Abstract
On the basis of a generalized interdisciplinary method that consists of a modification of Hamilton–Ostrogradski principle by expanding the Lagrange function with two components that address the functions of dissipation energy and the energy of external conservative forces, a mathematical model is presented of an electromechanical system that consists of the force section of a magneto-levitation non-contact maglev suspension in a prototype traction vehicle. The assumption that magnetic potential hole, generated naturally by means of cryogenic equipment, is present in the levitation suspension, serving to develop the model system. Contrary to other types of magnetic cushion train suspensions, for instance, maglev–Shanghai or Japan–maglev, this suspension does not need a complicated control system, and levitation is possible starting from zero train velocity. As high-temperature superconductivity can be generated, the analysis of levitation systems, including the effect of magnetic potential holes, has become topical. On the basis of the model of a prototype maglev train, dynamic processes are analyzed in the levitation system, including the effect of the magnetic potential hole. A system of ordinary differential equations of the dynamic state is presented in the normal Cauchy form, which allows for their direct integration by both explicit and implicit numerical methods. Here, the results of the computer simulations are shown as figures, which are analyzed.
1. Introduction
The beginning of the last century was marked with an avalanche of physical discoveries, including Planck’s quantum mechanics, the theory of relativity developed by Lorentz–Poincaré–Einstein, controlled nuclear reaction, Heisenberg’s uncertainty principle, and many others. The generation of low cryogenic temperatures and the resultant discovery of superconductivity by the Dutch physicist and Nobel Prize winner Kamerlingh-Onness in 1911 rank among those major discoveries. Their significance is undoubtedly very high, as the dispersion of electric energy is absent from superconducting systems, which allows for the transmission of electromagnetic energy at high currents and low voltages [1]. The creation of a low temperature system (approiximately 4° K), which requires the application of costly cryogenic installations, is the basic condition for achieving superconductivity [2,3]. Research into and economic use of this phenomenon seem to offer no prospects. As state of the art nanotechnologies develop, it becomes possible to produce new materials where superconductivity arises at a relatively high temperatures—the so called high temperature superconductivity, as described in the literature [4,5,6,7,8,9]. High-temperature superconductivity should find industrial applications [10,11,12]. Materials including mercury impurities have been produced, where superconductivity is generated even at 173° K, which leads us to believe that the subject matter of this paper is topical [1,13,14]. This depends on continuing theoretical physical studies.
Superconductivity is invariably associated with another important physical effect, magnetic levitation [15,16,17,18,19], which means the suspension of an object without mechanical contact with a surface. In other words, such an object “hangs” in the air.
We can remember from our school days that two magnets cannot hang at a certain distance from each other in a stable state, because the force of their interactions and weight of the upper magnet are balanced. This state is a priori impossible in reality [1]. Physical and mathematical reasons stable levitation is impossible, according to the inverse-square law, were first submitted by an English physicist, Samuel Earnshaw, as the theorem of non-existence of a static system equilibrium through the force of the inverse-square law. Electrostatic, magnetic, and gravitational systems meet the principles of the theorem [1]. Proof of Earnshaw’s theorem is mathematically ideal; therefore, the stability of the magnetic system configurations is impossible. Does this mean the question of static levitation in magnetic systems is closed?
Nearly every evident fact commonly gives rise to doubt or distrust, even in educated humans. The so-called Clarke’s law has been formulated as a result. If a renowned and respected scientist claims something can be done, he or she is usually right. If they say something cannot be done at all, they are usually wrong [1,14].
This law also applies to a number of scientists who carried out research into the stability of magnetic levitation systems. Both good effects and failed, unpublished experiments have been produced. The Braunbeck effect is one of the best-known analyses [1].
The German physicist Werner Braunbeck’s reasoning is as follows. As Earnshaw’s theorem has been perfectly substantiated, searching for stable levitation systems among inverse-square systems, including magnetic systems, makes no sense. However, if a magnetic system contains a part whose magnetic permeability is below one, Earnshaw’s theorem will not apply to such a system. Earnshaw’s experiment consisted of placing a diamagnet in a strong magnetic field, which provided static levitation. Braunbeck proceeded to show that superconductivity considerably improved the process of levitation. As ideal diamagnets are superconducting materials, Braunbeck’s effect can be interpreted as magnetic levitation, subject to ideal diamagnetism of μ = 0. A similar experiment in superconducting systems was undertaken by a German physicist, Meissner [1].
Another type of magnetic levitation was first generated and theoretically explained in the literature [1]. The idea of this method of levitation consists of using ideal conductance of superconducting materials, i.e., specific resistance of a material, ρ = 0 (Ω m). This type of magnetic levitation is referred to as the magnetic potential hole. As this is the starting point of our study, we will introduce the physical idea of the potential hole.
2. Effect of Magnetic Potential Hole
The physical and mathematical foundations of this effect are quite complicated and are discussed in the literature [1]. These authors only propose a highly generalized and simplified idea of the potential hole effect.
If diamagnetic effects prevail over superconducting effects in the integrated material studied, the superconducting effects prevail over the diamagnetic effects in the ring (which can be treated as an electric circuit, including the mass of the ring). The diamagnetic effect is virtually absent from the ring circuit. The magnetic effect of the potential hole will be demonstrated in the example of a superconducting closed circuit (ring) placed in the magnetic field of a permanent magnet (Figure 1). In the case ring (0), the ring is in balance (an external force, for instance, of thread tensioning NR) holds the ring and is equalized with the ring weight PR, (NR = PR). In the case ring (1), the ring levitates in the air (a thread is absent NR = 0). In the case ring (2), the ring is lifted (the force of thread tension is greater than the ring weight NR > PR).
Figure 1.
Circuit diagram of the associated flux freezing.
The equation of the ring as an electrical circuit is based on the second Kirchhoff law [1,2,20], and is formulated as follows:
where u is the ring supply voltage (none), R is the ring resistance (equal to zero), I is the current across the ring, and ΨK is the total associated flux across the ring.
It can then be said, based on Equation (1), that magnetic coupling across the circuit remains constant for all states of the ring (cf. Figure 1) [1]. This is the so-called principle of coupled flux freezing in superconducting systems, described by Equation (1). Where the potential hole is present in superconducting circuits, a coupled flux across such a circuit is constant (“frozen”). As the circuit is closed, the magnetic flux (Ψ0) across this circuit is derived from [20,21] the following:
where B0 is the magnetic induction over time t = 0, dS is the unit of the circuit cross-section, and S is the circuit cross-section.
When the current superconducting ring is moved up with a thread (ring (1)), the concentration of the magnetic field lines across the ring will reduce, that is, magnetic induction will decline, while the circuit cross-section remains constant. According to Equation (2), the magnetic flux then appears to shrink, which is contrary to the principle of coupled flux freezing (1). A paradox? Not at all! Both laws (the definition of coupled flux (Equation (2)) and the law of coupled flux freezing) are correct. What actually takes place in the system? In order to ensure the convergence of both of the laws of physics (however odd it may sound), a current of such a value flows across the ring that the principle of coupled flux freezing is secured, as in Equation (1). The flux across the ring will be computed as follows [21]:
where L is the inductivity of the superconducting circuit.
When the ring is moved down in relation to its initial position, the situation is similar (Figure 1, Figure 2 and Figure 3). The current across the ring flows in the other direction now. If the ring is let free (no thread), it will hang in the air at a certain distance from the magnet, dependent on the ring weight and surface (Figure 1 and Figure 2).
Figure 2.
Magnetic field lines in the ring cross-section.
Figure 3.
Diagram of a train on a magnetic cushion of the maglev type.
Therefore, the levitation conditions and the principle of minimum potential energy, also known as the magnetic potential hole, are met for the current superconducting ring [1]. A physically interesting effect should be noted here. If the magnet attracts the ring situated at distance d1 from the magnet, then the magnet will repel it at d2. What is interesting is that d1 > d2 [1].
3. Mathematical Model of the Maglev System
The effect of the magnetic potential hole is a priori assumed to exist. In other words, the problem of preserving the system staticity (stability) is not analyzed here. An analysis of the electromechanical energy processing in a levitation system using the example of a simplified diagram of a force section of a train maglev is the central goal of this paper. The study analyzes a train with a magnetic cushion of the maglev type, Figure 3 [22,23,24,25].
The following assumptions are adopted: electromagnetic and mechanical fields are plano-parallel, the rotational motion of the system cross-section is oriented relative to the train mass center (this assumption is partly reasonable, as the modules of the four currents across all main wires are equal; Figure 3). In addition, the dispersion of the electromagnetic field at the train’s start and end is not taken into consideration [14].
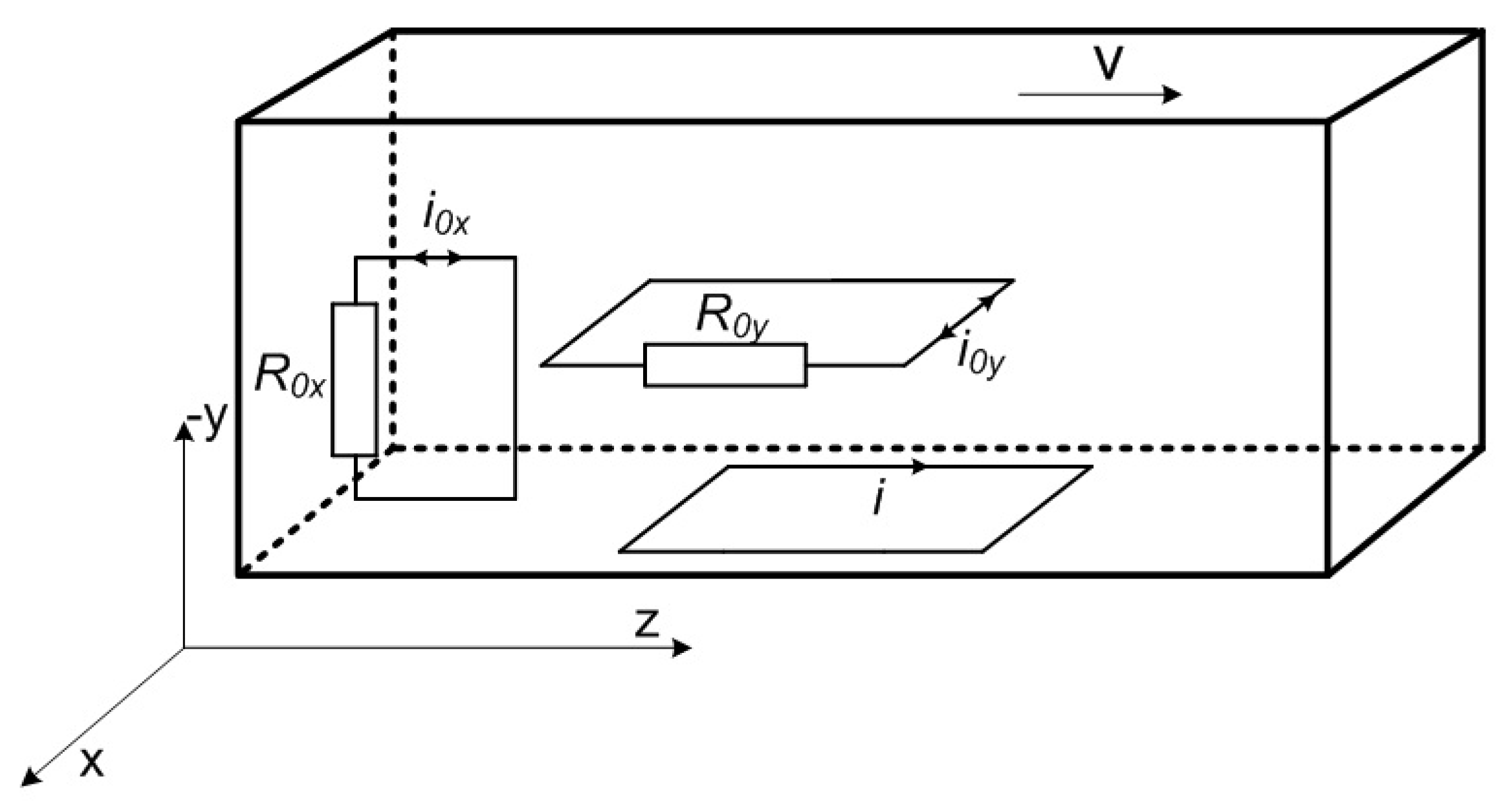
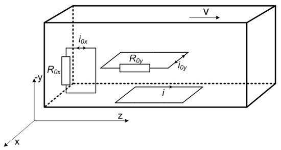
The train’s motion in the transverse section is considered in a rectilinear system of Cartesian coordinates (x, y), with its starting point in the lower left corner (wire I1). All complex motions are projected on to the appropriate axes (Figure 4).
Figure 4.
Calculation diagram of a levitation electromechanical system.
An interdisciplinary variational method will serve to develop the model [13,14,26]. A modified Lagrange’s function is presented [14,16,27] as follows:
where L* is the modified Lagrange’s function, is the kinetic co-energy, P* is the potential energy, Φ* is the dissipation energy, and D* is the energy of non-potential external forces.
There are N = 4 generalized coordinates for the electromechanical system, including: q1 = x(t), the circuit’s shift in relation to coordinate x; q2 = y(t), the circuit’s shift in relation to the coordinate y; q3 = φ(t), the rotation angle of the levitation frame; and q4 = Q(t), the load of the circuit. Generalized velocities will then become the following: , the velocity of the circuit’s motion in relation to the coordinate x; , the velocity of the circuit’s motion in relation to the coordinate y; , rotational speed of the levitation frame; and , the current across the circuit.
As energy dissipation is absent from the superconducting circuit, damping of transverse oscillations behind axes x and y is impossible a priori (see Figure 5). Ordinary electric circuits including resistances in series need to then be installed in the train chassis.
Figure 5.
Diagram of damping circuits in the prototype train.
The circuits should be distributed in such a way that the magnetic field lines of the train suspension across the circuits vary in time with a maximum density, i.e., a circuit cross-section should be perpendicular to the train’s motion [28]. Oscillations will arise in the system as a result of gravitation and the train’s centrifugal force. As the circuit is intersected by the force lines of the magnetic field, an electromotive force (SEM) will be induced in the circuit that will trigger the current across the circuit. A thermodynamic field (dissipation of electromechanical energy) will then be generated across the simple circuit’s resistance, until the train’s oscillations vanish. In the operating state, where oscillations are absent from a circuit, including resistance, the electromotive force SEM will not be induced, as Faraday’s law does not apply in this case. It can then be concluded that simple circuits, including resistance in maglev-type suspensions, act as electromagnetic dampers of train mechanical oscillations that are solely in transient states [14,28]. As part of energy-saving systems, energy recuperation into an electric power system or energy accumulation can be applied instead of additional resistance. For maximum and effective damping of the train oscillations, the damper winding plane must be perpendicular to the levitation system’s oscillation plane [14]. Therefore, two electrical circuits that are perpendicular to each other and include a high resistance are proposed. The first circuit damps the oscillations arising from the gravitational forces and the other oscillations resulting from the centrifugal forces arising from the train moving along curves. These dampers will also work against torsion oscillations related to the presence of the twisting moment in levitation systems.
Dispersion of the electromagnetic energy is equal to the dispersion of the mechanical energy (in the event, the magnetic field only transforms one type of energy into another). The empirical dependence between the damping resistance and factors of energy dissipation can then be expressed as follows [13,14]:
The following is derived from Equation (5):
where R0x are R0y are the resistances of the appropriate damping circuits; i0x and i0y are the appropriate currents across these circuits; vx, xy, and xφ is the factors of mechanical energy dissipation; and k is the calculation factor.
Parts of the non-conservative Lagrangian Equation (4) will be noted as follows, considering that, for aiding current sense across wires, mutual interaction forces will cause the wires to attract (by convention, sign “−”), whereas if the current senses are opposite, the wires will repel each other (“+”) (Figure 4):
where Ψ(i) is the associated flux of the circuit, R = 0 is the circuit resistance, x0 and y0 are the initial coordinates of the frame, d is the frame width (see Figure 4 and Figure 6), P is the train’s centrifugal force, m is the train mass, F is the force of mutual wire interactions (F’ for the first frame wire and F” for the second), g is the acceleration of gravity, J is the moment of inertia, and MΣ is the total torque relative to the train’s mass centre and acting on the levitation frame.
Figure 6.
View of the electromechanical system from above.
The angles between the major current wires and the first (relative to the current wire) frame wire are derived from Figure 4.
where a and b are the distance between the current wires.
The angles between the main current wire and the second frame wire are derived from Figure 4 as well.
The following is indicated in Figure 4 [9]:
where P is the centrifugal force, vP is the linear velocity of the train motion, RP is the radius of the path arc, and Ij is the current across the main wire.
The non-linear expanded non-conservative Lagrangian Equation (4) is determined on the basis of Equations (7)–(9), and the modified action functional is written according to Hamilton–Ostrogradski [13].
An action functional variation, Equation (13), will be expressed for a non-linear system and be compared to zero, the sequence of differentiation and integration will be reversed [14,26], and the theorem of integral derivative relative to its upper boundary will be applied.
The law of integration by parts will be applied to Equation (14), and similar components will be grouped together.
The expression in square brackets is equal to zero, as isochronous variations at the ends of the integration ranges are always equal to zero [14,27]. The other total then equals zero. The action functional written according to Hamilton–Ostrogradski has a stationary value if all components of the generalized coordinates (not of the total) are equal to zero [14]. As variations of the generalized coordinates within the area (not at the ends) of integration cannot equal zero, it can be postulated that for the functional variation of Equation (14) to equal zero, the following Euler–Lagrange equations must equal zero too (they will be presented in the normal Cauchy form).
It can be seen that the current across the ring cannot be derived from Equation (19), as the circuit equation has no real meaning. To solve the problem, the current is determined on the basis of electromagnetic field equations. It should be noted that the electromagnetic field equations constitute stationary links to the Euler–Lagrange equations [14,27].
Figure 6 contains a view of the electromechanical system from above in order to clearly illustrate the order of our continuing study.
An eddy magnetic current (cf. Figure 7) is generated around the main current wires, determined in the usual way, as per the law of current flow [21]:
where Hj is the intensity vector of the magnetic field associated with the jth current wire, dlj is the unit of the circuit integration associated with the jth current wire, Hj is the projection of the magnetic field intensity vector on the axis angle (Figure 6), Bj is the projection of the magnetic field induction vector on the axis angle, μ0 is the magnetic air permeability; r is the current radial coordinate, and ijΣ is the total current across any circuit placed in the magnetic field.
Figure 7.
Diagram of the magnetic field force line for the jth current wire.
Calculations of the magnetic flux acting on the electric circuit for all four current wires will be expressed as follows [21]:
where Φj is the magnetic flux across the electric circuit cross-section associated with the jth current wire, Bj is the magnetic induction vector associated with the jth current wire, dS is the unit of the plane perpendicular (normal) to the circuit plane, Aj is the electromagnetic field vector-potential associated with the jth current wire, and dl is the element of the superconducting circuit.
Figure 7 shows the distribution of the magnetic field force lines for the jth current wire that act on the superconducting frame.
The following nomenclature is introduced:
The integral from Equation (21) is transformed in consideration of Figure 4 and Figure 6 [13], as follows:
where A is the axial component of the electromagnetic field vector-potential, l is the length of the superconducting circuit, α is the inclination angles of the magnetic field force vector, and rj and cj are the distances from the main frame current wire.
The parameters in Equation (24) are determined in consideration of Figure 4, Figure 5, Figure 6 and Figure 7, by means of Pythagoras theorem and the law of cosines [14], as follows:
Components of the vector-potential projections of Equation (24) are calculated by integrating Equation (21) and considering Equation (22)
By substituting Equations (24)–(26) and considering Equation (25), an expression for the jth magnetic flux across the superconducting frame will be produced as follows:
Equation (19) gives rise to the following:
As the magnetic flux across the superconducting circuit should not vary, the flux will be calculated considering the magnetic impact of the current on the circuit (see Equation (3)):
where Φ0Σ is the total magnetic flux across the superconducting circuit at the initial moment in time (when the train is lifted and the main current wires are switched on) and L is the inductance of the superconducting circuit, derived from the following [29]:
where R is the radius of the frame current wire.
If the train position is central symmetrical at the initial moment in time, Equation (29) is simplified as (Φ0Σ = 0) and, considering Equation (27), Equation (28) will become the following:
Hence, the current in the superconducting circuit is as follows:
The forces acting on the current superconducting circuit (Figure 4) are determined as per the Ampere law [21,22,23,24,25,26,27,28,29], in consideration of Equations (9), (31), and (32), and Figure 4, Figure 5, Figure 6 and Figure 7:
The total torque is computed, starting from the hypothesis the current modules in the main rods are equal (see the second formula in Equation (12)):
The system of differential equations: Equations (17), (18), and (20) will be jointly integrated considering Equations (5), (6), (10)–(12), (25)–(27), and (30)–(34).
4. Results of Computer Simulation
A prototype magnetic cushion train is considered. Its force section is modelled as a simplified operational diagram of a maglev train travelling along the coordinate z (cf. Figure 3 and Figure 5). These are the system’s parameters: m = 80t, I1 = I2 = I3 = I4 = 1 MA, l = 50 m, d = 1.40 m, a = 2 m, b = 0.6 m, x0 = y0 = 0.3 m, vx = 70,000 N·s/m, vy = 100,000 N·s/m, vp = 210 km/h, and RP = 5 km. To simplify the process calculations, we ignored the torsion oscillations of the train set. Its carriages are assumed to be connected in an absolutely rigid manner.
The experiment proceeds as follows. The train is lifted to an appropriate height with cylinders, so that its position is central symmetrical relative to the main current wires (cf. Figure 3, Figure 4 and Figure 5 and Figure 8). The current is then enforced in the main current wires. Owing to the magnetic potential hole (our assumption), the train begins levitating in the air (after removing the cylinders). The train set begins moving along a straight path Figure 8 [AB]. After reaching an adequate speed, the train enters a path section, including an arc (t = 10 s) [BC], and then re-enters a straight section at the instant t = 25 s [CD] (Figure 8).
Figure 8.
Diagram of the train’s route.
Differential state equations are integrated by means of the Runge–Kutta explicit fourth order method using Visual FORTRAN. The simulation results are presented in a graphical format.
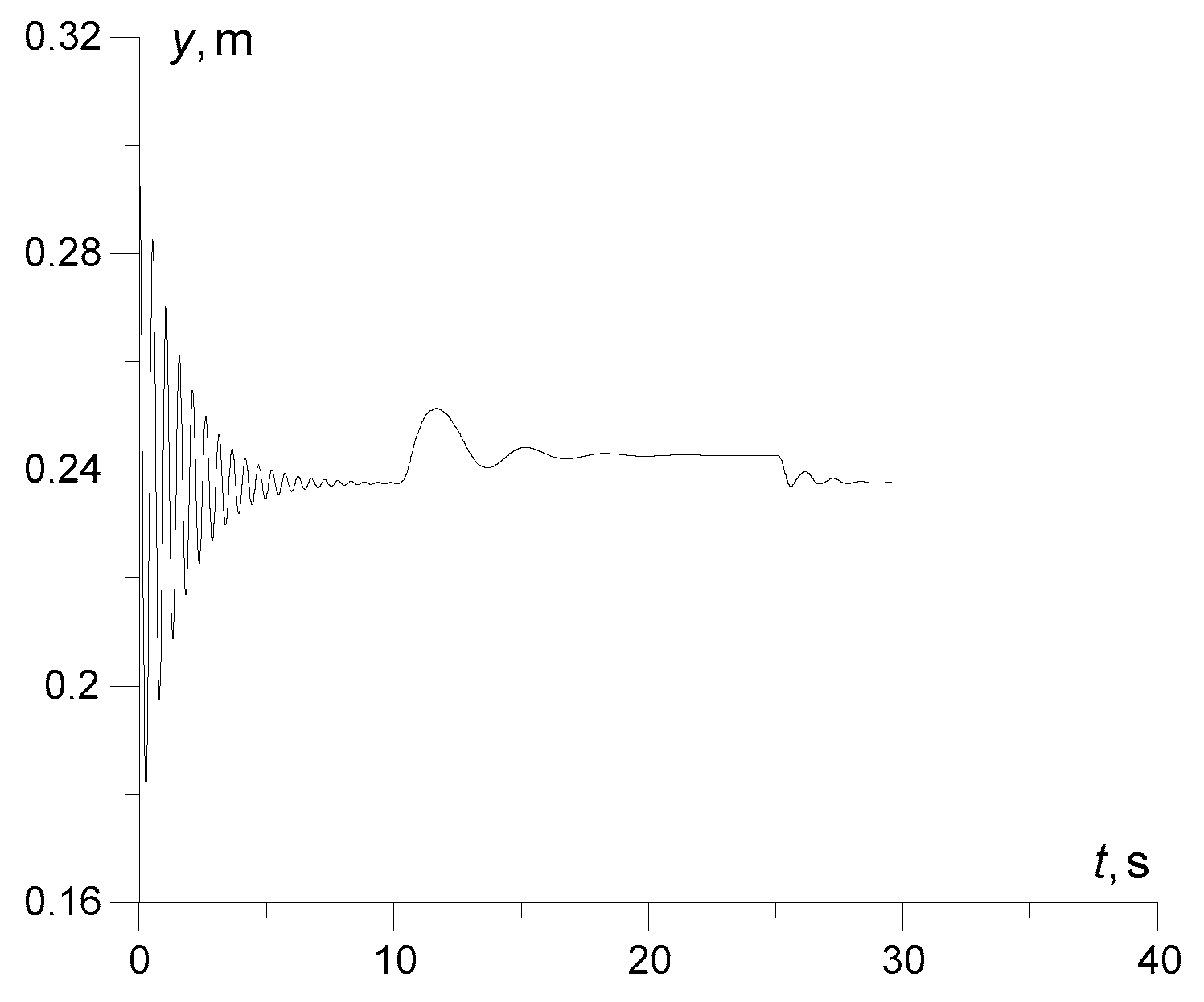
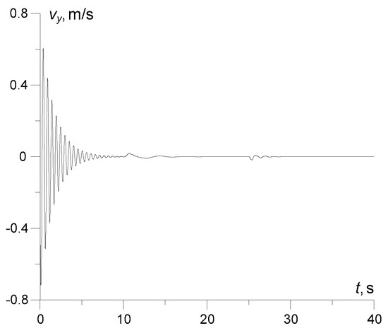
Figure 9 and Figure 10 depict (oscillation) the train displacement relative to coordinates x and y, respectively (Figure 5). First, as the system enters the state of levitation, the train’s transverse oscillations are absent, which is fully logical, as the centrifugal force is absent. Then, 10 s after the start-up, the train enters a turn and the centrifugal force almost instantly begins acting on the system, causing transverse oscillations. These oscillations vanish in the presence of damping circuits and are virtually absent after 25 s (a constant centrifugal force affects the system). The train continues to leave the bend and enter a straight path, which is when the reverse occurs. The centrifugal force is reduced to the straight path while the damping circuits do their job as before. The train travels along a straight path without the effects of the centrifugal force for approximately 38 s. An utterly different situation is shown in Figure 10. Longitudinal oscillations of the levitation system are damped for the first 10 s. If the longitudinals have no effect on transverse oscillations, the opposite is not true. Shifting the train in any direction changes the axis of symmetry, which will in turn affect the longitudinal displacement of the train. Again, when the train moves along a straight path in a steady state, both longitudinal and transverse oscillations are absent.
Figure 9.
Train displacement relative to coordinate x.
Figure 10.
Train displacement relative to coordinate y.
Figure 11 and Figure 12 show the linear velocities of train oscillations relative to coordinates x and y, respectively. If the velocities of the system’s oscillations are compared to its displacements (see the above pair of illustrations), both pairs are fully identical. The presence of damping electric circuits is an important argument in the analysis of transient processes in systems, including superconducting magnetic suspensions. It is the value of resistance of these dampers, which has a considerable effect on the time over which the oscillations vanish. This applies to both longitudinal and transverse oscillations.
Figure 11.
Velocity of train oscillations relative to coordinate x.
Figure 12.
Velocity of train oscillations relative to coordinate y.
Figure 13, Figure 14, Figure 15 and Figure 16 illustrate the four forces interacting between all of the main current wires and superconducting wires of the train’s force frame. These forces play the most significant role in generating the magnetic lifting of a maglev train. Analysis of their values leads to the following statements.
Figure 13.
Force between the first main current wire and the superconducting frame (F1).
Figure 14.
Force between the second main current wire and the superconducting frame (F2).
Figure 15.
Force between the third main current wire and the superconducting frame (F3).
Figure 16.
Force between the fourth main current wire and the superconducting frame (F4).
All forces are identical in a steady state. Counter-phases are evident in their courses in transient states, dependent on the transverse effect of the centrifugal force or transverse train displacement.
The first and third, as well as the second and fourth forces, operate in the aiding phases, whereas the values of the latter are different. The difference relates to longitudinal oscillations and the force of gravitation (weight of the train).
Longitudinal train oscillations have a key impact on the oscillations of the train holding forces. It should be stressed that badly modelled dampers of train oscillations may not produce damping at all, depending on the electromechanical system’s mass.
Finally, Figure 17 presents a transient current across a superconducting wire of a maglev train’s force frame. The course of this current is solely dependent on the train’s position relative to the main current wire. Electrical regulation of the current values is impossible, as the emf is absent from the superconducting circuit. The question of how to regulate the current arises. The response is provided by the law of magnetic flux freezing (see Figure 1 and Equation (3)).
Figure 17.
Transient current across a superconducting wire of a maglev train’s force frame.
Instances of electromechanical energy processing in a dynamic system, including superconducting circuits, are given in Figure 9, Figure 10, Figure 11, Figure 12, Figure 13, Figure 14, Figure 15, Figure 16 and Figure 17. Contrary to classic electromechanical systems that contain a source of electrical energy, for instance, electromotive force, and real resistance, these elements are a priori absent from a system with a superconducting circuit. This means the current across superconducting circuits cannot be changed by regulating the electromotive force or resistance. The current in superconducting circuits can only be controlled by means of a mechanical subsystem. This is realized by, e.g., altering the train mass, the radius of the track curve, the height of the train elevation, and coefficients of mechanical oscillation energy dissipation.
5. Conclusions
Modification of the Hamilton–Ostrogradski principle by extending Lagrange’s function helps create mathematical models of dynamic systems, including complicated electromechanical systems comprising superconducting circuits.
Utilizing the effect of natural static levitation (magnetic potential holes) to construct a magnetic suspension of Maglev trains opens up prospects for using this phenomenon in the rail industry. Contrary to well-known suspensions that use complex control, for instance, maglev, Shanghai, or dynamic systems where levitation occurs once a train has reached its full speed, natural levitation is free from these drawbacks. The need to use costly cryogenic systems is the key disadvantage of levitation of this type.
Typical electric circuits including high resistances can successfully serve to stabilize motion oscillations, along both the longitudinal and transverse axes. These circuits can be treated as oscillatory dampers of system processes in the operation of maglev trains. Note that the dampers of train oscillations do not operate in steady state.
These are the advantages of maglev train suspensions using the effect of magnetic potential holes:
- Relatively large distances between the train chassis and the magnetic rail tracks (they should be very low in maglev-Shanghai type suspensions).
- Levitation is possible at zero train speed (impossible in the case of maglev suspensions).
- No complicated control system (change of main current sense), as the levitation is exclusively natural.
- Minimum electricity consumption.
- High reliability, as friction centers are absent.
- Low noise levels.
These are the shortcomings of maglev train suspensions:
- Cryogenic installations are required.
- Adverse effects of high induction magnetic fields on humans, which require dedicated screens.
- Costly design.
- High installation cost of the main current wires because of the large forces of their interactions.
The application of high-temperature superconductivity opens the door for using the magnetic potential hole in the national economy. This is particularly true of maglev train guiding systems.
Author Contributions
Conceptualization, A.C., Z.L., M.L., and A.S.; formal analysis, A.C., Z.L., M.L., and A.S.; methodology, A.C., Z.L., M.L., and A.S.; software, A.C.; validation, A.C., Z.L., M.L., and A.S.; data curation, A.C., Z.L., M.L., and A.S.; writing—original draft preparation, A.C., Z.L., M.L., and A.S.; writing—review and editing, Z.L., M.L., and A.S.; supervision, A.C. and Z.L. All of the authors worked on this manuscript together. All authors have read and agreed to the published version of the manuscript.
Funding
This research received no external funding.
Conflicts of Interest
The authors declare no conflict of interest.
References
- Michalewicz, V.; Kozoriz, V.; Raszkowan, V. Magnetic Potential Hole—Stabilization Effect of Superconducting Dynamical Systems; Scientific Journals: Kiev, Ukraine, 1991; p. 336. [Google Scholar]
- Feynman, R.; Leighton, R.; Sands, M. The Feynman Lectures on Physics, 2nd ed.; Addison-Wesley Publishing Company, Inc.: Reading, MA, USA; Palo alto, CA, USA; London, UK, 1964; p. 325. [Google Scholar]
- Winnefeld, C.; Kadyk, T.; Bensmann, B.; Krewer, U.; Hanke-Rauschenbach, R. Modelling and Designing Cryogenic Hydrogen Tanks for Future Aircraft Applications. Energies 2018, 11, 105. [Google Scholar] [CrossRef]
- Bednorz, J.G.; Müller, K.A. Possible highTc superconductivity in the Ba−La−Cu−O system. Phys. Z. Condens. Matter 1986, 64, 189–193. [Google Scholar] [CrossRef]
- Kalsi, S.S. Applications of High Temperature Superconductors to Electric Power Equipment; John Wiley and Sons: Hoboken, NJ, USA, 2011; p. 332. [Google Scholar]
- Sosnowski, J. Physical problems of applications HTc superconductors in electroengineering. Przegląd Elektrotechniczny 2014, 5, 247–251. [Google Scholar]
- Naji, H.; Harid, N.; Griffiths, H. Enhancement of DUBAL Network Operational Performance Using Resistive High Temperature Superconducting Fault Current Limiter. Energies 2019, 12, 3007. [Google Scholar] [CrossRef]
- Liu, B.; Wang, S.; Zhao, B.; Fang, J.; Wang, X. Analysis and calculation of LR circuit mathematical model for high temperature superconducting induction motor. Phys. C Supercond. Appl. 2020, 568, 1353579. [Google Scholar] [CrossRef]
- Rahman, O.; Muttaqi, K.M.; Sutanto, D. High Temperature Superconducting Devices and Renewable Energy Resources in Future Power Grids: A Case Study. IEEE Trans. Appl. Supercond. 2019, 29, 3800404. [Google Scholar] [CrossRef]
- Chen, L.; Chen, H.; Yang, J.; Yu, Y.; Zhen, K.; Liu, Y.; Ren, L. Coordinated Control of Superconducting Fault Current Limiter and Superconducting Magnetic Energy Storage for Transient Performance Enhancement of Grid-Connected Photovoltaic Generation System. Energies 2017, 10, 56. [Google Scholar] [CrossRef]
- Olm, M.; Badia, S.; Martín, A.F. Simulation of High Temperature Superconductors and experimental validation. Comput. Phys. Commun. 2019, 237, 154–167. [Google Scholar] [CrossRef]
- Baik, S.; Kwon, Y.; Park, S.; Kim, H. Performance analysis of a superconducting motor for higher efficiency design. IEEE Trans. Appl. Supercond. 2013, 23, 5202004. [Google Scholar] [CrossRef]
- Czaban, A. Mathematical Modeling of Oscillatory Processes in Electromechanical Systems; T. Soroki: Lviv, Ukraine, 2008; p. 328. [Google Scholar]
- Czaban, A. Hamilton-Ostrogradski Principle in Electromechanical Systems; T. Soroki: Lviv, Ukraine, 2015; p. 488. [Google Scholar]
- Andriollo, M.; Benato, R.; Tortella, A. Design and Modeling of an Integrated Flywheel Magnetic Suspension for Kinetic Energy Storage Systems. Energies 2020, 13, 847. [Google Scholar] [CrossRef]
- Zhai, M.; Long, Z.; Li, X. Fault-Tolerant Control of Magnetic Levitation System Based on State Observer in High Speed Maglev Train. IEEE Access 2019, 7, 31624–31633. [Google Scholar] [CrossRef]
- Sun, R.; Zheng, J.; Li, J.; Li, H.; Ma, S.; Deng, Z. Dynamic Characteristics of the Manned Hybrid Maglev Vehicle Employing Permanent Magnetic Levitation (PML) and Superconducting Magnetic Levitation (SML). IEEE Trans. Appl. Supercond. 2019, 29, 3600705. [Google Scholar] [CrossRef]
- Kim, J.; King, G.B.; Kim, C.H.; Ha, C.W. Modeling and designing levitation, roll and pitch controller for high accuracy maglev tray system. Mechatronics 2018, 53, 181–191. [Google Scholar] [CrossRef]
- Zhao, B.; Deng, Z.; Hu, Z.; Liu, Y.; Zhang, S.; Zheng, J. Levitation Force Characteristics of High-Temperature Superconducting Bulks in a High Magnetic Field. IEEE Trans. Appl. Supercond. 2020, 30, 6800305. [Google Scholar] [CrossRef]
- Lis, M. Mathematical Modeling of Transient Processes in Electric Drive Systems with Complex Motion Transmission; Publishing House of the Częstochowa University of Technology: Czestochowa, Poland, 2013; p. 258. [Google Scholar]
- Ortega, R.; Loría Perez, A.; Nicklasson, P.J.; Sira-Ramirez, H. Passivity-Based Control of Euler-Lagrange Systems: Mechanical, Electrical and Electromechanical Applications; Springer: London, UK, 1998; p. 543. [Google Scholar]
- Lee, H.W.; Kim, K.C.; Lee, J. Review of maglev train technologies. IEEE Trans. Magn. 2006, 42, 1917–1925. [Google Scholar]
- Boldea, I.; Tutelea, L.N.; Xu, W.; Pucci, M. Linear Electric Machines, Drives, and MAGLEVs: An Overview. IEEE Trans. Ind. Electron. 2018, 65, 7504–7515. [Google Scholar] [CrossRef]
- Zhai, M.; Hao, A.; Li, X.; Long, Z. Research on the Active Guidance Control System in High Speed Maglev Train. IEEE Access 2018, 7, 741–752. [Google Scholar] [CrossRef]
- Ding, S.; Sun, J.; Han, W.; Deng, G.; Jiang, F.; Wang, C. Modeling and Analysis of a Novel Guidance Magnet for High-Speed Maglev Train. IEEE Access 2019, 7, 133324–133334. [Google Scholar] [CrossRef]
- Lukasik, Z.; Czaban, A.; Szafraniec, A. Mathematical model of asynchronous pump drive with distributed mechanical parameters. Przegląd Elektrotechniczny 2018, 6, 155–159. [Google Scholar] [CrossRef]
- White, D.C.; Woodson, H.H. Electromagnetic Energy Conversion; John Wiley & Sons Inc.: New York, NY, USA, 1958; p. 646. [Google Scholar]
- Czaban, V.; Kozoriz, V.; Seńkiwski, R. Calculation of magnetic levitation in coaxial superconducting circuits. Tech. News 1994, 1, 60–62. [Google Scholar]
- Nejman, L.; Demirczian, K. Theoretical Principles of Electrical Engineering; Energoizdat: Moscow, Russia, 1981; p. 536. [Google Scholar]
Publisher’s Note: MDPI stays neutral with regard to jurisdictional claims in published maps and institutional affiliations. |
© 2020 by the authors. Licensee MDPI, Basel, Switzerland. This article is an open access article distributed under the terms and conditions of the Creative Commons Attribution (CC BY) license (http://creativecommons.org/licenses/by/4.0/).
















