The Optimization of the Thermal Performances of an Earth to Air Heat Exchanger for an Air Conditioning System: A Numerical Study
Abstract
:1. Introduction
1.1. General Concepts and Context
1.2. State of the Art
1.3. Aim of the Paper
2. Methods
2.1. The Design and the Assumptions Made
- the computational domain has two-dimensional geometry (formed by the ground and the duct) modelled in a longitudinal section for symmetry;
- the thermal resistance of the pipe is not considered (the reason for this is explained in the following subsection);
- a time-dependent analysis is conducted on the model until the stationarity is observed;
- 20 m is the depth where temperature of the ground is considered undisturbed;
- the properties of the soil in the whole domain are assumed to be constant;
- the soil is considered as an isotropic medium.
2.2. The Thermal Resistance Approach in the EAHX System
2.3. The Mathematical System
- the mass conservation of the humid air:where is a negative term that represents the mass of the condensed water;
- the conservation momentum is guaranteed by the Navier-Stokes equations for turbulent air flow:where is the turbulent viscosity defined as:with , that is one of the constants of the K- model for turbulent flow [47].
- the energy equation for the air flow:where is the effective conductivity defined as the sum of the conventional thermal conductivity of the fluid () and the thermal conductivity of the turbulent flow () and thus modeled as:
- Using the K- model for turbulent flow, the turbulence kinetic energy equation is:where can be evaluated as:The specific dissipation rate equation is:Table 1 reports the experimental constants of the K- model.
- to the lateral sides of the ground domain there is symmetry with the behavior of the ground beyond the sides; thus, adiabatic (2nd type) conditions are imposed;
- the sun-air temperature model is a 1st type boundary condition imposed at the top of the ground domain, as visible in Figure 1. This temperature takes into account the influence of both the incident solar radiation on the ground surface and the convective heat exchange with the external air, according to the following equation:
- at the inlet of the pipe, the temperature and relative humidity of the external air are imposed, whereas the inlet velocity of the air is a variable to be optimized through the investigation introduced in this paper (Figure 1).
2.4. Parameters of the Optimization and Operative Conditions
- the temperature of the outlet air;
- absolute value of the temperature difference between the inlet and outlet sections of the tube;
- efficiency of the EAHX, that is the ratio between the EAHX temperature span and the ideal temperature difference and it is defined as:
- (D = 0.1 m, v = 0.5 m s−1), where the fluid motion is associated to Re = 3312;
- (D = 0.1 m, v = 1.0 m s−1) and (D = 0.2 m, v = 0.5 m s−1) where Re = 6624;
3. Results
3.1. Effect of the Burial Depth
3.2. Effect of the Pipe Diameter
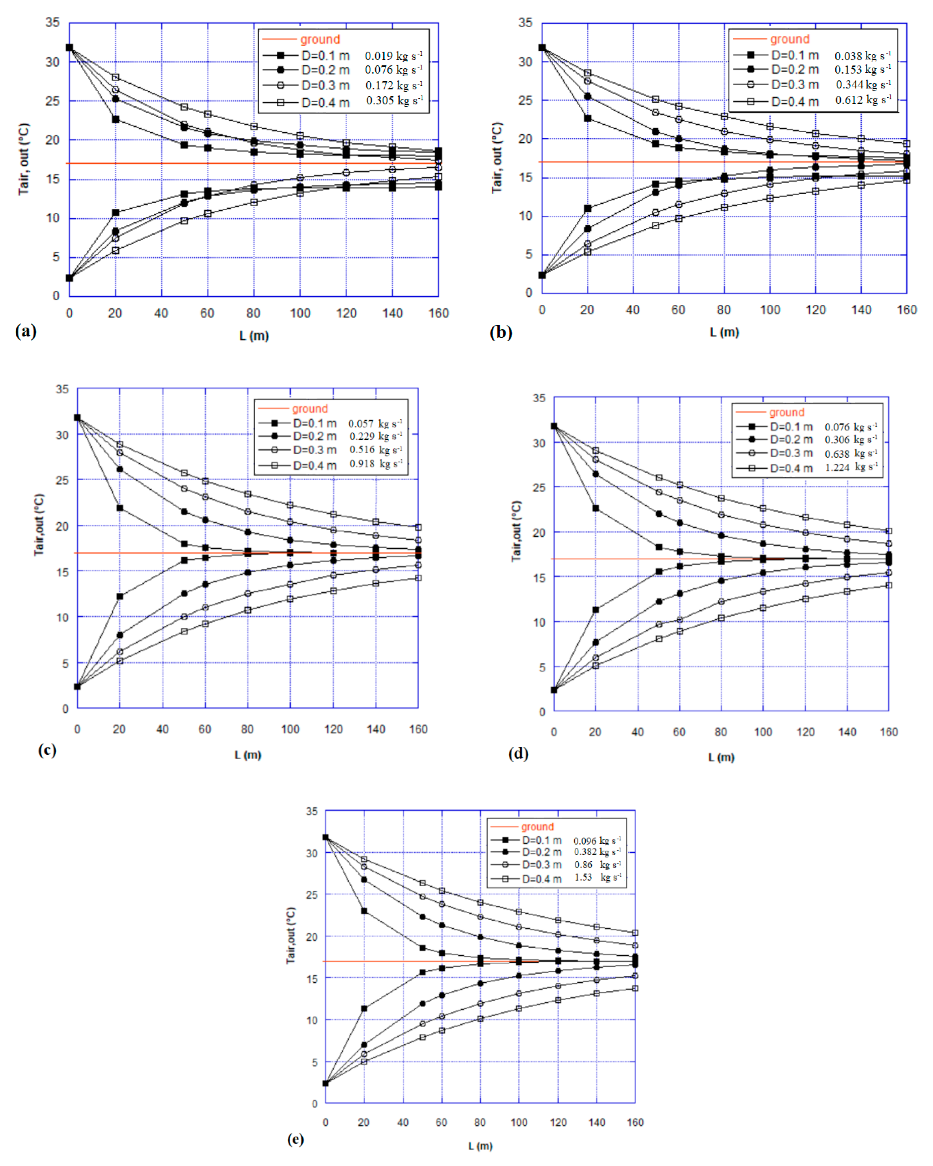
3.3. Effect of the Pipe Length
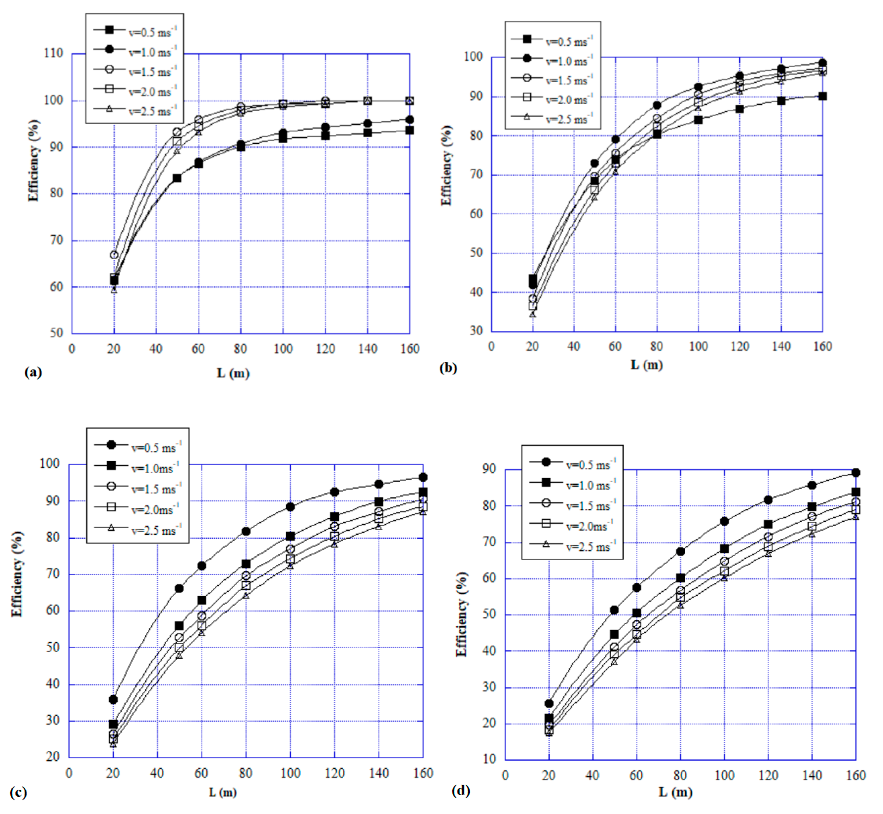
3.4. Effect of the Air Flow Velocity
3.5. Effect of the Air Temperature
4. Discussion and Conclusions
- the burial depth does not affect the thermal performances from 1.5 m onwards because of the typology of the study conducted (forcing design conditions to observe the steady-state answer of the EAHX).
- The thermal performances increase with the length of the pipe up to a certain limit, called saturation length over which no longer enhancements are registered. The smaller the diameter, the lower the saturation length;
- with the same length, the smaller the diameter the closer the outlet temperature to the ground temperature both for cooling and heating operation modes;
- a form factor greater than 500 is recommended with a Reynolds number that follows in the turbulent regime in order to optimize the thermal performances of the EAHX.
- Supposing that the fluid motion is fully turbulent, the slower the air flow, the closer the outlet temperature is to the ground temperature.
- The combination that optimizes the performances of the EAHX system that works under the design conditions for cooling and heating is D = 0.1 m s−1; v = 1.5 m s−1; L = 50 m.
- The effect of the inlet temperature of the air, if D = 0.1 m and v = 1.5 m s−1, reveals that the heat transfer is more pronounced at the beginning of the tube and that the temperature gradients along the pipe are greater for greater values of ∆T between the inlet air and the ground. Nevertheless, if the tube length exceeds the saturation value, the influence of this parameter is negligible.
- If the EAHX works in cooling mode, the air entering at higher temperatures could during the flowing process, generate water condensation along the tube. For fixed length and relative humidity, the entity of such a phenomenon grows with the inlet temperature.
Author Contributions
Funding
Conflicts of Interest
Nomenclature
| Roman symbols | |
| A | amplitude of the temperature variation, °C |
| C | constant of K- model |
| c | specific heat, J kg−1 K−1 |
| D | diameter of the pipe, m |
| E | energy, J |
| EAHX | Earth-to-Air-Heat-eXchanger |
| G | incident radiation, W m−2 |
| h | specific enthalpy, kJ kg−1 |
| HVAC | Heating, Ventilation & Air Conditioning |
| identity vector, - | |
| component of diffusion flux, kg m−3 s−1 | |
| K | turbulent kinetic energy, J |
| k | thermal conductivity, W m−1 K−1 |
| L | length of the pipe, m |
| flow rate, kg s−1 | |
| power, kW | |
| p | pressure, Pa |
| R | thermal resistance, W m−1 K−1 |
| Re | Reynolds number, - |
| source term, kg m−3 s−1 | |
| T | temperature, °C |
| t | time, s |
| U | convective heat transfer coefficient, W m−2 K−1 |
| fluid velocity vector, m s−1 | |
| z | generic property, m |
| Greek symbols | |
| α | absorbance of the surface |
| Δ | finite difference |
| partial derivative | |
| efficiency, % | |
| turbulent cinematic viscosity, m2 s−1 | |
| μ | dynamic viscosity, Pa s−1 |
| ν | cinematic viscosity, m2 s−1 |
| ρ | density, kg m−3 |
| σ | constant of K- model |
| τ | tangential stress, Pa m−1 |
| Φ | relative humidity, % |
| ψ | porosity, % |
| ω | humidity ratio, gv kga−1 |
| Subscripts | |
| 0 | phase constant of the lowest average/mean soil surface temperature since the beginning of the year |
| air | air |
| c | convective |
| cond | condensed |
| eff | effective |
| eq | equivalent |
| ext | external |
| related to turbulent cinematic viscosity | |
| f | fluid |
| ground | ground |
| h | heating |
| in | inlet of the EAHX |
| int | internal |
| j | species |
| liquid | liquid |
| m | annual mean soil |
| mass | mass |
| min | minimum |
| out | outlet of the EAHX |
| μ | related to the evaluation of turbulent dynamic viscosity |
| sa | sun-air |
| soil | soil |
| solid | solid |
| T | turbulent |
References
- Perez-Lombard, L.; Ortiz, J.; Maestre, I.R. The map of energy flow in HVAC systems. Appl. Energy 2011, 88, 5020–5031. [Google Scholar] [CrossRef]
- Lu, Y.; Wang, S.; Zhao, Y.; Yan, C. Renewable energy system optimization of low/zero energy buildings using single-objective and multi-objective optimization methods. Energy Build. 2015, 89, 61–75. [Google Scholar] [CrossRef]
- Buonomano, A.; Guarino, F. The impact of thermophysical properties and hysteresis effects on the energy performance simulation of PCM wallboards: Experimental studies, modelling, and validation. Renew. Sustain. Energy Rev. 2020, 126, 109807. [Google Scholar] [CrossRef]
- Aprea, C.; Greco, A.; Maiorino, A.; Masselli, C. The employment of caloric-effect materials for solid-state heat pumping. Int. J. Refrig. 2020, 109, 1–11. [Google Scholar] [CrossRef]
- Buonomano, A. Building to Vehicle to Building concept: A comprehensive parametric and sensitivity analysis for decision making aims. Appl. Energy 2020, 261, 114077. [Google Scholar] [CrossRef]
- Aprea, C.; Greco, A.; Maiorino, A. The application of a desiccant wheel to increase the energetic performances of a transcritical cycle. Energy Convers. Manag. 2015, 89, 222–230. [Google Scholar] [CrossRef]
- Aprea, C.; Greco, A.; Maiorino, A.; Masselli, C. The drop-in of HFC134a with HFO1234ze in a household refrigerator. Int. J. Therm. Sci. 2018, 127, 117–125. [Google Scholar] [CrossRef]
- McLinden, M.O.; Domanski, P.A.; Kazakov, A.; Heo, J.; Brown, J.S. Possibilities, Limits, and Tradeoffs for Refrigerants in the Vapor Compression Cycle; ASHRAE Transactions: Gaithersburg, MD, USA, 2012. [Google Scholar]
- Greco, A.; Vanoli, G.P. Experimental two-phase pressure gradients during evaporation of pure and mixed refrigerants in a smooth horizontal tube. Comparison with correlations. Heat Mass Transf. 2006, 42, 709–725. [Google Scholar] [CrossRef]
- Greco, A.; Vanoli, G.P. Flow boiling heat transfer with HFC mixtures in a smooth horizontal tube. Part II: Assessment of predictive methods. Exp. Therm. Fluid Sci. 2005, 29, 199–208. [Google Scholar] [CrossRef]
- Aprea, C.; Greco, A.; Maiorino, A.; Masselli, C. Analyzing the energetic performances of AMR regenerator working with different magnetocaloric materials: Investigations and viewpoints. Int. J. Heat Technol. 2017, 35, S383–S390. [Google Scholar] [CrossRef]
- Aprea, C.; Greco, A.; Maiorino, A.; Masselli, C. The use of barocaloric effect for energy saving in a domestic refrigerator with ethylene-glycol based nanofluids: A numerical analysis and a comparison with a vapor compression cooler. Energy 2020, 190, 116404. [Google Scholar] [CrossRef]
- Aprea, C.; Greco, A.; Maiorino, A.; Masselli, C. Solid-state refrigeration: A comparison of the energy performances of caloric materials operating in an active caloric regenerator. Energy 2018, 165, 439–455. [Google Scholar] [CrossRef]
- Aprea, C.; Greco, A.; Maiorino, A.; Masselli, C. The environmental impact of solid-state materials working in an active caloric refrigerator compared to a vapor compression cooler. Int. J. Heat Technol. 2018, 36, 1155–1162. [Google Scholar] [CrossRef]
- Coulomb, D. Air conditioning environmental challenges. REHVA J. 2015, 4, 30–34. [Google Scholar]
- Li, Z.X.; Shahsavar, A.; Al-Rashed, A.A.; Kalbasi, R.; Afrand, M.; Talebizadehsardari, P. Multi-objective energy and exergy optimization of different configurations of hybrid earth-air heat exchanger and building integrated photovoltaic/thermal system. Energy Convers. Manag. 2019, 195, 1098–1110. [Google Scholar] [CrossRef]
- Akhtari, M.R.; Shayegh, I.; Karimi, N. Techno-economic assessment and optimization of a hybrid renewable earth—Air heat exchanger coupled with electric boiler, hydrogen, wind and PV configurations. Renew. Energy 2020, 148, 839–851. [Google Scholar] [CrossRef]
- Mahdavi, S.; Sarhaddi, F.; Hedayatizadeh, M. Energy/exergy based-evaluation of heating/cooling potential of PV/T and earth-air heat exchanger integration into a solar greenhouse. Appl. Therm. Eng. 2019, 149, 996–1007. [Google Scholar] [CrossRef]
- Kurevija, T.; Vulin, D.; Krapec, V. Influence of undisturbed ground temperature and geothermal gradient on the sizing of borehole heat exchangers. In Proceedings of the World Renewable Energy Congress, Linkoping, Sweden, 8–11 May 2011; pp. 8–13. [Google Scholar]
- Samuel, D.L.; Nagendra, S.S.; Maiya, M.P. Passive alternatives to mechanical air conditioning of building: A review. Build. Environ. 2013, 66, 54–64. [Google Scholar] [CrossRef]
- Liu, Z.; Yu, Z.J.; Yang, T.; Roccamena, L.; Sun, P.; Li, S.; Zhang, G.; El Mankibi, M. Numerical modeling and parametric study of a vertical earth-to-air heat exchanger system. Energy 2019, 172, 220–231. [Google Scholar] [CrossRef]
- Agrawal, K.K.; Agrawal, G.D.; Misra, R.; Bhardwaj, M.; Jamuwa, D.K. A review on effect of geometrical, flow and soil properties on the performance of Earth air tunnel heat exchanger. Energy Build. 2018, 176, 120–138. [Google Scholar] [CrossRef]
- Agrawal, K.K.; Misra, R.; Agrawal, G.D.; Bhardwaj, M.; Jamuwa, D.K. The state of art on the applications, technology integration, and latest research trends of earth-air-heat exchanger system. Geothermics 2019, 82, 34–50. [Google Scholar] [CrossRef]
- Selamat, S.; Miyara, A.; Kariya, K. Numerical study of horizontal ground heat exchangers for design optimization. Renew. Energy 2016, 95, 561–573. [Google Scholar] [CrossRef]
- Mathur, A.; Mathur, S.; Agrawal, G.D.; Mathur, J. Comparative study of straight and spiral earth air tunnel heat exchanger system operated in cooling and heating modes. Renew. Energy 2017, 108, 474–487. [Google Scholar] [CrossRef]
- Benrachi, N.; Ouzzane, M.; Smaili, A.; Lamarche, L.; Badache, M.; Maref, W. Numerical parametric study of a new earth-air heat exchanger configuration designed for hot and arid climates. Int. J. Green Energy 2020, 17, 115–126. [Google Scholar] [CrossRef]
- Sodha, M.S.; Mahajan, U.; Sawhney, R.L. Thermal performance of a parallel earth air-pipes system. Int. J. Energy Res. 1994, 18, 437–447. [Google Scholar] [CrossRef]
- Wu, H.; Wang, S.; Zhu, D. Modelling and evaluation of cooling capacity of earth–air–pipe systems. Energy Convers. Manag. 2007, 48, 1462–1471. [Google Scholar] [CrossRef]
- Mihalakakou, G.; Santamouris, M.; Asimakopoulos, D. On the cooling potential of earth to air heat exchangers. Energy Convers. Manag. 1994, 35, 395–402. [Google Scholar] [CrossRef]
- Mihalakakou, G.; Lewis, J.O.; Santamouris, M. On the heating potential of buried pipes techniques—Application in Ireland. Energy Build. 1996, 24, 19–25. [Google Scholar] [CrossRef]
- Goswami, D.Y.; Biseli, K.M. Use of underground air tunnels for heating and cooling agricultural and residential buildings. Fact Sheet EES 1993, 78, 1–4. [Google Scholar]
- Sehli, A.; Hasni, A.; Tamali, M. The Potential of Earth-air Heat Exchangers for Low Energy Cooling of Buildings in South Algeria. Energy Procedia 2012, 18, 496–506. [Google Scholar] [CrossRef]
- Hanby, V.I.; Loveday, D.L.; Al-Ajmi, F. The optimal design for a ground cooling tube in a hot, arid climate. Build. Serv. Eng. Res. Technol. 2005, 26, 1–10. [Google Scholar] [CrossRef]
- Niu, F.; Yu, Y.; Yu, D.; Li, H. Heat and mass transfer performance analysis and cooling capacity prediction of earth to air heat exchanger. Appl. Energy 2015, 137, 211–221. [Google Scholar] [CrossRef]
- Derbel, H.B.J.; Kanoun, O. Investigation of the ground thermal potential in tunisia focused towards heating and cooling applications. Appl. Therm. Eng. 2010, 30, 1091–1100. [Google Scholar] [CrossRef]
- Benhammou, M.; Draoui, B. Parametric study on thermal performance of earth-to-air heat exchanger used for cooling of buildings. Renew. Sustain. Energy Rev. 2015, 44, 348–355. [Google Scholar] [CrossRef]
- Lee, K.H.; Strand, R.K. The cooling and heating potential of an earth tube system in buildings. Energy Build. 2008, 40, 486–494. [Google Scholar] [CrossRef]
- Ahmed, S.F.; Amanullah, M.T.O.; Khan, M.M.K.; Rasul, M.G.; Hassan, N.M.S. Parametric study on thermal performance of horizontal earth pipe cooling system in summer. Energy Convers. Manag. 2016, 114, 324–337. [Google Scholar] [CrossRef]
- Popiel, C.O.; Wojtkowiak, J.; Biernacka, B. Measurements of temperature distribution in ground. Exp. Therm. Fluid Sci. 2001, 25, 301–309. [Google Scholar] [CrossRef]
- Sanusi, A.N.; Shao, L.; Ibrahim, N. Passive ground cooling system for low energy buildings in Malaysia (hot and humid climates). Renew. Energy 2013, 49, 193–196. [Google Scholar] [CrossRef]
- Mihalakakou, G.; Santamouris, M.; Asimakopoulos, D.; Papanikolaou, N. Impact of ground cover on the efficiencies of earth-to-air heat exchangers. Appl. Energy 1994, 48, 19–32. [Google Scholar] [CrossRef]
- Badescu, V. Simple and accurate model for the ground heat exchanger of a passive house. Renew. Energy 2007, 32, 845–855. [Google Scholar] [CrossRef]
- Hermes, V.F.; Ramalho, J.V.A.; Rocha, L.A.O.; dos Santos, E.D.; Marques, W.C.; Costi, J.; Rodrigues, M.; Isoldi, L.A. Further realistic annual simulations of earth-air heat exchangers installations in a coastal city. Sustain. Energy Technol. Assess. 2020, 37, 100603. [Google Scholar] [CrossRef]
- Bansal, V.; Misra, R.; Agrawal, G.D.; Mathur, J. Performance analysis of earth–pipe–air heat exchanger for winter heating. Energy Build. 2009, 41, 1151–1154. [Google Scholar] [CrossRef]
- Bansal, V.; Misra, R.; Agrawal, G.D.; Mathur, J. Performance analysis of earth–pipe–air heat exchanger for summer cooling. Energy Build. 2010, 42, 645–648. [Google Scholar] [CrossRef]
- American Society of Heating, Refrigerating and Air-Conditioning Engineers (ASHRAE). ASHRAE Handbook Fundamentals; SI Ed.; ASHRAE: Atlanta, GA, USA, 2017. [Google Scholar]
- D’Agostino, D.; Greco, A.; Masselli, C.; Minichiello, F. The employment of an earth-to-air heat exchanger as pre-treating unit of an air conditioning system for energy saving: A comparison among different worldwide climatic zones. Energy Build. 2020, 229, 110517. [Google Scholar] [CrossRef]
- Misra, R.; Jakhar, S.; Agrawal, K.K.; Sharma, S.; Jamuwa, D.K.; Soni, M.S.; Agrawal, G.D. Field investigations to determine the thermal performance of earth air tunnel heat exchanger with dry and wet soil: Energy and exergetic analysis. Energy Build. 2018, 171, 107–115. [Google Scholar] [CrossRef]
- Hatraf, N.; Chabane, F.; Brima, A.; Moummi, N.; Moummi, A. Parametric Study of to Design an Earth to Air Heat Exchanger with Experimental Validation. Eng. J. 2014, 18, 41–54. [Google Scholar] [CrossRef]
- Hasan, M.I.; Noori, S.W.; Shkarah, A.J. Parametric study on the performance of the earth-to-air heat exchanger for cooling and heating applications. Heat Transf.-Asian Res. 2019, 48, 1805–1829. [Google Scholar] [CrossRef]
- Kusuda, T.; Achenbach, P.R. Earth Temperature and Thermal Diffusivity at Selected Stations in the United States (No. NBS-8972); ASHRAE Transactions: Gaithersburg, MD, USA, 1965; Volume 71. [Google Scholar]
- D’Agostino, D.; Esposito, F.; Greco, A.; Masselli, C.; Minichiello, F. The Energy Performances of a Ground-to-Air Heat Exchanger: A Comparison Among Köppen Climatic Areas. Energies 2020, 13, 2895. [Google Scholar] [CrossRef]
- Chen, D.; Chen, H.W. Using the Köppen classification to quantify climate variation and change: An example for 1901–2010. Environ. Dev. 2013, 6, 69–79. [Google Scholar] [CrossRef]
- D’Agostino, D.; Esposito, F.; Greco, A.; Masselli, C.; Minichiello, F. Parametric Analysis on an Earth-to-Air Heat Exchanger Employed in an Air Conditioning System. Energies 2020, 13, 2925. [Google Scholar] [CrossRef]
- Everts, M.; Bhattacharyya, S.; Bashir, A.I.; Meyer, J.P. Heat transfer characteristics of assisting and opposing laminar flow through a vertical circular tube at low Reynolds numbers. Appl. Therm. Eng. 2020, 179, 115696. [Google Scholar] [CrossRef]
- Bashir, A.I.; Everts, M.; Bennacer, R.; Meyer, J.P. Single-phase forced convection heat transfer and pressure drop in circular tubes in the laminar and transitional flow regimes. Exp. Therm. Fluid Sci. 2019, 109, 109891. [Google Scholar] [CrossRef]
- Agrawal, K.K.; Misra, R.; Agrawal, G.D.; Bhardwaj, M.; Jamuwa, D.K. Effect of different design aspects of pipe for earth air tunnel heat exchanger system: A state of art. Int. J. Green Energy 2019, 16, 598–614. [Google Scholar] [CrossRef]
- Bharadwaj, S.S.; Bansal, N.K. Temperature distribution inside ground for various surface conditions. Build. Environ. 1981, 16, 183–192. [Google Scholar] [CrossRef]
- Bansal, N.K.; Sodha, M.S.; Bharadwaj, S.S. Performance of earth air tunnels. Int. J. Energy Res. 1983, 7, 333–345. [Google Scholar] [CrossRef]
- Bansal, N.K.; Sodha, M.S. An earth-air tunnel system for cooling buildings. Tunn. Undergr. Space Technol. 1986, 1, 177–182. [Google Scholar] [CrossRef]
- Wang, H.; Qi, C.; Wang, E.; Zhao, J. A case study of underground thermal storage in a solar-ground coupled heat pump system for residential buildings. Renew. Energy 2009, 34, 307–314. [Google Scholar] [CrossRef]
- Mihalakakou, G.; Santamouris, M.; Asimakopoulos, D. Modelling the thermal performance of earth-to-air heat exchangers. Sol. Energy 1994, 53, 301–305. [Google Scholar] [CrossRef]
- Mihalakakou, G.; Lewis, J.O.; Santamouris, M. The influence of different ground covers on the heating potential of earth-to-air heat exchangers. Renew. Energy 1996, 7, 33–46. [Google Scholar] [CrossRef]
- Ghosal, M.K.; Tiwari, G.N. Modeling and parametric studies for thermal performance of an earth to air heat exchanger integrated with a greenhouse. Energy Convers. Manag. 2006, 47, 1779–1798. [Google Scholar] [CrossRef]
- Kabashnikov, V.P.; Danilevskii, L.N.; Nekrasov, V.P.; Vityaz, I.P. Analytical and numerical investigation of the characteristics of a soil heat exchanger for ventilation systems. Int. J. Heat Mass Transf. 2002, 45, 2407–2418. [Google Scholar] [CrossRef]












| Constant | Value |
|---|---|
| Cµ | 0.09 |
| Cε1 | 1.44 |
| Cε2 | 1.92 |
| 1.0 | |
| 1.3 |
| Climatic Zone—Locality | Geographic Coordinates | Winter Design Parameters | Summer Design Parameters | ||||
|---|---|---|---|---|---|---|---|
| T [°C] | Φ [%] | G [Wm−2] | T [°C] | Φ [%] | G [Wm−2] | ||
| Csa—Naples | Lat. 40°51′22″ N Long. 14°14′47″ W | 1.90 | 52.00 | 808 | 31.90 | 48.60 | 825 |
| D [m] | u [m s−1] | Re [104] |
|---|---|---|
| 0.1 | 0.5 | 3312 |
| 0.1 | 1 | 6624 |
| 0.1 | 1.5 | 9936 |
| 0.1 | 2 | 13,248 |
| 0.1 | 2.5 | 16,560 |
| 0.2 | 0.5 | 6624 |
| 0.2 | 1 | 13,248 |
| 0.2 | 1.5 | 19,873 |
| 0.2 | 2 | 26,497 |
| 0.2 | 2.5 | 33,121 |
| 0.3 | 0.5 | 9936 |
| 0.3 | 1 | 19,873 |
| 0.3 | 1.5 | 29,809 |
| 0.3 | 2 | 39,745 |
| 0.3 | 2.5 | 49,681 |
| 0.4 | 0.5 | 13,248 |
| 0.4 | 1 | 26,497 |
| 0.4 | 1.5 | 39,745 |
| 0.4 | 2 | 52,993 |
| 0.4 | 2.5 | 66,242 |
Publisher’s Note: MDPI stays neutral with regard to jurisdictional claims in published maps and institutional affiliations. |
© 2020 by the authors. Licensee MDPI, Basel, Switzerland. This article is an open access article distributed under the terms and conditions of the Creative Commons Attribution (CC BY) license (http://creativecommons.org/licenses/by/4.0/).
Share and Cite
Greco, A.; Masselli, C. The Optimization of the Thermal Performances of an Earth to Air Heat Exchanger for an Air Conditioning System: A Numerical Study. Energies 2020, 13, 6414. https://doi.org/10.3390/en13236414
Greco A, Masselli C. The Optimization of the Thermal Performances of an Earth to Air Heat Exchanger for an Air Conditioning System: A Numerical Study. Energies. 2020; 13(23):6414. https://doi.org/10.3390/en13236414
Chicago/Turabian StyleGreco, Adriana, and Claudia Masselli. 2020. "The Optimization of the Thermal Performances of an Earth to Air Heat Exchanger for an Air Conditioning System: A Numerical Study" Energies 13, no. 23: 6414. https://doi.org/10.3390/en13236414

