Optimal ESS Scheduling for Peak Shaving of Building Energy Using Accuracy-Enhanced Load Forecast
Abstract
1. Introduction
2. Building Load Forecast Using Real-Time Temperature Information
2.1. Load Demand Forecast Using LSTM
2.2. Forecast Compensation Using Real-Time Temperature Data
3. Optimal ESS Scheduling for Peak Shaving
3.1. Day-Ahead ESS Scheduling
3.2. ESS Rescheduling Using Accuracy-Enhanced Load Forecast
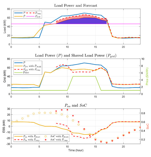
4. Case Study
4.1. Load Demand Forecast
4.2. Compensating Load Forecast
4.3. ESS Scheduling
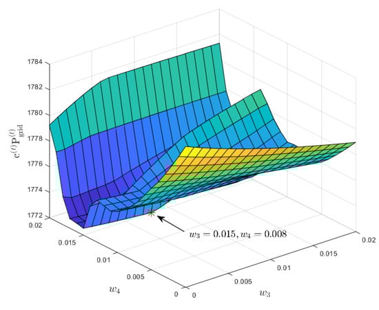
5. Discussion: Effect of Tuning Parameters on Performance
5.1. Effect of Weights and
5.2. Effect of
6. Conclusions
Author Contributions
Funding
Acknowledgments
Conflicts of Interest
Abbreviations
| LSTM | Long Short-Term Memory |
| MLP | Multi-Layer Perceptron |
| BEMS | Building Energy Management System |
| ESS | Energy Storage System |
| MAE | Mean Absolute Error |
| RMSE | Root Mean Square Error |
| Nomenclature | |
| Forecast | |
| T | Outdoor temperature. |
| P | Load power. |
| Prediction of the outdoor temperature. | |
| Prediction of the load power. | |
| Deviation of temperature prediction (). | |
| Deviation error of load prediction (). | |
| Compensated prediction of the load power. | |
| ESS Scheduling | |
| t | Hourly time interval. |
| Power from the ESS. | |
| Power between the load forecast and . | |
| Estimated power purchased from the utility. | |
| A tuning parameter for peak shaving. | |
| State of charge of the ESS. | |
| Electricity price. | |
| Power purchased from the utility. |
References
- Uddin, M.; Romlie, M.F.; Abdullah, M.F.; Abd Halim, S.; Abu Bakar, A.H.; Chia Kwang, T. A review on peak load shaving strategies. Renew. Sustain. Energy Rev. 2018, 82, 3323–3332. [Google Scholar] [CrossRef]
- Rahimi, A.; Zarghami, M.; Vaziri, M.; Vadhva, S. A simple and effective approach for peak load shaving using Battery Storage Systems. In Proceedings of the 2013 North American Power Symposium (NAPS), Manhattan, KS, USA, 22–24 September 2013; pp. 1–5. [Google Scholar]
- Joshi, K.A.; Pindoriya, N.M. Day-ahead dispatch of Battery Energy Storage System for peak load shaving and load leveling in low voltage unbalance distribution networks. In Proceedings of the 2015 IEEE Power Energy Society General Meeting, Denver, CO, USA, 26–30 July 2015; pp. 1–5. [Google Scholar]
- Kodaira, D.; Jung, W.; Han, S. Optimal Energy Storage System Operation for Peak Reduction in a Distribution Network Using a Prediction Interval. IEEE Trans. Smart Grid 2020, 11, 2208–2217. [Google Scholar] [CrossRef]
- Martins, R.; Hesse, H.C.; Jungbauer, J.; Vorbuchner, T.; Musilek, P. Optimal Component Sizing for Peak Shaving in Battery Energy Storage System for Industrial Applications. Energies 2018, 11, 2048. [Google Scholar] [CrossRef]
- Gibilisco, P.; Ieva, G.; Marcone, F.; Porro, G.; Tuglie, E.D. Day-ahead operation planning for microgrids embedding Battery Energy Storage Systems. A case study on the PrInCE Lab microgrid. In 2018 AEIT International Annual Conference; IEEE: Piscataway, NJ, USA, 2018; pp. 1–6. [Google Scholar]
- Yu, L.; Jiang, T.; Zou, Y. Online Energy Management for a Sustainable Smart Home With an HVAC Load and Random Occupancy. IEEE Trans. Smart Grid 2019, 10, 1646–1659. [Google Scholar]
- Kim, N.K.; Shim, M.H.; Won, D. Building Energy Management Strategy Using an HVAC System and Energy Storage System. Energies 2018, 11, 2690. [Google Scholar] [CrossRef]
- Niu, D.X.; Wanq, Q.; Li, J.C. Short term load forecasting model using support vector machine based on artificial neural network. In Proceedings of the 2005 International Conference on Machine Learning and Cybernetics, Guangzhou, China, 18–21 August 2005; Volume 7, pp. 4260–4265. [Google Scholar]
- Chen, C.; Duan, S.; Cai, T.; Liu, B.; Hu, G. Optimal Allocation and Economic Analysis of Energy Storage System in Microgrids. IEEE Trans. Power Electron. 2011, 26, 2762–2773. [Google Scholar] [CrossRef]
- Soroudi, A.; Siano, P.; Keane, A. Optimal DR and ESS Scheduling for Distribution Losses Payments Minimization Under Electricity Price Uncertainty. IEEE Trans. Smart Grid 2016, 7, 261–272. [Google Scholar] [CrossRef]
- Mukhopadhyay, P.; Mitra, G.; Banerjee, S.; Mukherjee, G. Electricity load forecasting using fuzzy logic: Short term load forecasting factoring weather parameter. In Proceedings of the 2017 7th International Conference on Power Systems (ICPS), Pune, India, 21–23 December 2017; pp. 812–819. [Google Scholar]
- González, P.A.; Zamarreño, J.M. Prediction of hourly energy consumption in buildings based on a feedback artificial neural network. Energy Build. 2005, 37, 595–601. [Google Scholar] [CrossRef]
- Deb, C.; Eang, L.S.; Yang, J.; Santamouris, M. Forecasting diurnal cooling energy load for institutional buildings using Artificial Neural Networks. Energy Build. 2016, 121, 284–297. [Google Scholar] [CrossRef]
- Rahman, A.; Srikumar, V.; Smith, A.D. Predicting electricity consumption for commercial and residential buildings using deep recurrent neural networks. Appl. Energy 2018, 212, 372–385. [Google Scholar] [CrossRef]
- Bouktif, S.; Fiaz, A.; Ouni, A.; Serhani, M.A. Optimal Deep Learning LSTM Model for Electric Load Forecasting using Feature Selection and Genetic Algorithm: Comparison with Machine Learning Approaches. Energies 2018, 11, 1636. [Google Scholar] [CrossRef]
- Fan, C.; Wang, J.; Gang, W.; Li, S. Assessment of deep recurrent neural network-based strategies for short-term building energy predictions. Appl. Energy 2019, 236, 700–710. [Google Scholar] [CrossRef]
- Kong, W.; Dong, Z.Y.; Jia, Y.; Hill, D.J.; Xu, Y.; Zhang, Y. Short-Term Residential Load Forecasting Based on LSTM Recurrent Neural Network. IEEE Trans. Smart Grid 2019, 10, 841–851. [Google Scholar] [CrossRef]
- Yudantaka, K.; Kim, J.S.; Song, H. Dual Deep Learning Networks Based Load Forecasting with Partial Real-Time Information and Its Application to System Marginal Price Prediction. Energies 2020, 13, 148. [Google Scholar] [CrossRef]
- Tushar, M.H.K.; Zeineddine, A.W.; Assi, C. Demand-Side Management by Regulating Charging and Discharging of the EV, ESS, and Utilizing Renewable Energy. IEEE Trans. Ind. Inform. 2018, 14, 117–126. [Google Scholar] [CrossRef]
- Zhang, Z.; Wang, J.; Ding, T.; Wang, X. A Two-Layer Model for Microgrid Real-Time Dispatch Based on Energy Storage System Charging/Discharging Hidden Costs. IEEE Trans. Sustain. Energy 2017, 8, 33–42. [Google Scholar] [CrossRef]
- Choi, S.; Min, S. Optimal Scheduling and Operation of the ESS for Prosumer Market Environment in Grid-Connected Industrial Complex. IEEE Trans. Ind. Appl. 2018, 54, 1949–1957. [Google Scholar] [CrossRef]
- Hochreiter, S.; Schmidhuber, J. Long Short-Term Memory. Neural Comput. 2006, 9, 1735–1780. [Google Scholar] [CrossRef] [PubMed]
- Goodfellow, I.; Bengio, Y.; Courville, A. Deep Learning; MIT Press: Cambridge, MA, USA, 2017. [Google Scholar]
- OpenEI. Available online: https://openei.org/datasets/dataset/consumption-outdoor-air-temperature-11-commercial-buildings (accessed on 30 September 2019).
- Tensorflow.org. Deep Learning Library developed by Google. Available online: https://www.tensorflow.org/ (accessed on 14 October 2019).
- CVX. Matlab Software for Disciplined Convex Programming. Available online: http://cvxr.com/ (accessed on 1 June 2020).





















| Parameter | LSTM | MLP |
|---|---|---|
| Number of layers | 3 | 3 |
| Number of neurons | 128 × 128 × 2 | 64 × 64 × 16 |
| Batch size | 5 | 5 |
| Number of epochs | 100 | 100 |
| Learning rate | 0.001 | 0.001 |
| Loss function | MAE | MAE |
| Optimizer | ADAM | ADAM |
| RMSE Value | |
|---|---|
| Prediction by only the LSTM | 5.078 |
| Compensated prediction | 4.306 |
| 0.5 | 500 | 0.015, 0.008 |
| 0.95 | 120 kWh | 3 |
| 30 | 0.1 | 0.9 |
| Baseline | = 50 kW (50% of ESS) |
| 1772 | |
| Case 1 | = 46 kW (80% of ESS) |
| 1703 | |
| Case 2 | = 54 kW (20% of ESS) |
| 1868 |
Publisher’s Note: MDPI stays neutral with regard to jurisdictional claims in published maps and institutional affiliations. |
© 2020 by the authors. Licensee MDPI, Basel, Switzerland. This article is an open access article distributed under the terms and conditions of the Creative Commons Attribution (CC BY) license (http://creativecommons.org/licenses/by/4.0/).
Share and Cite
Hwang, J.S.; Rosyiana Fitri, I.; Kim, J.-S.; Song, H. Optimal ESS Scheduling for Peak Shaving of Building Energy Using Accuracy-Enhanced Load Forecast. Energies 2020, 13, 5633. https://doi.org/10.3390/en13215633
Hwang JS, Rosyiana Fitri I, Kim J-S, Song H. Optimal ESS Scheduling for Peak Shaving of Building Energy Using Accuracy-Enhanced Load Forecast. Energies. 2020; 13(21):5633. https://doi.org/10.3390/en13215633
Chicago/Turabian StyleHwang, Jin Sol, Ismi Rosyiana Fitri, Jung-Su Kim, and Hwachang Song. 2020. "Optimal ESS Scheduling for Peak Shaving of Building Energy Using Accuracy-Enhanced Load Forecast" Energies 13, no. 21: 5633. https://doi.org/10.3390/en13215633
APA StyleHwang, J. S., Rosyiana Fitri, I., Kim, J.-S., & Song, H. (2020). Optimal ESS Scheduling for Peak Shaving of Building Energy Using Accuracy-Enhanced Load Forecast. Energies, 13(21), 5633. https://doi.org/10.3390/en13215633

