Reduced Model and Comparative Analysis of the Thermal Performance of Indirect Solar Dryer with and without PCM
Abstract
1. Introduction
2. Thermal Model
2.1. Assumptions
- The model invokes the quasi-equilibrium condition for the non-stationary state.
- Heat transfer is considered one-dimensional, and the collector main parts are considered as lumped systems.
- Heat losses through the collector walls are negligible compared with other terms in the energy equation.
- The melting process is considered mainly by conduction due to heating from the top to the bottom.
2.2. Model
2.3. Model Inputs and Outputs
3. Validation
3.1. Experimental Setup and Measurements
3.2. Model Validation
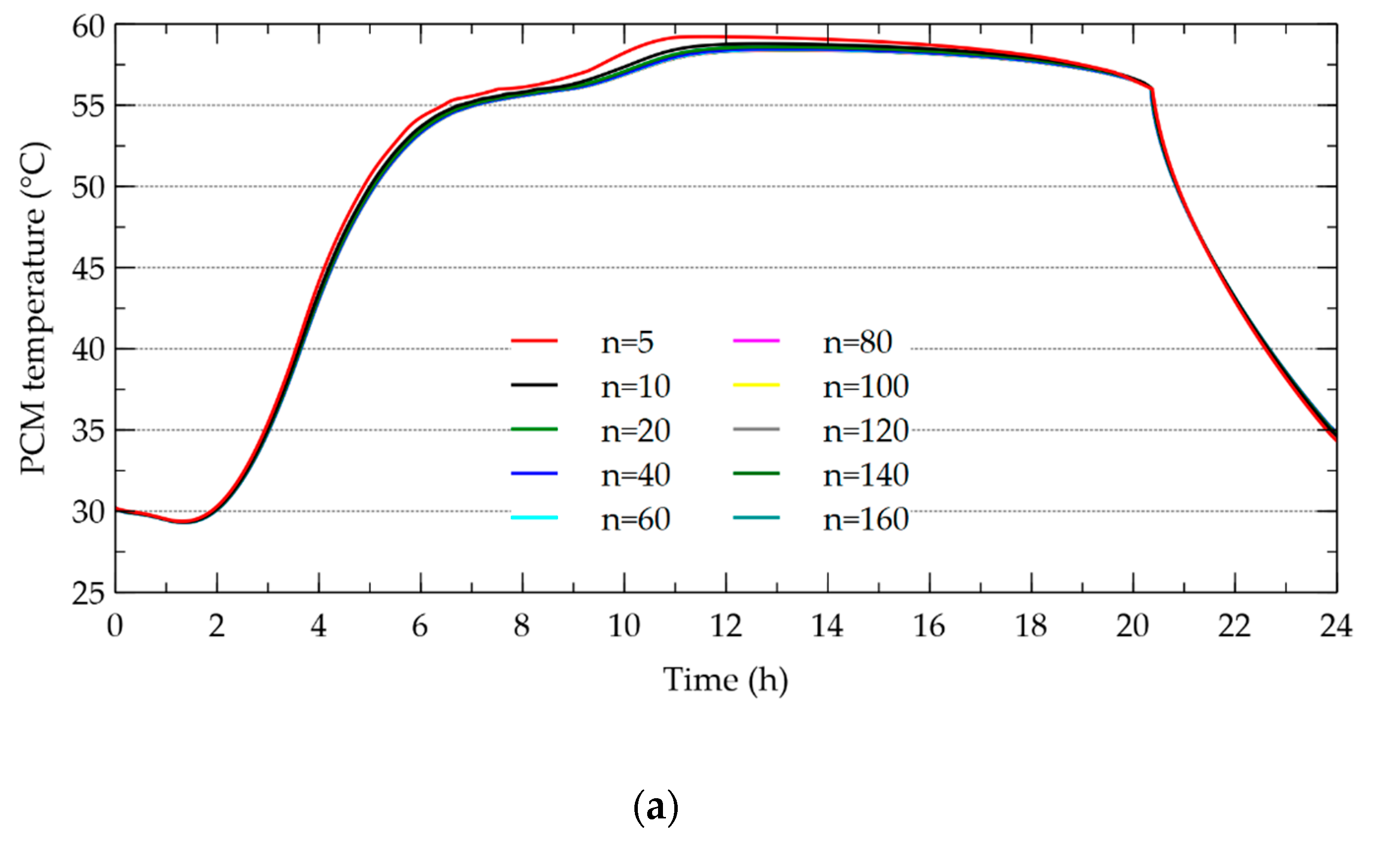
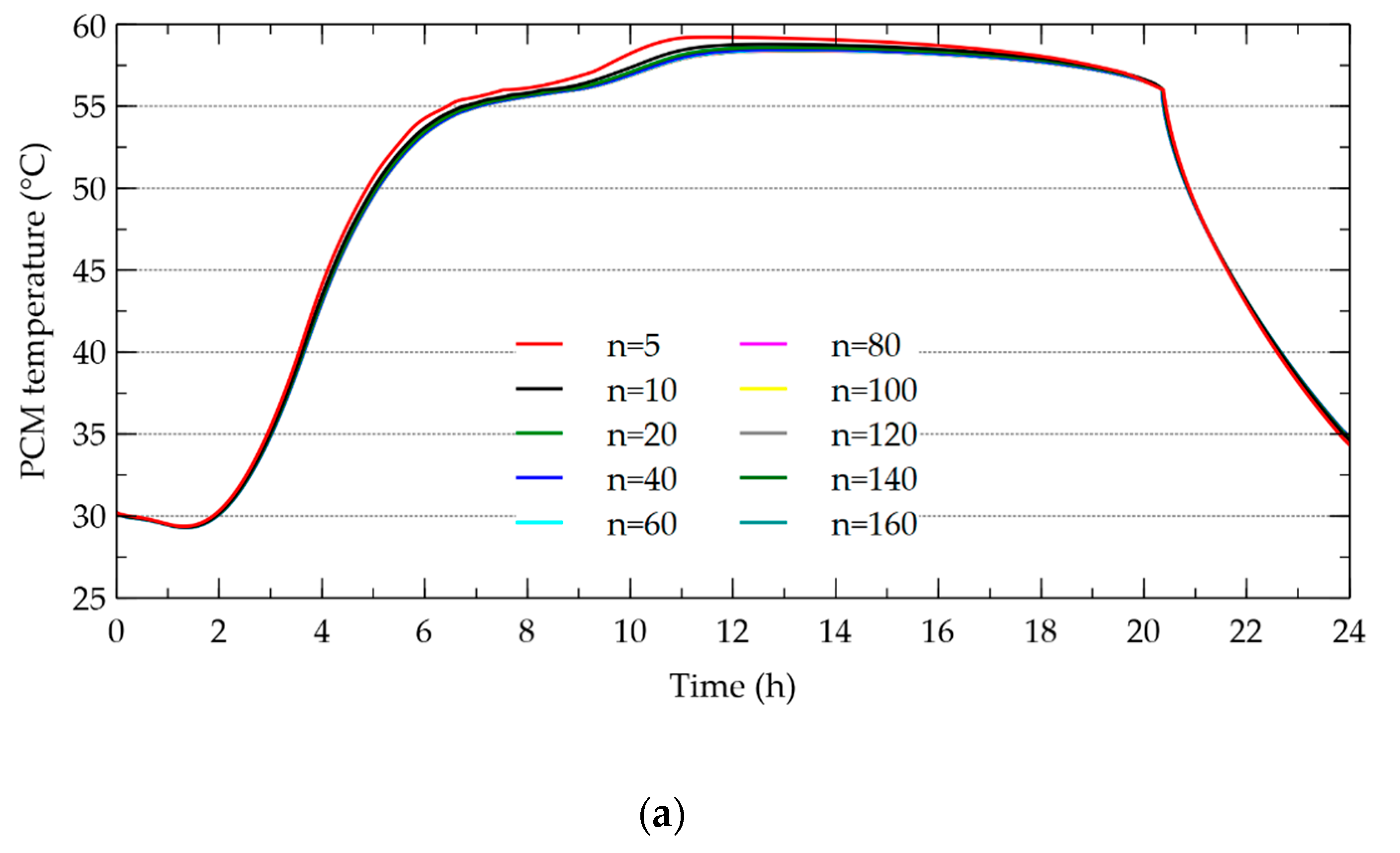
4. Results and Discussions
5. Conclusions
Author Contributions
Funding
Conflicts of Interest
Nomenclature
| Area | |
| Specific heat | |
| Energy | |
| Gravity . | |
| Heat transfer coefficient | |
| W | Width (m) |
| H | High (m) |
| Thermal conductivity | |
| Length (m) | |
| Mass | |
| Mass flow | |
| Nusselt number | |
| Prandalt number | |
| Heat flux | |
| Solar radiation | |
| Hydraulic diameter (m) | |
| Reynolds number | |
| Time | |
| Temperature | |
| Velocity | |
| Kinematic viscosity | |
| Greek symbols | |
| Absorptance | |
| Volumetric expansion coefficient | |
| Emissivity | |
| Accumulated efficiency | |
| Stefan–Boltzmann constant | |
| Transmittance | |
| Subscripts | |
| a | Air |
| Ambient | |
| Absorbed plate | |
| v | Glass cover |
| Convection | |
| Radiation | |
| Collector | |
| Storage | |
| Useful | |
| Outlet | |
| Upper | |
| th | Thermal |
| Acronyms | |
| Mean absolute error | |
| Root mean square error | |
References
- Purohit, P.; Kandpal, T.C. Solar crop dryer for saving commercial fuels: A techno-economic evaluation. Int. J. Ambient. Energy 2005, 26, 3–12. [Google Scholar] [CrossRef]
- Kumar, M.; Sansaniwal, S.K.; Khatak, P. Progress in solar dryers for drying various commodities. Renew. Sustain. Energy Rev. 2016, 55, 346–360. [Google Scholar] [CrossRef]
- Karthikeyan, A.; Murugavelh, S. Thin layer drying kinetics and exergy analysis of turmeric (Curcuma longa) in a mixed mode forced convection solar tunnel dryer. Renew. Energy 2018, 128, 305–312. [Google Scholar] [CrossRef]
- Gatea, A.A. Performance evaluation of a mixed-mode solar dryer for evaporating moisture in beans. J. Agric. Biotechnol. Sustain. Dev. 2011, 3, 65–71. [Google Scholar]
- Dhalsamant, K.; Tripathy, P.P.; Shrivastava, S.L. Food and Bioproducts Processing Heat transfer analysis during mixed-mode solar drying of potato cylinders incorporating shrinkage: Numerical simulation and experimental validation. Food Bioprod. Process. 2018, 109, 107–121. [Google Scholar] [CrossRef]
- Oliver, A.; Neila, F.J.; García-Santos, A. Clasificación y selección de materiales de cambio de fase según sus características para su aplicación en sistemas de almacenamiento de energía térmica. Mater. Construcción 2012, 62, 131–140. [Google Scholar] [CrossRef]
- Gil, A.; Medrano, M.; Martorell, I.; Lázaro, A.; Dolado, P.; Zalba, B.; Cabeza, L.F. State of the art on high temperature thermal energy storage for power generation. Part 1—Concepts, materials and modellization. Renew. Sustain. Energy Rev. 2010, 14, 31–55. [Google Scholar] [CrossRef]
- Nkwetta, D.N.; Haghighat, F. Thermal energy storage with phase change material—A state-of-the art review. Sustain. Cities Soc. 2014, 10, 87–100. [Google Scholar] [CrossRef]
- Rodríguez-Cumplido, F.; Gelves, E.P.; Chejne-Jana, F. Recent developments in the synthesis of microencapsulated and nanoencapsulated phase change materials. J. Energy Storage 2019, 24, 100821. [Google Scholar] [CrossRef]
- Arshad, A.; Jabbal, M.; Yan, Y.; Darkwa, J. The micro-/nano-PCMs for thermal energy storage systems: A state of art review. Int. J. Energy Res. 2019, 43, 5572–5620. [Google Scholar] [CrossRef]
- Sharma, A.; Tyagi, V.; Chen, C.; Buddhi, D. Review on thermal energy storage with phase change materials and applications. Renew. Sustain. Energy Rev. 2009, 13, 318–345. [Google Scholar] [CrossRef]
- Haldorai, S.; Gurusamy, S.; Pradhapraj, M. A review on thermal energy storage systems in solar air heaters. Int. J. Energy Res. 2019, 43, 6061–6077. [Google Scholar] [CrossRef]
- Iqbal, K.; Khan, A.; Sun, D.; Ashraf, M.; Rehman, A.; Safdar, F.; Basit, A.; Maqsood, H.S. Phase change materials, their synthesis and application in textiles—A review. J. Text. Inst. 2019, 110, 625–638. [Google Scholar] [CrossRef]
- Reyes, A.; Henríquez-Vargas, L.; Aravena, R.; Sepulveda, F. Experimental analysis, modeling and simulation of a solar energy accumulator with paraffin wax as PCM. Energy Convers. Manag. 2015, 105, 189–196. [Google Scholar] [CrossRef]
- Tchaya, G.B.; Kamta, M.; Havet, M.; Kapseu, C. Thermal performance modelling of solar collector with heat storage. Int. J. Eng. Syst. Model. Simul. 2017, 9, 53–62. [Google Scholar] [CrossRef]
- Atalay, H.; Çoban, M.T.; Kıncay, O. Modeling of the drying process of apple slices: Application with a solar dryer and the thermal energy storage system. Energy 2017, 134, 382–391. [Google Scholar] [CrossRef]
- Vásquez, J.; Reyes, A.E.; Pailahueque, N. Modeling, simulation and experimental validation of a solar dryer for agro-products with thermal energy storage system. Renew. Energy 2019, 139, 1375–1390. [Google Scholar] [CrossRef]
- Hamed, M.; Brahim, A.B. Theoretical Model of a Flat Plate Solar Collector Integrated with Phase Change Material. J. Electr. Comput. Energy Electron. Commun. Eng. 2015, 9, 1479–1486. [Google Scholar]
- Carmona, M.; Gabriel, C.; Humberto, G.; Antonio, B. Reduced Model for a Thermal analysis of a Flat Plate Solar used to estimate the performance for different configurations. In Proceedings of the ASME International Mechanical Engineering Congress and Exposition, Houston, TX, USA, 13–19 November 2015; Volume 57441, pp. 1–12. [Google Scholar]
- Dagdougui, H.; Ouammi, A.; Robba, M.; Sacile, R. Thermal analysis and performance optimization of a solar water heater’ touan (Morocco) flat plate collector: Application to Te. Renew. Sustain. Energy Rev. 2011, 15, 630–638. [Google Scholar] [CrossRef]
- Carmona, M.; Palacio, M. Thermal modelling of a flat plate solar collector with latent heat storage validated with experimental data in outdoor conditions. Sol. Energy 2019, 177, 620–633. [Google Scholar] [CrossRef]
- Potdukhe, P.; Thombre, S.B. Development of a new type of solar dryer: Its mathematical modelling and experimental evaluation. Int. J. Energy Res. 2008, 32, 765–782. [Google Scholar] [CrossRef]
- Deng, J.; Ma, R.; Yuan, G.; Chang, C.; Yang, X. Dynamic thermal performance prediction model for the flat-plate solar collectors based on the two-node lumped heat capacitance method. Sol. Energy 2016, 135, 769–779. [Google Scholar] [CrossRef]
- Simo-Tagne, M.; Zoulalian, A.; Rémond, R.; Rogaume, Y.; Bonoma, B. Modeling and simulation of an industrial indirect solar dryer for Iroko wood (Chlorophora excelsa) in a tropical environment. Maderas Ciencia Tecnol. 2017, 19, 95–112. [Google Scholar] [CrossRef]
- Srinivasan, R.; Balusamy, T.; Sakthivel, M.; Srinivasan, R.; Balusamy, T.; Sakthivel, M. Numerical model of natural convective heat transfer within a solar dryer using an indirect double pass collector Numerical model of natural convective heat transfer within a solar dryer using an indirect double pass collector. Int. J. Ambient Energy 2018, 39, 830–839. [Google Scholar] [CrossRef]
- El Khadraoui, A.; Bouadila, S.; Kooli, S.; Farhat, A.; Guizani, A. Thermal behavior of indirect solar dryer: Nocturnal usage of solar air collector with PCM. J. Clean. Prod. 2017, 148, 37–48. [Google Scholar] [CrossRef]
- Forson, F.; Nazha, M.; Rajakaruna, H. Experimental and simulation studies on a single pass, double duct solar air heater. Energy Convers. Manag. 2003, 44, 1209–1227. [Google Scholar] [CrossRef]
- Bahrehmand, D.; Ameri, M.; Gholampour, M. Energy and exergy analysis of different solar air collector systems with forced convection. Renew. Energy 2015, 83, 1119–1130. [Google Scholar] [CrossRef]
- Bergman, T.L.; Incropera, F.P.; DeWitt, D.P.; Lavine, A.S. Fundamentals of Heat and Mass Transfer; John Wiley and Sons: Hoboken, NJ, USA, 2011. [Google Scholar]



















| Variable | Notation | Units |
|---|---|---|
| Ambient temperature | °C | |
| Solar radiation | ||
| Wind velocity | m/s | |
| Mass air flow rate |
| Component | Parameter | Value | Units |
|---|---|---|---|
| Glass cover | Specific heat | 834 | J/kg·K |
| Density | 2700 | ||
| Emissivity | 0.94 | - | |
| Absorptivity | 0.05 | - | |
| Transmissivity | 0.81 | - | |
| Dimension | 2.04 × 1.04 × 0.004 | m | |
| Absorber plate | Specific heat | 390 | J/kg·K |
| Density | 8960 | ||
| Emissivity | 0.9 | - | |
| Absorptivity | 0.9 | - | |
| Dimension | 2.04 × 1.04 × 0.001 | m | |
| PCM | Melting temperature | 56–60 | °C |
| Heat of fusion | 214,400 | kJ/kg | |
| Density | 775 | ||
| Thermal conductivity | 0.21 | W/m·K | |
| Dimension | 2.04 × 1.04 × 0.06 | m | |
| Insulation | Thermal conductivity | 0.028 | W/m·K |
| Thickness | 0.05 | m |
| Variable | Notation | Units |
|---|---|---|
| Glass cover temperature | °C | |
| Absorber plate temperature | °C | |
| PCM temperature | °C | |
| Useful heat rate | W | |
| Radiation loss | W | |
| Convection loss | W | |
| Insulation loss | W | |
| Total losses heat rate | W | |
| Stored heat rate | W | |
| Glass cover accumulated energy | Wh | |
| Absorber plate accumulated energy | Wh | |
| PCM accumulated energy | Wh | |
| Total accumulated energy | Wh | |
| Liquid fraction | -- | |
| Thermal efficiency | % | |
| Storage Efficiency | % |
| Outlet Variable | MAE | RMSE |
|---|---|---|
| Air outlet temperature with PCM | 1.24 °C | 1.34 °C |
| Heat absorbed | 21.56 W | 30.89 W |
| Heat stored by the PCM | 59.73 W | 65.09 W |
Publisher’s Note: MDPI stays neutral with regard to jurisdictional claims in published maps and institutional affiliations. |
© 2020 by the authors. Licensee MDPI, Basel, Switzerland. This article is an open access article distributed under the terms and conditions of the Creative Commons Attribution (CC BY) license (http://creativecommons.org/licenses/by/4.0/).
Share and Cite
Ramirez, C.; Palacio, M.; Carmona, M. Reduced Model and Comparative Analysis of the Thermal Performance of Indirect Solar Dryer with and without PCM. Energies 2020, 13, 5508. https://doi.org/10.3390/en13205508
Ramirez C, Palacio M, Carmona M. Reduced Model and Comparative Analysis of the Thermal Performance of Indirect Solar Dryer with and without PCM. Energies. 2020; 13(20):5508. https://doi.org/10.3390/en13205508
Chicago/Turabian StyleRamirez, Camilo, Mario Palacio, and Mauricio Carmona. 2020. "Reduced Model and Comparative Analysis of the Thermal Performance of Indirect Solar Dryer with and without PCM" Energies 13, no. 20: 5508. https://doi.org/10.3390/en13205508
APA StyleRamirez, C., Palacio, M., & Carmona, M. (2020). Reduced Model and Comparative Analysis of the Thermal Performance of Indirect Solar Dryer with and without PCM. Energies, 13(20), 5508. https://doi.org/10.3390/en13205508

