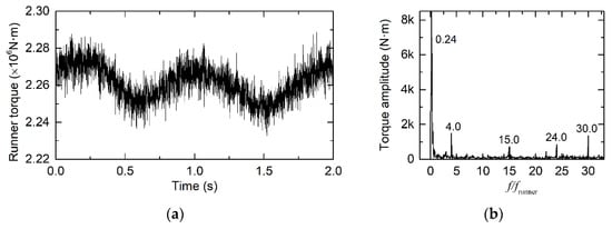
3.3. Hydraulic Axial Thrust
4. Conclusions
Author Contributions
Funding
Acknowledgments
Conflicts of Interest
References
- Li, X.Z.; Chen, Z.J.; Fan, X.C.; Cheng, Z.J. Hydropower development situation and prospects in China. Renew. Sustain. Energy Rev. 2018, 82, 232–239. [Google Scholar] [CrossRef]
- Bilgili, M.; Bilirgen, H.; Ozbek, A.; Ekinci, F.; Demirdelen, T. The role of hydropower installations for sustainable energy development in Turkey and the world. Renew. Energy 2018, 126, 755–764. [Google Scholar] [CrossRef]
- Elbatran, A.H.; Yaakob, O.B.; Ahmed, Y.M.; Shabara, H.M. Operation, performance and economic analysis of low head micro-hydropower turbines for rural and remote areas: A review. Renew. Sustain. Energy Rev. 2015, 43, 40–50. [Google Scholar] [CrossRef]
- Židonis, A.; Aggidis, G.A. State of the art in numerical modelling of Pelton turbines. Renew. Sustain. Energy Rev. 2015, 45, 135–144. [Google Scholar] [CrossRef]
- Okot, D.K. Review of small hydropower technology. Renew. Sustain. Energy Rev. 2013, 26, 515–520. [Google Scholar] [CrossRef]
- Trivedi, C.; Gandhi, B.; Michel, C.J. Effect of transients on Francis turbine runner life: A review. J. Hydraul. Res. 2013, 51, 121–132. [Google Scholar] [CrossRef]
- Gohil, P.P.; Saini, R.P. Effect of temperature, suction head and flow velocity on cavitation in a Francis turbine of small hydro power plant. Energy 2015, 93, 613–624. [Google Scholar] [CrossRef]
- Zhou, X.; Wu, H.G.; Shi, C.Z. Numerical and experimental investigation of the effect of baffles on flow instabilities in a Francis turbine draft tube under partial load conditions. Adv. Mech. Eng. 2019, 11, 1–15. [Google Scholar] [CrossRef]
- Trivedi, C.; Gandhi, B.K.; Cervantes, M.J.; Dahlhaug, O.G. Experimental investigations of a model Francis turbine during shutdown at synchronous speed. Renew. Energy 2015, 83, 828–836. [Google Scholar] [CrossRef]
- Goyal, R.; Gandhi, B.K.; Cervantes, M.J. Experimental study of mitigation of a spiral vortex breakdown at high Reynolds number under an adverse pressure gradient. Phys. Fluids 2017, 29, 104104. [Google Scholar] [CrossRef]
- Muhirwa, A.; Cai, W.-H.; Su, W.-T.; Liu, Q.; Binama, M.; Li, B.; Wu, J. A Review on Remedial Attempts to Counteract the Power Generation Compromise from Draft Tubes of Hydropower plants. Renew. Energy 2019, 150, 743–764. [Google Scholar] [CrossRef]
- Ji, X.-Y.; Li, X.-B.; Su, W.-T.; Lai, X.; Zhao, T.-X. On the hydraulic axial thrust of Francis hydro-turbine. J. Mech. Sci. Technol. 2016, 30, 2029–2035. [Google Scholar] [CrossRef]
- Wu, J.; Shimmei, K.; Tani, K.; Niikura, K.; Sato, J. CFD-based design optimization for hydro turbines. J. Fluids Eng. Trans. ASME 2007, 129, 159–168. [Google Scholar] [CrossRef]
- Kan, K.; Zheng, Y.; Zhang, X.; Yang, C.; Zhang, Y. Numerical study on unidirectional fluid-solid coupling of Francis turbine runner. Adv. Mech. Eng. 2015, 7, 1–9. [Google Scholar] [CrossRef]
- Seidel, U.; Mende, C.; Hübner, B.; Weber, W.; Otto, A. Dynamic loads in Francis runners and their impact on fatigue life. IOP Conf. Ser. Earth Environ. Sci. 2014, 22. [Google Scholar] [CrossRef]
- Pasche, S.; Gallaire, F.; Avellan, F. Origin of the synchronous pressure fluctuations in the draft tube of Francis turbines operating at part load conditions. J. Fluids Struct. 2019, 86, 13–33. [Google Scholar] [CrossRef]
- Arpe, J.; Nicolet, C.; Avellan, F. Experimental Evidence of Hydroacoustic Pressure Waves in a Francis Turbine Elbow Draft Tube for Low Discharge Conditions. J. Fluids Eng. 2009, 131, 081102. [Google Scholar] [CrossRef]
- Müller, A.; Favrel, A.; Landry, C.; Avellan, F. Fluid–structure interaction mechanisms leading to dangerous power swings in Francis turbines at full load. J. Fluids Struct. 2017, 69, 56–71. [Google Scholar] [CrossRef]
- Frunzǎverde, D.; Muntean, S.; Mǎrginean, G.; Câmpian, V.; Marşavina, L.; Terzi, R.; Şerban, V. Failure analysis of a Francis turbine runner. IOP Conf. Ser. Earth Environ. Sci. 2010, 12, 012115. [Google Scholar] [CrossRef]
- Trivedi, C.; Cervantes, M.J. Fluid-structure interactions in Francis turbines: A perspective review. Renew. Sustain. Energy Rev. 2017, 68, 87–101. [Google Scholar] [CrossRef]
- Xia, L.; Cheng, Y.; Yang, Z.; You, J.; Yang, J.; Qian, Z. Evolutions of Pressure Fluctuations and Runner Loads During Runaway Processes of a Pump-Turbine. J. Fluids Eng. 2017, 139, 091101. [Google Scholar] [CrossRef]
- Ciocan, G.D.; Iliescu, M.S.; Vu, T.C.; Nennemann, B.; Avellan, F. Experimental Study and Numerical Simulation of the FLINDT Draft Tube Rotating Vortex. J. Fluids Eng. 2007, 129, 146. [Google Scholar] [CrossRef]
- Foroutan, H.; Yavuzkurt, S. Flow in the Simplified Draft Tube of a Francis Turbine Operating at Partial Load—Part II: Control of the Vortex Rope. J. Appl. Mech. 2014, 81, 061011. [Google Scholar] [CrossRef]
- Laouari, A.; Ghenaiet, A. Predicting Unsteady Behavior of Small Francis Turbine at Several Operating Points. Renew. Energy 2018, 133, 712–724. [Google Scholar] [CrossRef]
- Anup, K.C.; Thapa, B.; Lee, Y.H. Transient numerical analysis of rotor-stator interaction in a Francis turbine. Renew. Energy 2014, 65, 227–235. [Google Scholar]
- Trivedi, C.; Gogstad, P.J.; Dahlhaug, O.G. Investigation of the unsteady pressure pulsations in the prototype Francis turbines—Part 1: Steady state operating conditions. Mech. Syst. Signal Process. 2018, 108, 188–202. [Google Scholar] [CrossRef]
- Trivedi, C.; Gogstad, P.J.; Dahlhaug, O.G.; Trivedi, C.; Gogstad, J.; Dahlhaug, O.G. Investigation of the unsteady pressure pulsations in the prototype Francis turbines during load variation and startup. J. Renew. Sustain. Energy 2017, 9, 064502. [Google Scholar] [CrossRef]
- Trivedi, C.; Cervantes, M.J.; Gandhi, B.K. Investigation of a high head Francis turbine at runaway operating conditions. Energies 2016, 9, 149. [Google Scholar] [CrossRef]
- Trivedi, C.; Cervantes, M.J.; Gandhi, B.K.; Dahlhaug, O.G. Experimental and Numerical Studies for a High Head Francis Turbine at Several Operating Points. J. Fluids Eng. 2013, 135, 111102. [Google Scholar] [CrossRef]
- Zhu, D.; Tao, R.; Xiao, R.; Pan, L. Solving the runner blade crack problem for a Francis hydro-turbine operating under condition-complexity. Renew. Energy 2020, 149, 298–320. [Google Scholar] [CrossRef]
- Trivedi, C.; Agnalt, E.; Dahlhaug, O.G. Investigations of unsteady pressure loading in a Francis turbine during variable-speed operation. Renew. Energy 2017, 113, 397–410. [Google Scholar] [CrossRef]
- Trivedi, C.; Dahlhaug, O.G. Interaction between trailing edge wake and vortex rings in a Francis turbine at runaway condition: Compressible large eddy simulation. Phys. Fluids 2018, 30, 075101. [Google Scholar] [CrossRef]
- Wang, Z.; Zhou, L. Simulations and measurements of pressure oscillations caused by vortex ropes. J. Fluids Eng. Trans. ASME 2006, 128, 649–655. [Google Scholar] [CrossRef]
- Gao, Z.; Zhu, W.; Meng, L.; Zhang, J.; Zhang, F.; Pan, L.; Lu, L. Experimental Study of the Francis Turbine Pressure Fluctuations and the Pressure Fluctuations Superposition Phenomenon Inside the Runner. J. Fluids Eng. 2018, 140, 1–9. [Google Scholar] [CrossRef]
- Iliev, I.; Trivedi, C.; Agnalt, E.; Dahlhaug, O.G. Variable-speed operation and pressure pulsations in a Francis turbine and a pump-turbine. IOP Conf. Ser. Earth Environ. Sci. 2019, 240, 072034. [Google Scholar] [CrossRef]
- Trivedi, C.; Cervantes, M.J.; Gandhi, B.K.; Dahlhaug, O.G. Transient Pressure Measurements on a High Head Model Francis Turbine During Emergency Shutdown, Total Load Rejection, and Runaway. J. Fluids Eng. 2014, 136, 121107. [Google Scholar] [CrossRef]
- Trivedi, C.; Cervantes, M.J.; Dahlhaug, O.G. Experimental and numerical studies of a high-head Francis turbine: A review of the Francis-99 test case. Energies 2016, 9, 74. [Google Scholar] [CrossRef]
- Trivedi, C. Investigations of Compressible Turbulent Flow in a High-Head Francis Turbine. J. Fluids Eng. Trans. ASME 2018, 140, 1–17. [Google Scholar] [CrossRef]
- Xing, Z.; Hegao, W.; Kai, S. Overview and discussion on hydraulic axial thrust in Francis turbine research. J. Hydraul. Eng. 2019, 50, 1242–1252. [Google Scholar]
- Zhang, C.H.; Zhang, Y.L. Nonlinear dynamic analysis of the Three Gorge Project powerhouse excited by pressure fluctuation. J. Zhejiang Univ. Sci. A 2009, 10, 1231–1240. [Google Scholar] [CrossRef]
- Hegao, W.; Xing, Z.; Xing, Z.; Zhimin, Z. Flow-induced vibration analysis of hydropower plant under two transfer paths. J. Huazhong Univ. Sci. Technol. Sci. Ed. 2020, 48, 1–6. [Google Scholar]


















| Component | Spiral Case | Stay Vane | Guide Vane | Runner | Draft Tube | Total |
|---|---|---|---|---|---|---|
| Elements | 0.09 | 0.84 | 1.20 | 1.48 | 0.51 | 4.12 |
| Nodes | 0.06 | 0.77 | 1.10 | 0.26 | 0.49 | 2.68 |
| Turbulence Model | Boundary Conditions | Rotation Speed of the Runner | Discretization Scheme | Time Step | ||
|---|---|---|---|---|---|---|
| Pressure Inlet | Pressure Outlet | Diffusion Term | Convective Term | |||
| RNG k–ε | 1.18 MPa | 0.04 MPa | 250 rpm | second-order central difference | Second-order upwind | 0.0005 s |
© 2020 by the authors. Licensee MDPI, Basel, Switzerland. This article is an open access article distributed under the terms and conditions of the Creative Commons Attribution (CC BY) license (http://creativecommons.org/licenses/by/4.0/).
Share and Cite
Zhou, X.; Shi, C.; Miyagawa, K.; Wu, H.; Yu, J.; Ma, Z. Investigation of Pressure Fluctuation and Pulsating Hydraulic Axial Thrust in Francis Turbines. Energies 2020, 13, 1734. https://doi.org/10.3390/en13071734
Zhou X, Shi C, Miyagawa K, Wu H, Yu J, Ma Z. Investigation of Pressure Fluctuation and Pulsating Hydraulic Axial Thrust in Francis Turbines. Energies. 2020; 13(7):1734. https://doi.org/10.3390/en13071734
Chicago/Turabian StyleZhou, Xing, Changzheng Shi, Kazuyoshi Miyagawa, Hegao Wu, Jinhong Yu, and Zhu Ma. 2020. "Investigation of Pressure Fluctuation and Pulsating Hydraulic Axial Thrust in Francis Turbines" Energies 13, no. 7: 1734. https://doi.org/10.3390/en13071734
APA StyleZhou, X., Shi, C., Miyagawa, K., Wu, H., Yu, J., & Ma, Z. (2020). Investigation of Pressure Fluctuation and Pulsating Hydraulic Axial Thrust in Francis Turbines. Energies, 13(7), 1734. https://doi.org/10.3390/en13071734

