Modeling Study on Heat Transfer in Marangoni Dropwise Condensation for Ethanol-Water Mixture Vapors
Abstract
1. Introduction
2. Physical Model of Marangoni Dropwise Condensation
- (1)
- The main vapor is saturated.
- (2)
- The interface between the condensate layer and the vapor diffusion layer is saturated.
- (3)
- The component concentration in the condensate liquid is uniform.
- (4)
- The thin condensate film under the drops with a thickness of about 1 μm is neglected.
- (5)
- The effect of the movement drops on the gas diffusion layer is not included.
3. Mathematical Model of Marangoni Dropwise Condensation
3.1. Heat Transfer through Condensate Drops
- (1)
- The temperature of the condensing surface is uniform.
- (2)
- The condensate drops are hemispherical and heat is transferred by conduction.
3.1.1. Heat Transfer through Single Drop
3.1.2. The Drop Size Distribution
3.1.3. The Maximum Drop Radius
3.1.4. The Minimum Drop Radius
3.1.5. Condensation Heat Flux and Heat Transfer Coefficient
3.2. Heat Transfer through the Vapor Diffusion Layer
3.2.1. Governing Equations
3.2.2. Boundary Conditions
3.3. The Solution Procedure of the Model
4. Results and Discussion
4.1. Vapor-Liquid Interface Temperature
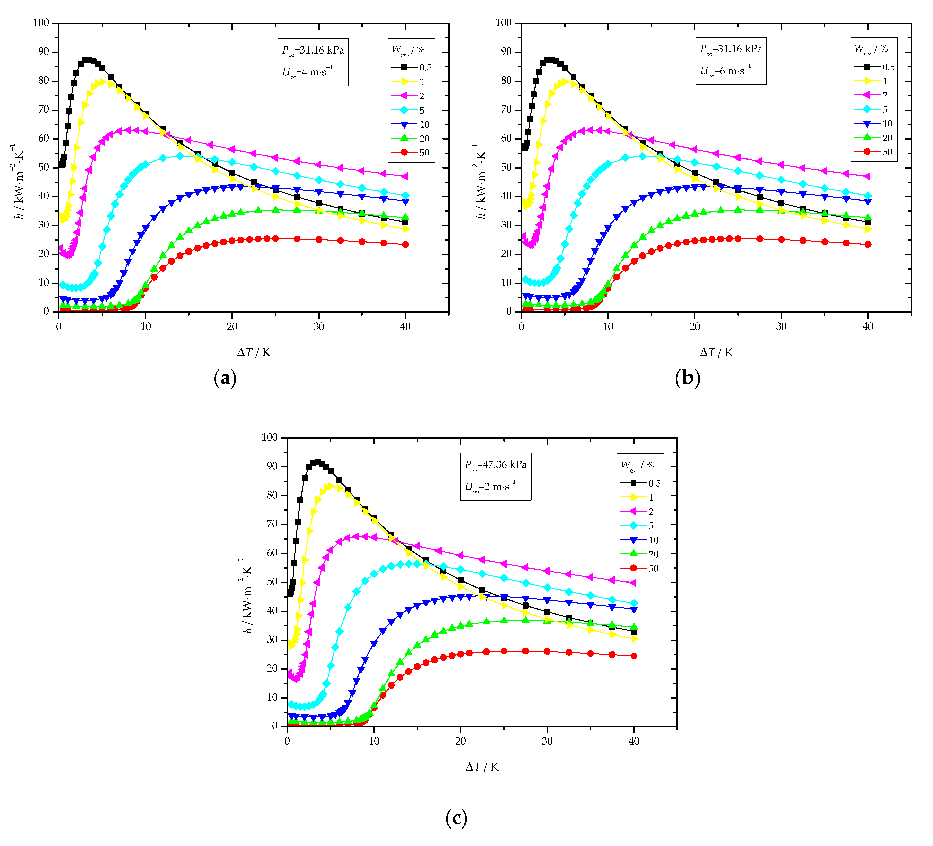
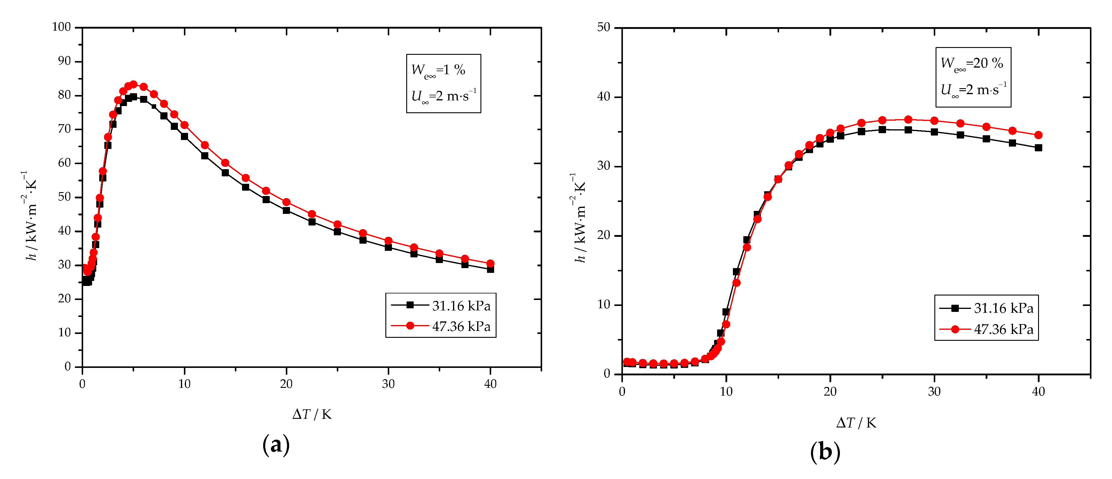
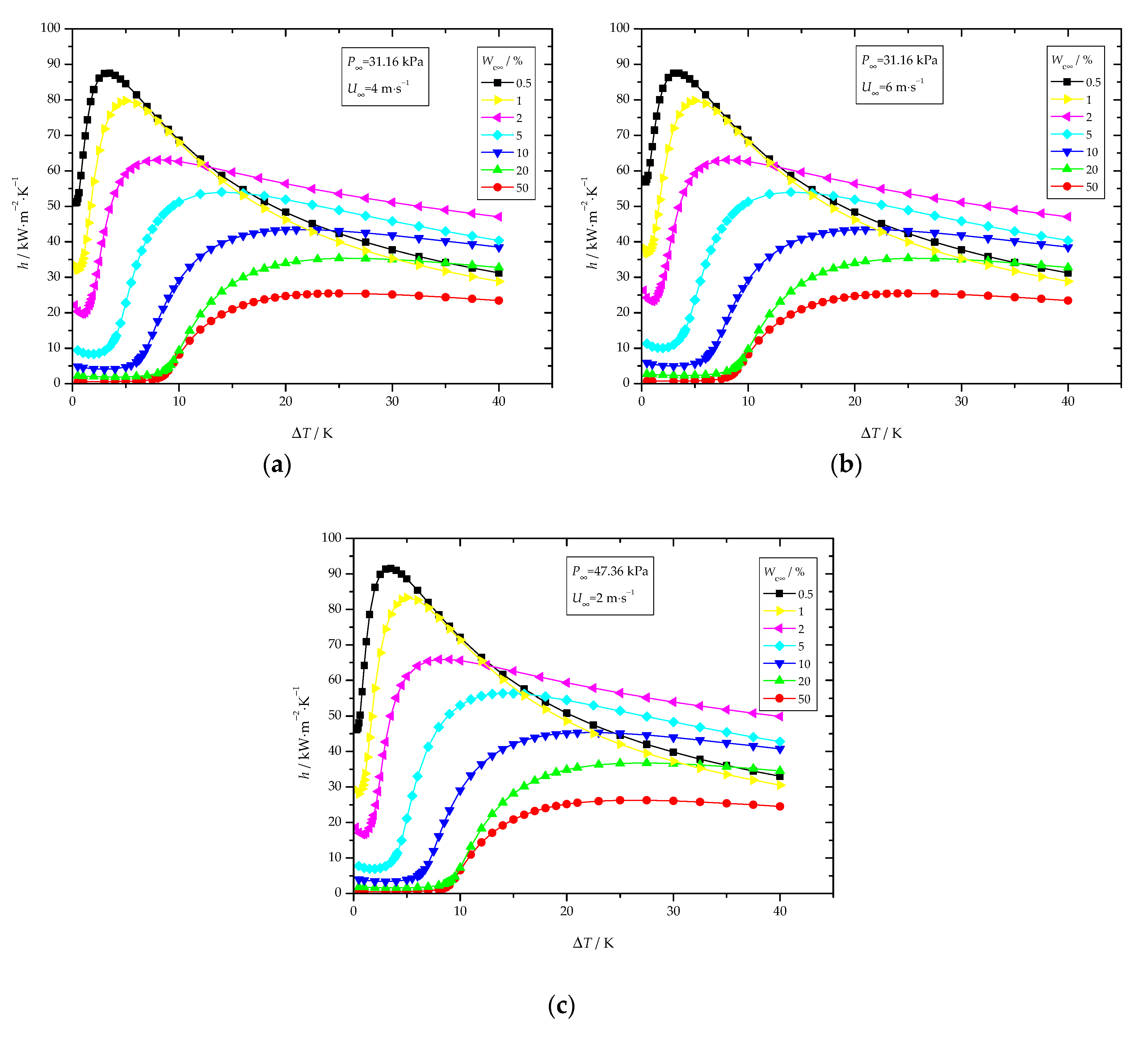
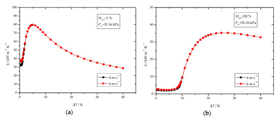
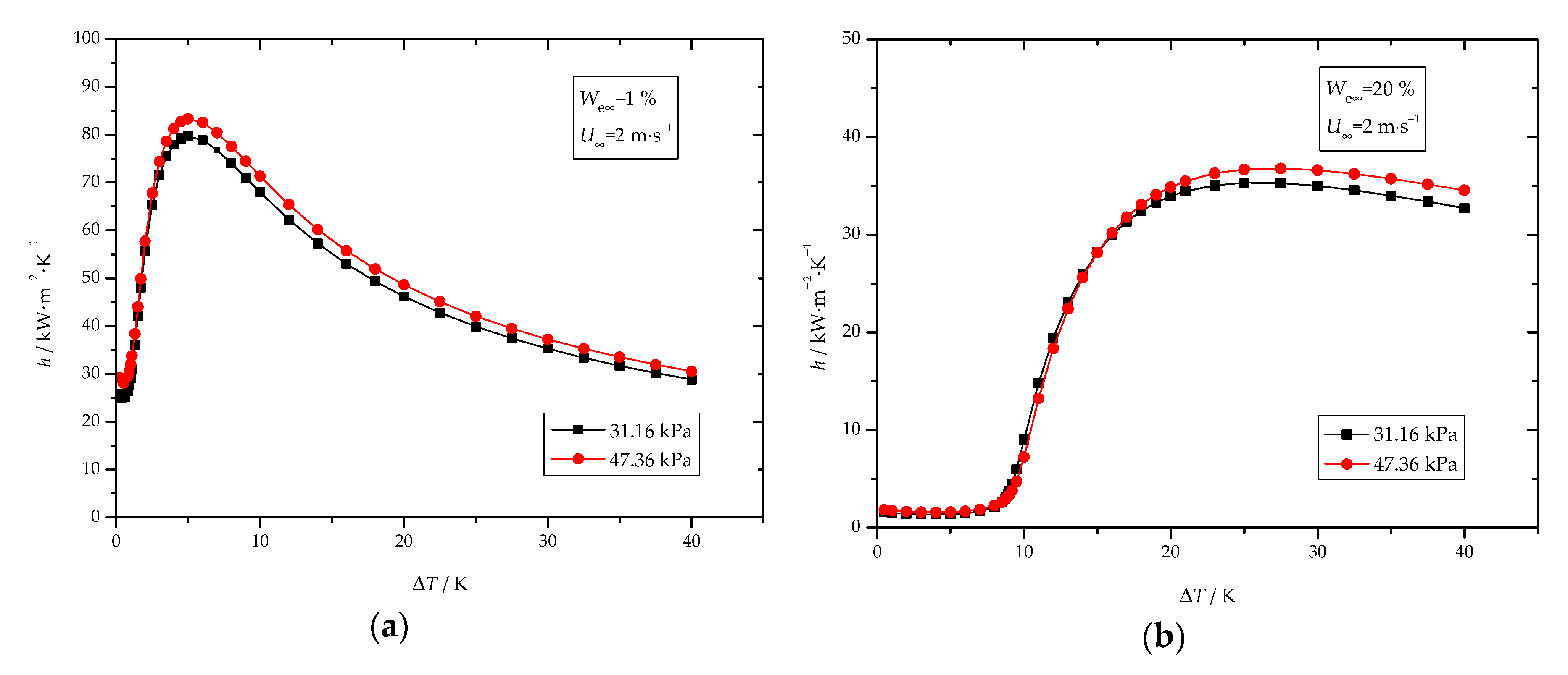
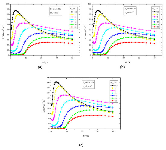
4.2. Condensation Heat Transfer Coefficient
5. Conclusions
Author Contributions
Funding
Acknowledgments
Conflicts of Interest
Nomenclature
| D | the diffusion coefficient (m2·s−1) |
| F | function |
| g | gravitational acceleration (m·s−2) |
| h | heat transfer coefficient (kW·m−2·K−1) |
| hfg | heat latent (J·kg−1) |
| m | mass flux (kg·s−1) |
| T | temperature (K) |
| P | vapor pressure in vapor diffusion layer (Pa) |
| Pr | Prandtl number |
| q | heat transfer rate (W) |
| r | radius of the drop (m) |
| Sc | Schmidt number |
| U | velocity of the main vapor (m·s−1) |
| u | velocity along the x-direction (m·s−1) |
| v | velocity along the y-direction (m·s−1) |
| W | concentration (%) |
| Greek Symbols | |
| α | vapor thermal diffusivity(m2·s−1) |
| γ | the fraction of surface area covered by drops with radius larger than r (%) |
| ΔT | temperature difference (K) |
| η | new variable |
| Θ | function |
| λ | thermal conductivity (W·m−1·K−1) |
| μ | the dynamic viscosity (Pa·s) |
| υ | vapor kinematic viscosity (m2·s−1) |
| ρ | density (kg·m−3) |
| σ | surface tension (N·m−1) |
| Φ | function |
| Ψ | stream function |
| Subscripts | |
| b | through the drop |
| c | vapor-liquid interfacial curvature |
| cs | condensing surface |
| d | vapor-liquid interfacial resistance |
| e | ethanol |
| eV | ethanol vapor |
| eL | ethanol liquid |
| eiL | ethanol liquid at the interface |
| eiV | ethanol vapor at the interface |
| i | vapor-liquid interface |
| L | liquid |
| max | maximum |
| min | minimum |
| V | vapor |
| w | water |
| wV | water vapor |
| wL | water liquid |
| ∞ | main vapor |
References
- Wang, J.S.; Ma, Z.Q.; Li, G.; Sundén, B.; Yan, J.J. Improved modeling of heat transfer in dropwise condensation. Int. J. Heat Mass Transf. 2020, 155, 119719. [Google Scholar] [CrossRef]
- Ahlers, M.; Buck-Emden, A.; Bart, H.J. Is dropwise condensation feasible? A review on surface modifications for continuous dropwise condensation and a profitability analysis. J. Adv. Res. 2019, 16, 1–13. [Google Scholar] [CrossRef] [PubMed]
- Mirkovich, V.V.; Missen, R.W. Non-filmwise condensation of binary vapors of miscible liquids. Can. J. Chem. Eng. 1961, 39, 86–87. [Google Scholar] [CrossRef]
- Utaka, Y.; Terachi, N. Measurement of condensation characteristic curves for binary mixture of steam and ethanol vapor. Heat Transf. Jpn. Res. 1995, 24, 57–67. [Google Scholar]
- Kim, K.J.; Lefsaker, A.M.; Razani, A.; Stone, A. The effective use of heat transfer additives for steam condensation. Appl. Therm. Eng. 2001, 21, 1863–1874. [Google Scholar] [CrossRef]
- Philpott, C.; Deans, J. The enhancement of steam condensation heat transfer in a horizontal shell and tube condenser by addition of ammonia. Int. J. Heat Mass Transf. 2004, 47, 3683–3693. [Google Scholar] [CrossRef]
- Utaka, Y.; Wang, S.X. Characteristic curves and the promotion effect of ethanol addition on steam condensation heat transfer. Int. J. Heat Mass Transf. 2004, 47, 4507–4516. [Google Scholar] [CrossRef]
- Vemuri, S.; Kim, K.J.; Kang, Y.T. A study on effective use of heat transfer additives in the process of steam condensation. Int. J. Refrig. 2006, 29, 724–734. [Google Scholar] [CrossRef]
- Murase, T.; Wang, H.S.; Rose, J.W. Marangoni condensation of steam-ethanol mixtures on a horizontal tube. Int. J. Heat Mass Transf. 2007, 50, 3774–3779. [Google Scholar] [CrossRef]
- Hu, S.H.; Yan, J.J.; Wang, J.S.; Li, Y.; Liu, J.P. Effect of temperature gradient on Marangoni condensation heat transfer for ethanol-water mixtures. Int. J. Multiph. Flow. 2007, 33, 935–947. [Google Scholar] [CrossRef]
- Yang, Y.S.; Yan, J.J.; Wu, X.Z.; Hu, S.H. Effects of vapor pressure on Marangoni condensation of steam-ethanol mixtures. J. Thermophys. Heat Transf. 2008, 22, 247–253. [Google Scholar] [CrossRef]
- Wang, J.S.; Yan, J.J.; Li, Y.; Hu, S.H. Experimental investigation of Marangoni condensation of ethanol-water mixture vapors on vertical tube. Heat Mass Transf. 2009, 45, 1533–1541. [Google Scholar] [CrossRef]
- Wang, J.S.; Yan, J.J.; Hu, S.H.; Liu, J.P. Marangoni condensation heat transfer of water-ethanol mixtures on a vertical surface with temperature gradients. Int. J. Heat Mass Transf. 2009, 52, 2324–2334. [Google Scholar] [CrossRef]
- Utaka, Y.; Wang, S.X. Effect of ethanol mass fraction on condensation heat transfer characteristics for water-ethanol binary vapor mixture. Trans. JSRAE 2011, 18, 127–134. [Google Scholar]
- Ma, X.H.; Lan, Z.; Xu, W.; Wang, M.Z.; Wang, S.F. Effect of surface free energy difference on steam-ethanol mixture condensation heat transfer. Int. J. Heat Mass Transf. 2012, 55, 531–537. [Google Scholar] [CrossRef]
- Deans, J.; Martin, P.J.; Norris, S. The condensation of steam containing low concentrations of trimethylamine. Int. J. Heat Mass Transf. 2013, 61, 381–388. [Google Scholar] [CrossRef]
- Ali, H.; Wang, H.S.; Briggs, A.; Rose, J.W. Effects of vapor velocity and pressure on Marangoni condensation of steam-ethanol mixtures on a horizontal tube. J. Heat Transf. 2013, 135. [Google Scholar] [CrossRef]
- Chen, X.P.; Wang, J.S.; Qin, J.C.; Chong, D.T.; Huang, R.H.; Yan, J.J. Experimental study on condensation heat transfer of ethanol-water vapor mixtures on vertical micro-tubes. Int. J. Thermophys. 2015, 36, 1598–1617. [Google Scholar] [CrossRef]
- Hu, S.H.; Ma, X.R.; Zhou, W.Q. Condensation heat transfer of ethanol-water vapor in a plate heat exchanger. Appl. Therm. Eng. 2017, 113, 1047–1055. [Google Scholar] [CrossRef]
- Ali, H.; Kamran, M.S.; Ali, H.M.; Imran, S. Condensation heat transfer enhancement using steam-ethanol mixtures on horizontal finned tube. Int. J. Therm. Sci. 2019, 140, 87–95. [Google Scholar] [CrossRef]
- Sarafraz, M.M.; Peyghambarzadeh, S.M. Experimental study on subcooled flow boiling heat transfer to water-diethylene glycol mixtures as a coolant inside a vertical annulus. Exp. Therm. Fluid Sci. 2013, 50, 154–162. [Google Scholar] [CrossRef]
- Yang, B.; Sarafraz, M.M.; Arjomandi, M. Marangoni effect on the thermal performance of glycerol/water mixture in microchannel. Appl. Therm. Eng. 2019, 161, 114142. [Google Scholar] [CrossRef]
- Sarafraz, M.M.; Arjomandi, M. Contact angle and heat transfer characteristics of a gravity-driven film flow of a particulate liquid metal on smooth and rough surfaces. Appl. Therm. Eng. 2019, 149, 602–612. [Google Scholar] [CrossRef]
- Hijikata, K.; Fukasaku, Y.; Nakabeppu, O. Theoretical and experimental studies on the pseudo-dropwise condensation of a binary vapor mixture. J. Heat Transf. 1996, 118, 140–147. [Google Scholar] [CrossRef]
- Akiyama, H.; Nagasaki, T.; Ito, Y. Numerical analysis on the dropwise condensation of a binary vapor mixture. In The 2001 ASME International Mechanical Engineering Congress and Exposition; IMECE: New York, NY, USA, 2001; Volume 369-1, pp. 291–299. [Google Scholar]
- Kanatani, K. Stability of a condensing liquid film in a binary vapor mixture system. Int. J. Heat Mass Transf. 2013, 58, 413–419. [Google Scholar] [CrossRef]
- Kanatani, K. On the critical thickness and wavelength of a condensing thin liquid film in a binary vapor mixture system. Int. J. Heat Mass Transf. 2015, 80, 199–205. [Google Scholar] [CrossRef][Green Version]
- Kanatani, K.; Oron, A. Nonlinear effect of surface disturbances on mass flux and its modeling in Marangoni dropwise condensation. Int. J. Heat Mass Transf. 2016, 94, 419–425. [Google Scholar] [CrossRef]
- Li, Y.; Yan, J.J.; Wang, J.S.; Wang, G.X. A semi-empirical model for condensation heat transfer coefficient of mixed ethanol-water vapors. J. Heat Transf. 2011, 133, 1–11. [Google Scholar] [CrossRef]
- Sparrow, E.M.; Marschall, E. Binary, gravity-flow film condensation. J. Heat Transf. 1969, 91, 205–211. [Google Scholar] [CrossRef]
- Wang, J.S.; Yan, J.J.; Li, Y.; Hu, S.H.; Sunden, B. Correlation for Marangoni condensation heat transfer of water-ethanol mixture vapors. Heat Transfer Eng. 2016, 37, 774–782. [Google Scholar] [CrossRef]
- Zhou, W.Q.; Hu, S.H.; Ma, X.R.; Zhou, F. Condensation heat transfer correlation for water-ethanol vapor mixture flowing through a plate heat exchanger. Heat Mass Transf. 2018, 54, 3025–3033. [Google Scholar] [CrossRef]
- Fujii, T. Theory of Laminar Film Condensation; Springer: New York, NY, USA, 1991. [Google Scholar]
- Le Fevre, E.J.; Rose, J.W. A theory of heat transfer by dropwise condensation. In Proceedings of the 3rd International Heat Transfer Conference, Chicago, IL, USA, 7–12 August 1966; pp. 362–375. [Google Scholar]
- Rose, J.W. Dropwise condensation theory. Int. J. Heat Mass Transf. 1981, 24, 191–194. [Google Scholar] [CrossRef]
- Graham, C.; Griffith, P. Drop size distributions and heat transfer in dropwise condensation. Int. J. Heat Mass Transf. 1973, 16, 337–346. [Google Scholar] [CrossRef]
- Tanasawa, I.; Shibata, Y. Dropwise condensation at low heat flux and small surface subcooling. In Proceedings of the 18th National Heat Transfer Conference, San Diego, CA, USA, 6–8 August 1979; pp. 79–84. [Google Scholar]
- Utaka, Y.; Kenmotsu, T.; Yokoyama, S. A study on Marangoni condensation (measurement and observation for water and ethanol vapor mixture). In Proceedings of the 11th International Heat Transfer Conference, Kyongju, Korea, 23–28 August 1998; pp. 397–402. [Google Scholar]
- Utaka, Y.; Nishikawa, T. An investigation of liquid film thickness during solutal Marangoni condensation using a laser absorption method: Absorption property and examination of measuring method. Heat Transf. Asian Res. 2003, 32, 700–711. [Google Scholar] [CrossRef]
- Utaka, Y.; Nishikawa, T. Measurement of condensate film thickness for solutal Marangoni condensation applying laser extinction method. J. Enhanc. Heat Transf. 2003, 10, 119–129. [Google Scholar] [CrossRef]









Publisher’s Note: MDPI stays neutral with regard to jurisdictional claims in published maps and institutional affiliations. |
© 2020 by the authors. Licensee MDPI, Basel, Switzerland. This article is an open access article distributed under the terms and conditions of the Creative Commons Attribution (CC BY) license (http://creativecommons.org/licenses/by/4.0/).
Share and Cite
Wang, J.; Ma, Z.; Li, Y.; Liu, W.; Li, G. Modeling Study on Heat Transfer in Marangoni Dropwise Condensation for Ethanol-Water Mixture Vapors. Energies 2020, 13, 6726. https://doi.org/10.3390/en13246726
Wang J, Ma Z, Li Y, Liu W, Li G. Modeling Study on Heat Transfer in Marangoni Dropwise Condensation for Ethanol-Water Mixture Vapors. Energies. 2020; 13(24):6726. https://doi.org/10.3390/en13246726
Chicago/Turabian StyleWang, Jinshi, Ziqiang Ma, Yong Li, Weiqi Liu, and Gen Li. 2020. "Modeling Study on Heat Transfer in Marangoni Dropwise Condensation for Ethanol-Water Mixture Vapors" Energies 13, no. 24: 6726. https://doi.org/10.3390/en13246726
APA StyleWang, J., Ma, Z., Li, Y., Liu, W., & Li, G. (2020). Modeling Study on Heat Transfer in Marangoni Dropwise Condensation for Ethanol-Water Mixture Vapors. Energies, 13(24), 6726. https://doi.org/10.3390/en13246726

