Coordination Mechanism for PV Battery Systems with Local Optimizing Energy Management
Abstract
1. Introduction
2. State of the Art
2.1. Energy Management for Single PV Battery Systems
2.2. Coordination Mechanisms for PV Battery Systems
- Decentralized fully-independent [33].
3. Modelling
3.1. Model of a Single PV Battery System
3.2. Model of the Neighborhood of Coupled PV Battery Systems
4. Coordination Mechanism Including Local Optimizing Energy Management
4.1. Financial Incentive for Exchanging Energy Within the Neighborhood
4.2. Local Energy Management
4.3. Coordination Algorithm
4.4. Evaluation Criteria
5. Simulation-Based Investigations
5.1. Simulation Setup
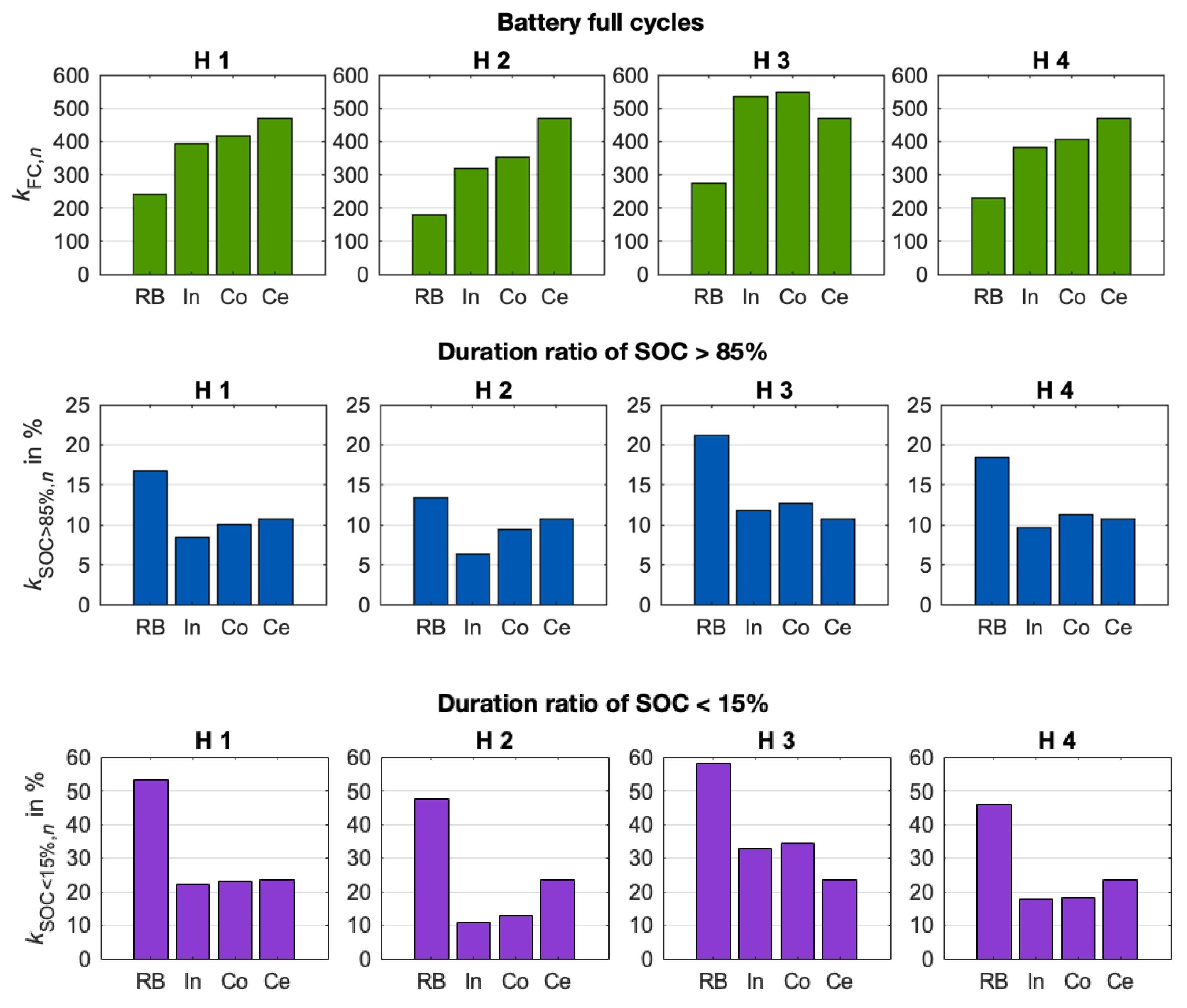
- Distributed rule-based EM (RB): The battery power is set equal to the residual power ; the battery can be charged as long as the maximum SOC value is not exceeded and can be discharged as long as the battery state of charge does not fall below . This control strategy aims at maximizing individual self-sufficiency.
- Distributed independent optimizing EM (IndOpt): The local EM utilizes model predictive control, as described in Section 4.2, but without the coordination algorithm and instead only uses the independent cost function. Like CoordOpt, ideal forecasts are considered.
- Central optimizing EM (CentralOpt): The whole neighborhood is considered as one PV battery system and is controlled by one central optimizing EM. The PV and load profiles, as well as the battery capacities and the battery inverters’ nominal powers, are simply added up (see Table 4). The central EM uses the same control strategy as the local EM of IndOpt but is adapted to a higher battery capacity. In order to compare this EM with the distributed control strategies, the power flow of the virtually central 20 kWh battery is equally distributed to households H 1–H 4. One can interpret the distributed batteries as being centrally controlled and operating at the same SOC.
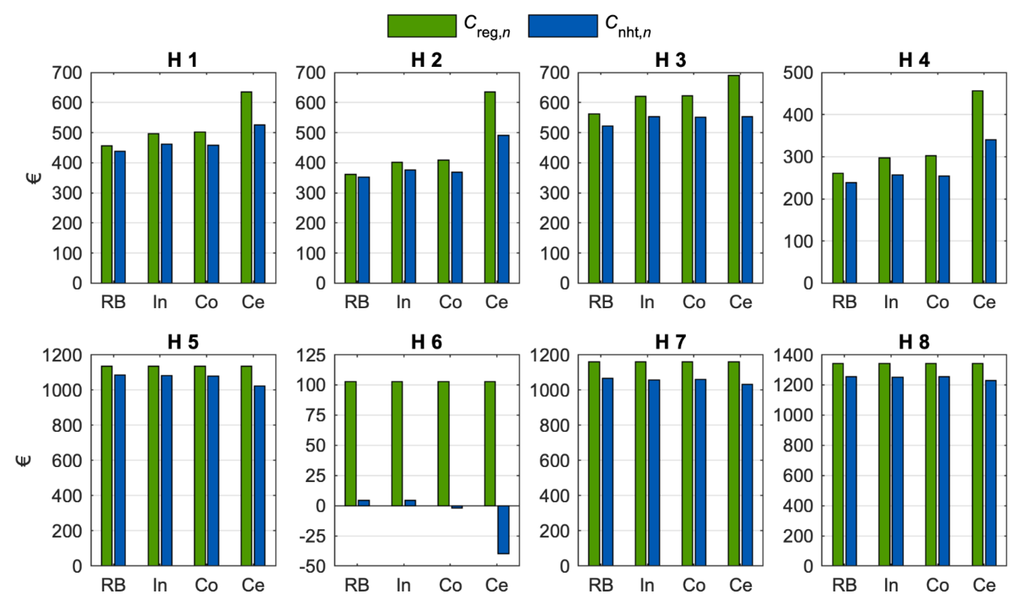
5.2. Simulation Results
6. Summary and Outlook
Author Contributions
Funding
Conflicts of Interest
Appendix A
Appendix B


References
- Bocklisch, T. Hybrid energy storage approach for renewable energy applications. J. Energy Storage 2016, 8, 311–319. [Google Scholar] [CrossRef]
- Paulitschke, M.; Bocklisch, T.; Böttiger, M. Comparison of particle swarm and genetic algorithm based design algorithms for PV-hybrid systems with battery and hydrogen storage path. Energy Procedia 2017, 135, 452–463. [Google Scholar] [CrossRef]
- Bocklisch, T.; Lindner, J. Technical and Economic Investigation and Comparison of Photovoltaic–Wind Energy–Hybrid Systems with Battery and Heat-storage Path. Energy Procedia 2016, 99, 350–359. [Google Scholar] [CrossRef][Green Version]
- Bocklisch, T.; Böttiger, M.; Paulitschke, M. Multi-storage Hybrid System Approach and Experimental Investigations. Energy Procedia 2014, 46, 186–193. [Google Scholar] [CrossRef]
- Bocklisch, T. Intelligente dezentrale Energiespeichersysteme. uwf UmweltWirtschaftsForum 2014, 22, 63–70. [Google Scholar] [CrossRef]
- Gelleschus, R.; Böttiger, M.; Bocklisch, T. Optimization-Based Control Concept with Feed-in and Demand Peak Shaving for a PV Battery Heat Pump Heat Storage System. Energies 2019, 12, 2098. [Google Scholar] [CrossRef]
- Weniger, J.; Bergner, J.; Tjaden, T.; Quaschning, V. Solarspeicherstudie: Dezentrale Solarstromspeicher für die Energiewende; Hochschule für Technik und Wirtschaft HTW Berlin: Berlin, Germany, 2015; Available online: https://pvspeicher.htw-berlin.de/solarspeicherstudie (accessed on 28 November 2019).
- Figgener, J.; Haberschusz, D.; Kairies, K.-P.; Wessels, O.; Tepe, B.; Ebbert, M.; Herzog, R.; Sauer, D.U. Wissenschaftliches Mess- und Evaluierungsprogramm Solarstromspeicher 2.0; Institut für Stromrichtertechnik und Elektrische Antriebe RWTH Aachen: Aachen, Germany, 2018; Available online: http://www.speichermonitoring.de/ueber-pv-speicher/studien.html (accessed on 28 November 2019).
- Bergner, J.; Weniger, J.; Tjaden, T.; Quaschning, V. Feed-in power limitation of grid-connected PV battery systems with autonomous forecast-based operation strategies. In Proceedings of the 29th European Photovoltaic Solar Energy Conference and Exhibition, Amsterdam, The Netherlands, 22–26 September 2014; pp. 2363–2370. [Google Scholar] [CrossRef]
- Gelleschus, R.; Böttiger, M.; Stange, P.; Bocklisch, T. Comparison of optimization solvers in the model predictive control of a PV-battery-heat pump system. Energy Procedia 2018, 155, 524–535. [Google Scholar] [CrossRef]
- Böttiger, M.; Paulitschke, M.; Bocklisch, T. Innovative Reactive Energy Management for a Photovoltaic Battery System. Energy Procedia 2016, 99, 341–349. [Google Scholar] [CrossRef]
- Braam, F.; Hollinger, R.; Luebeck, C.; Mueller, S.; Wille-Haussmann, B. Grid-Oriented Operation of Photovoltaic-Battery Systems. In Proceedings of the International ETG-Congress 2013; Symposium 1: Security in Critical Infrastructures Today, Berlin, Germany, 5–6 November 2013; pp. 1–6, ISBN 978-3-8007-3550-1. [Google Scholar]
- Celik, B.; Roche, R.; Suryanarayanan, S.; Bouquain, D.; Miraoui, A. Electric energy management in residential areas through coordination of multiple smart homes. Renew. Sustain. Energy Rev. 2017, 80, 260–275. [Google Scholar] [CrossRef]
- Kersic, M. Entwurf und simulationsgestützte Untersuchung eines übergeordneten, optimierenden Betriebsführungsverfahrens für kooperierende PV-Batteriespeichersysteme. Master’s Thesis, TU Dresden, Dresden, 2018. [Google Scholar] [CrossRef]
- Resch, M.; Ramadhani, B.; Bühler, J.; Sumper, A. Comparison of control strategies of residential PV storage systems. In Proceedings of the 9th International Renewable Energy Storage Conference and Exhibition (IRES), Düsseldorf, Germany, 9–11 March 2015. [Google Scholar] [CrossRef]
- Williams, C.; Binder, J.; Danzer, M.; Sehnke, F.; Felder, M. Battery charge control schemes for increased grid compatibility of decentralized PV systems. In Proceedings of the 28th European Photovoltaic Solar Energy Conference, Paris, France, 30 September–4 October 2013; pp. 1–6. [Google Scholar]
- Cheng, Y.-S.; Liu, Y.-H.; Hesse, H.; Naumann, M.; Truong, C.; Jossen, A. A PSO-Optimized Fuzzy Logic Control-Based Charging Method for Individual Household Battery Storage Systems within a Community. Energies 2018, 11, 469. [Google Scholar] [CrossRef]
- Vigneysh, T.; Kumarappan, N. Autonomous operation and control of photovoltaic/solid oxide fuel cell/battery energy storage based microgrid using fuzzy logic controller. Int. J. Hydrog. Energy 2016, 41, 1877–1891. [Google Scholar] [CrossRef]
- Hanna, R.; Kleissl, J.; Nottrott, A.; Ferry, M. Energy dispatch schedule optimization for demand charge reduction using a photovoltaic-battery storage system with solar forecasting. Sol. Energy 2014, 103, 269–287. [Google Scholar] [CrossRef]
- Khalilpour, R.; Vassallo, A. Planning and operation scheduling of PV-battery systems. Renew. Sustain. Energy Rev. 2016, 53, 194–208. [Google Scholar] [CrossRef]
- Ratnam, E.L.; Weller, S.R.; Kellett, C.M. An optimization-based approach to scheduling residential battery storage with solar PV. Renew. Energy 2015, 75, 123–134. [Google Scholar] [CrossRef]
- Riffonneau, Y.; Bacha, S.; Barruel, F.; Baghzouz, Y.; Zamaï, E. Optimal Reactive Supervision of Grid Connected PV System with Batteries in Real Conditions. Int. Rev. Electr. Eng. 2012, 7, 4607–4615. [Google Scholar]
- Ranaweera, I.; Midtgård, O.-M. Optimization of operational cost for a grid-supporting PV system with battery storage. Renew. Energy 2016, 88, 262–272. [Google Scholar] [CrossRef]
- Li, J.; Danzer, M.A. Optimal charge control strategies for stationary photovoltaic battery systems. J. Power Sources 2014, 258, 365–373. [Google Scholar] [CrossRef]
- Wu, X.; Hu, X.; Moura, S.; Yin, X.; Pickert, V. Stochastic control of smart home energy management with plug-in electric vehicle battery energy storage and photovoltaic array. J. Power Sources 2016, 333, 203–212. [Google Scholar] [CrossRef]
- Beck, A.; Derksen, C.; Lehnhoff, S.; Linnenberg, T.; Nieße, A.; Rohbogner, G. Energiesysteme und das Paradigma des Agenten. In Agentensysteme in der Automatisierungstechnik; Göhner, P., Ed.; Springer: Berlin/Heidelberg, Germaany, 2013; pp. 21–42. [Google Scholar] [CrossRef]
- Ranaweera, I.; Midtgård, O.-M.; Korpås, M. Distributed control scheme for residential battery energy storage units coupled with PV systems. Renew. Energy 2017, 113, 1099–1110. [Google Scholar] [CrossRef]
- Celik, B.; Roche, R.; Bouquain, D.; Miraoui, A. Increasing local renewable energy use in smart neighborhoods through coordinated trading. In Cyber-Physical-Social Systems and Constructs in Electric Power Engineering; Suryanarayanan, S., Roche, R., Hansen, T.M., Eds.; IET Digital Library: London, UK, 2016; pp. 217–252. ISBN 978-1-84919-936-0. [Google Scholar]
- Guo, Y.; Pan, M.; Fang, Y.; Khargonekar, P.P. Decentralized Coordination of Energy Utilization for Residential Households in the Smart Grid. IEEE Trans. Smart Grid 2013, 4, 1341–1350. [Google Scholar] [CrossRef]
- Li, N.; Chen, L.; Low, S.H. Optimal demand response based on utility maximization in power networks. In Proceedings of the IEEE Power and Energy Society General Meeting, Detroit, MI, USA, 24–28 July 2011; pp. 1–8. [Google Scholar] [CrossRef]
- Deng, R.; Yang, Z.; Chen, J.; Asr, N.R.; Chow, M.-Y. Residential Energy Consumption Scheduling. IEEE Trans. Smart Grid 2014, 5, 1340–1350. [Google Scholar] [CrossRef]
- Mohsenian-Rad, A.H.; Wong, V.W.S.; Jatskevich, J.; Schober, R.; Leon-Garcia, A. Autonomous Demand-Side Management Based on Game-Theoretic Energy Consumption Scheduling for the Future Smart Grid. IEEE Trans. Smart Grid 2010, 1, 320–331. [Google Scholar] [CrossRef]
- Chen, H.; Li, Y.; Louie, R.H.Y.; Vucetic, B. Autonomous Demand Side Management Based on Energy Consumption Scheduling and Instantaneous Load Billing. IEEE Trans. Smart Grid 2014, 5, 1744–1754. [Google Scholar] [CrossRef]
- Andoni, M.; Robu, V.; Flynn, D.; Abram, S.; Geach, D.; Jenkins, D.; McCallum, P.; Peacock, A. Blockchain technology in the energy sector. Renew. Sustain. Energy Rev. 2019, 100, 143–174. [Google Scholar] [CrossRef]
- McArthur, S.D.J.; Davidson, E.M.; Catterson, V.M.; Dimeas, A.L.; Hatziargyriou, N.D.; Ponci, F.; Funabashi, T. Multi-Agent Systems for Power Engineering Applications—Part I. IEEE Trans. Power Syst. 2007, 22, 1743–1752. [Google Scholar] [CrossRef]
- Saad, W.; Han, Z.; Poor, H.V.; Basar, T. Game-Theoretic Methods for the Smart Grid: An Overview of Microgrid Systems, Demand-Side Management, and Smart Grid Communications. IEEE Signal Process. Mag. 2012, 29, 86–105. [Google Scholar] [CrossRef]
- Mengelkamp, E.; Staudt, P.; Garttner, J.; Weinhardt, C. Trading on Local Energy Markets: A comparison of Market Designs and Bidding Strategies. In Proceedings of the 14th International Conference on the European Energy Market (EEM), Dresden, Germany, 6–9 June 2017; pp. 1–6. [Google Scholar] [CrossRef]
- Böttiger, M.; Bocklisch, T.; Paulitschke, M. Systematic experimental pulse test investigation for parameter identification of an equivalent circuit based lithium-ion battery model. Energy Procedia 2017, 135, 337–346. [Google Scholar] [CrossRef]
- V. Oppen, M.; Streitmayer, A.; Huneke, F. Impulspapier Bürgerstromhandel; Energy Brainpool GmbH & Co. KG: Berlin, Germany, 2017; Available online: https://www.energybrainpool.com/analyse/studienverzeichnis.html (accessed on 28 November 2019).
- Tjaden, T.; Bergner, J.; Weniger, J.; Quaschning, V. Repräsentative elektrische Lastprofile für Wohngebäude in Deutschland auf 1-sekündiger Datenbasis; Hochschule für Technik und Wirtschaft HTW: Berlin, Germany, 2015. [Google Scholar] [CrossRef]















| Technology | Nominal Capacity | Nominal Voltage | Nominal Power |
|---|---|---|---|
| Lithium nickel manganese cobalt | 106 Ah | 48 V | 5 kW |
| Name | Equation |
|---|---|
| Individual feed-in power to the grid | (2) |
| Individual consumed power from the grid | (3) |
| Sum of individual feed-in power to the grid | (4) |
| Sum of individual consumed power from the grid | (5) |
| Aggregated grid power of the neighborhood | (6) |
| Power exchanged within the neighborhood | (7) |
| Neighborhood’s feed-in power to the superordinate grid | (8) |
| Neighborhood’s consumed power from the superordinate grid | (9) |
| Name | Equation |
|---|---|
| Energy consumed from the superordinate grid | (25) |
| Energy fed into the superordinate grid | (26) |
| Energy exchanged within the neighborhood | (27) |
| Individual degree of self-sufficiency | (28) |
| Mean individual degree of self-sufficiency | (29) |
| Individual neighborhood consumption ratio | (30) |
| Mean individual neighborhood consumption ratio | (31) |
| Degree of self-sufficiency of the neighborhood | (32) |
| Individual degree of self-consumption | (33) |
| Mean individual degree of self-consumption | (34) |
| Individual neighborhood feed-in ratio | (35) |
| Mean individual neighborhood feed-in ratio | (36) |
| Degree of self-consumption of the neighborhood | (37) |
| Individual costs with regular tariffs | (38) |
| Neighborhood’s aggregated costs with regular tariffs | (39) |
| Individual costs with additional neighborhood tariffs | (40) |
| Neighborhood’s aggregated costs with additional neighborhood tariffs | (41) |
| Number of battery full cycles | (42) |
| Duration ratio of SOC above 85% | (43) |
| Duration ratio of SOC below 15% | (44) |
| H 1 | H 2 | H 3 | H 4 | H 5 | H 6 | H 7 | H 8 | ∑ | |
|---|---|---|---|---|---|---|---|---|---|
| Annual energy consumption in MWh | 5.3 | 3.2 | 7.5 | 4.5 | 6.6 | 3.4 | 3.9 | 4.5 | 38.9 |
| PV peak power in kWp | 6 | 3 | 10 | 6 | 5 | 7 | - | - | 37 |
| Battery capacity in kWh | 5 | 5 | 5 | 5 | - | - | - | - | 20 |
| Simulation Parameters | Optimization Parameters | ||
|---|---|---|---|
| Simulation time | 363 d | Prediction horizon | 36 h |
| Simulation time step | 1 min | Prediction horizon time step | 15 min |
| Regular energy price | 0.30 €/kWh | Reoptimization time interval | 15 min |
| Regular feed-in tariff | 0.10 €/kWh | Allowed range for | 10%–90% |
| Neighborhood energy price | 0.225 €/kWh | SOC discretization | 0.5% |
| Neighborhood feed-in tariff | 0.175 €/kWh | Allowed range for | −2.5 kW–2.5 kW |
| Allowed range for | 10%–90% | Weighting factor | 10#x2212;9 |
| Allowed range for | −5 kW–5 kW | Maximum number of iterations | 20 |
| Convergence parameter | 0.001 | ||
| Evaluation Criteria | RB | IndOpt | CoordOpt | CentralOpt |
|---|---|---|---|---|
| Energy consumed from the superordinate grid | 21.8 MWh | 21.7 MWh | 21.5 MWh | 21.4 MWh |
| Energy fed into the superordinategrid | 17.2 MWh | 16.5 MWh | 16.3 MWh | 16.1 MWh |
| Energy exchanged within the neighborhood | 2.8 MWh | 3.5 MWh | 3.7 MWh | 6.7 MWh |
| Degree of self-sufficiency of the neighborhood | 43.5% | 43.7% | 44.2% | 44.5% |
| Degree of self-consumption of the neighborhood | 51.0% | 52.9% | 53.7% | 54.2% |
| Neighborhood’s aggregated costs with regular tariffs | 5383 € | 5557 € | 5576 € | 6158 € |
| Neighborhood’s aggregated costs with additional neighborhood tariffs | 4959 € | 5040 € | 5020 € | 5152 € |
© 2020 by the authors. Licensee MDPI, Basel, Switzerland. This article is an open access article distributed under the terms and conditions of the Creative Commons Attribution (CC BY) license (http://creativecommons.org/licenses/by/4.0/).
Share and Cite
Kersic, M.; Bocklisch, T.; Böttiger, M.; Gerlach, L. Coordination Mechanism for PV Battery Systems with Local Optimizing Energy Management. Energies 2020, 13, 611. https://doi.org/10.3390/en13030611
Kersic M, Bocklisch T, Böttiger M, Gerlach L. Coordination Mechanism for PV Battery Systems with Local Optimizing Energy Management. Energies. 2020; 13(3):611. https://doi.org/10.3390/en13030611
Chicago/Turabian StyleKersic, Manuel, Thilo Bocklisch, Michael Böttiger, and Lisa Gerlach. 2020. "Coordination Mechanism for PV Battery Systems with Local Optimizing Energy Management" Energies 13, no. 3: 611. https://doi.org/10.3390/en13030611
APA StyleKersic, M., Bocklisch, T., Böttiger, M., & Gerlach, L. (2020). Coordination Mechanism for PV Battery Systems with Local Optimizing Energy Management. Energies, 13(3), 611. https://doi.org/10.3390/en13030611

