Abstract
This paper reports the application of RC dynamic models (network of resistances and capacitances analogous to electrical networks) to obtain the heat loss coefficient (HLC) from a dynamic test campaign carried out in an in-use building. It is a well-insulated building located in Gainsborough, U.K. This case study and data were made available to participants in the IEA–EBC Annex 71 project Building Energy Performance Assessment Based on In-Situ Measurements. The analysis reported in this paper is mainly focused on the identification of the main heat transfer contributions and also on the translation of these phenomena to the RC models used to obtain the required HLC. First pre-processing and qualitative analysis were carried out. Afterwards several candidate models were constructed according to different plausible assumptions and approximations. The validity of the results obtained using these models has been evaluated taking into account the agreement among different data series and also the levels of the residuals obtained using the different models. The work concludes obtaining accurate estimates of the HLC from the energy balance including the following relevant contributions: space heating, solar gains, internal gains due to appliances, and internal gains due to metabolic activity. These terms were modelled using the following driving variables: consumption of gas and water, electricity production by the photovoltaic (PV) panels and electricity consumption (modelling internal gains due to appliances and occupancy patterns).
1. Introduction
The building sector accounts for about 40% of total final energy use and has significant potential to save energy and reduce CO2 emissions. A growing interest to promote energy efficiency in buildings has led to the progressive implementation of related regulations, highlighting the need to increase knowledge about energy performance of buildings and pushing research activities in this field. Currently, most compliance checks and labelling of the energy performances of buildings are based on theoretical calculations and design values. However, studies have shown that the performance of a building may deviate significantly from this theoretical performance as discussed in several published papers [1]. Majcen et al. [2] evidenced that dwellings with a low-energy label actually consumed much less energy than predicted by the label, but energy efficient dwellings consumed more than predicted. These authors discuss the effects of these discrepancies on reaching energy reduction targets. Some of the uncertainties that are observed in theoretical calculations are due to the simplification of complex physical phenomena involved in the energy flows in buildings [3]. Menezes et al. [4] discuss the underlying causes of discrepancies between energy modelling predictions and in-use performance of occupied buildings. Branco et al. [5] reported relevant discrepancies between theoretical and measured energy performance of a building designed to consume a minimum amount of thermal energy by combining several renewable energy systems with an optimised envelope and electrical equipment. They recommend detailed monitoring of innovative low-energy buildings to understand the possible discrepancies between theoretical and real heat consumption and to improve the transfer of new energy technologies to large-scale real constructions. The availability of reliable test procedures to assess the thermal performance of as-built buildings would be very useful to overcome the problems brought by this performance gap. The actual energy consumption is one of the priority topics considered in the Strategic Plan of the Energy in Buildings and Communities (EBC) Programme of the International Energy Agency (IEA) [6]. The building envelope is one of the key elements influencing the energy behaviour of buildings. Its energy performance assessment can be done by means of data analysis techniques requiring direct or indirect measurement of all the contributions to the energy balance of the room confined by the building envelope to be characterized [7].
Dynamic data-based modelling approaches are promising techniques to develop procedures to carry out thermal performance assessments of in-use buildings. Extensive work has been undertaken by the European PASLINK group [8] and DYNASTEE network [9] in this area, traditionally using linear time-invariant models to identify the thermal characteristics of building components from dynamic tests in outdoor test cells [10]. The flexibility and usefulness of these approaches have been demonstrated in a wide variety of applications under different conditions [10]. These results evidence an important potential for the analysis of full-sized buildings (empty or in use [11]) and other construction systems that could include nonlinear physical processes (for example some passive cooling strategies for modelling integrated photovoltaic modules [12,13]) or occupancy patterns [14]. The step to extend and generalise the current scope of application of these techniques is not simple, but several initiatives are being taken towards this direction [15,16].
The work reported in this paper was carried out in the context of IEA–EBC Annex 71 [12], which is one of the research initiatives dealing with Building Energy Performance Assessment Based on In-Situ Measurements. In this context of international collaboration, a common exercise was proposed to the participants. Initially, this common exercise aimed to explore the reliability of different identification techniques frequently used.
This paper reports the application of RC dynamic models to obtain the heat-loss coefficient from a dynamic test campaign carried out in an in-use building. It is a well-insulated building located in Gainsborough, U.K. [17]. The analysis reported in this paper is mainly focused on the identification of the main heat transfer contributions and also on the translation of these phenomena to the RC models used to obtain the required HLC. The analysis approach mainly follows previously developed guidelines [7], widely applied in the past to the analysis of simpler building envelope elements under controlled and optimized test conditions. However, the considered case study under uncontrolled in-use test conditions is remarkably more complex than the majority of case studies previously analysed applying this approach. The analysis started with pre-processing and qualitative analysis. Afterwards several candidate models were constructed according to different plausible assumptions and approximations. The validity of the results obtained using these models was evaluated taking into account the agreement among different data series and also the levels of the residuals obtained using the different models. The work concludes obtaining accurate estimates of the HLC from the energy balance including the following relevant contributions: space heating, solar gains, internal gains due to appliances, and internal gains due to metabolic activity. These terms were modelled using the following driving variables: consumption of gas and water, electricity production by the PV panels installed in the building, and electricity consumption (modelling internal gains due to appliances and occupancy patterns).
2. Materials and Methods
2.1. Case Study
The data used for this work were obtained in a dynamic test campaign carried out in an in-use building. It is a well-insulated building located in Gainsborough, U.K. (53.4° N, 0.77° W). The case study is an end-terrace dwelling of four social houses. The houses were monitored for three years, starting in October 2012 until November 2015. The sampling interval from these measurements was five minutes. The team that produced the data reported the analysis of other aspects of the building using the data from July 2012 to September 2014 [17]. The building was used by two adults and one child up to January 2013. In March 2013, new tenants (one adult and two children) moved in. Due to tenancy change, the house was vacant and unheated in January and February 2013. A detailed description of the houses and monitoring campaign can be found in [17]. This case study and data were made available to participants in the IEA–EBC Annex 71 project Building Energy Performance Assessment Based on In-Situ Measurements [12,17].
The work reported in this paper considers 16 months out of two years: December 2013 to November 2015. The selected data series comprise four months of winter per year and four months of summer per year.
2.2. Analysis Approach
RC models were used to obtain the heat loss coefficient (HLC) of the considered building. LORD [18] was used as a software tool to identify these models. This modelling approach was combined with physical criteria to obtain this coefficient and also to validate the results. The applied analysis was based on the energy balance on the air volume confined by the building envelope, and the main heat transfer contributions to this energy balance were identified and modelled.
The following terms were identified as relevant regarding the energy balance equation in the air volume confined by the house envelope:
- Heat losses to the outdoors,
- Solar gains,
- Heat supplied by the heating system,
- Internal gains due to appliances,
- Heat supplied due to metabolic activity,
- Heat removed by the mechanical ventilation system,
- Heat exchanged with the adjacent house.
These relevant terms were modelled using unknown coefficients that were multiplied by the measured driving variables. The system identification techniques found the optimum values for these coefficients fitting the models to the measured data.
Several candidate models were constructed using the measurements available and according to different plausible assumptions and approximations in modelling the different terms of the energy balance. The validity of the results obtained using these different models was evaluated taking into account the agreement among different data series and also the levels of the residuals obtained using the different models. The criteria considered to construct the different candidate models and to select the final result were accuracy according these validation criteria, and also cost effectiveness and simplicity.
2.2.1. Data Overview and Pre-Processing
Before starting the mathematical analysis, a qualitative analysis of the data was carried out. The main observations and conclusions regarding the modelling work described in this document are summarized in this section.
The background documents that were supplied accompanying the data were first taken into account. This background information [17] and the observations of the graphs indicated the measurement of the total electricity consumption was taken erroneously from October 2012 to April 2013. Consequently, this period was discarded from the analysis described in this document. Apart from this period, very few missing records were detected and these missing records were reconstructed by interpolation.
The time series corresponding to electricity consumption were recorded in kWh. Particularly the total electricity consumption (Pelect), the electricity produced by a PV system installed in the building (PPV), and the electricity consumed by the mechanical ventilation system (L) were given in this unit. These records were transformed to W.
The data files were explored in order to identify the driving variables that were available to model each of the main terms of the energy balance. A qualitative analysis and a pre-processing of these variables was carried out. This overview mainly examined the availability and quality of the driving variables of the terms required to write candidate models based on the considered energy balance.
It was detected that some variables that in principle were considered relevant to model some of the terms relevant to the energy balance terms were not available, particularly:
- On-site solar radiation,
- Air flow due to mechanical ventilation,
- Return temperature in the mechanical ventilation system,
- Direct measurement of the heating energy,
- Occupancy patterns,
- Status of doors and windows.
Several assumptions and approximations were considered to model the terms that required available and non-available variables. The assumptions regarding the contributions to the energy balance, their corresponding approximations and criteria to construct candidate models were applicable to other modelling approaches that could be applied to obtain the same performance parameters (see, for example, [11,19] reporting the application of a dynamic integrated approach). The assumptions and approximations applied in this work are discussed hereafter.
2.2.2. Heat Losses to the Outdoors
The main driving variables to this effect were the outdoor and indoor air temperatures. The measurement of the outdoor air temperature on-site was available. Although indoor air temperature measurement was available, it was measured in just two points in each house, which in principle may not give a good enough description of the total air volume confined by the building envelope. It may be also inadequate to analyse the un-homogeneity of this air. However, taking into account that the differences between the room and the lounge were mostly small (approximately ±0.5 °C), an average of the two temperatures was used to represent the indoor air temperature.
2.2.3. Heat Exchanged with the Adjacent House
The temperatures of dwellings 1 and 2, Ti and T2, were very similar. The difference between both indoor air temperatures was approximately ±1 °C, as can be observed in Figure 1.
Figure 1.
Average temperatures of the dwellings. Examples for typical months in summer and winter: (a) August 2014; (b) February 2015.
According to these observations, the heat exchange between houses 1 and 2 can be assumed small. Taking this issue into account, candidate models that include and do not include heat exchange with the adjacent dwellings were considered in this work.
2.2.4. Solar Gains
The most evident driving variable to model this effect was the on-site solar radiation. However, this variable was not available. Two alternatives were considered and compared:
- Electricity produced by the PV system on the building (PPV). Taking into account that solar gains are usually included in models as solar radiation multiplied by a constant parameter that is identified in the analysis. In this case, this term was modelled by the PV production used as a driving variable multiplied by a constant identified in the analysis. The replacement of solar radiation as a driving variable by the PV production makes sense taking into account that it shows the same shape as solar radiation and acceptable correlation with it, as can be seen in Figure 2.
Figure 2. Electricity produced by the PV system vs. solar radiation measurements in Waddington, 30 km away from the building location: (a) PPV meter vs. radiation, August 2014; (b) PPV meter vs. radiation, December 2014; (c) PPV meter vs. radiation, 2014 (all year). - Models using the solar radiation, Gh, recorded in Waddington, 30 km away from the building location. In this case the radiation was interpolated, since the data presented of the radiation were hourly and in situ measurements were recorded in KJ/m2 every five minutes; also the units were converted into to W/m2. This approximation introduced uncertainty due to the different recording intervals and also due to the distance to the houses.
2.2.5. Heat Supplied by the Heating System
Direct measurement of the heating energy was not available. In principle this variable could be extracted from gas consumption. However, the instruction document indicated that the recorded gas consumption, Vghw, included the consumption corresponding to space heating, Vg, together with the consumption corresponding to domestic heat water (DHW). Additionally, the water consumption including cold and hot water, Vw, was available. Taking these issues into account, candidate models with the following alternative assumptions were considered:
- It was assumed that consumed cold water was negligible regarding consumed hot water. In this case the energy supplied by the heating system was modelled as an unknown parameter multiplied by the gas consumption and included as correction another unknown constant multiplied by the DHW consumption, where the unknown constants are parameters to be identified in the modelling process, and gas and DHW consumptions are the driving variables.
- It was assumed that gas consumed when there was water consumption was mainly used for DHW. This assumption makes sense taking into account that gas consumption increases significantly when there is water consumption (Figure 3). In this case the corresponding contribution to the energy balance in the house was modelled as an unknown parameter multiplied by the gas consumption when water consumption was zero, and as zero when water consumption was not zero.
Figure 3. Estimation of unmeasured gas used for space heating (Vg) from measured total (Vghw) and DHW (Vw) gas used. Examples of typical months for summer and winter: (a) Vghw vs. Vw, January 2014; (b) Vghw vs. Vw, August 2015; (c) Vg vs. Vw, January 2014; (d) Vg vs. Vw, August 2015.
2.2.6. Internal Gains due to Appliances
It was assumed that the total electricity consumption of the building was dissipated to the interior of the house as heat.
2.2.7. Heat Removed by the Mechanical Ventilation System
From the qualitative analysis, it was observed that the difference between the supply and the extract temperature (Tmvs and Tmve respectively) was very small (see Figure 4a). It was noticeable that this system was not working as expected due to manual operation by the occupants [17]. The observed low temperature difference could lead to a negligible contribution to the energy balance in the building due to the mechanical ventilation system. Taking this issue into account, candidate models including and not including the heat extracted by mechanical ventilation were considered.
Figure 4.
Measurements of the variables of the mechanical ventilation system. Temperatures and electricity consumption for selected months with different working regimes recorded every five minutes: (a) extract and supply temperatures compared to the indoor air temperatures in July 2012–November 2012; (b) electricity consumption in February 2013 (when the room was positively empty according to the instruction document); (c) electricity consumption in July 2013; (d) electricity consumption in February 2014.
For the models including this term, the heat extracted by the mechanical ventilation system was expressed as a constant multiplied by a driving variable, where the constant is an unknown parameter to be identified in the modelling process, and the driving variable is the product of air flow and the difference between the supply and return temperatures. The problem that we have to model this term is that the air flow was not available and the return temperature was not available from 30 November 2012. The following assumptions and approximations were considered to model this term in the candidate models that included it:
- The average indoor air temperature was considered as approximation to the return temperature when this was not available. Figure 4a gives an estimate of the differences between using the indoor air temperature instead of the return temperature for a period when all these variables were available. These tables and figures indicate that these differences are relatively large, taking into account the low range of the differences between supply and return temperatures: the average of Tmve-Tmvs is 0.09 °C, while the average of Ti-Tmvs is −0.21 °C. Considering absolute values these differences are 0.36 °C and 0.64 °C respectively.
- Air flow due to mechanical ventilation was approximated as an unknown constant multiplied by the electricity consumption of this system (L). Figure 4b–d shows that the electricity consumption of this system has four levels: mainly 0, 12, 24 W, and sometimes 36 W. These levels are also seen in the empty month (February 2013).
Taking the issues into account, the heat extracted by the mechanical ventilation system was modelled as an unknown constant multiplied by a driving variable obtained as the difference between the average of indoor air temperatures and return temperatures. Notice that this is a nonlinear term.
2.2.8. Internal Gains due to Metabolic Activity
Accurate estimation of the contribution from metabolic activity to the energy balance of occupied spaces is very relevant and difficult. The main difficulties are related to determining how much energy each user supplies, and how many users there are in these spaces. This topic is motivating numerous research activities as indicated by some recently published reviews [20,21,22]. A simplified approach based on the method described in [14] was applied to obtain occupancy patterns (Bpeople). The applied approach is briefly described in the following.
CO2 concentration and total electricity consumption of the house were considered as alternative indicators of occupancy level. For both cases (CO2 concentration or electricity consumption), ranges when the house were positively empty or positively occupied were identified. The study was based on histograms of the occurrences of each indicator during the period studied.
- For electricity consumption, histograms considered rooms positively empty only when electricity consumption of the mechanical ventilation system was 0 W, and histograms considered rooms positively occupied only when there was some gas and water consumption or when the electricity consumption of the mechanical ventilation system was 36 W.
- For CO2 concentration it was decided to choose as criteria to identify the building as positively occupied when there was water consumption. Different breakpoints should be identified depending on the ventilation status. Presumably winter and summer should each have a different ventilation status, due to the different status of windows. Although February 2013 was described as positively empty in the background documents, this information was not enough taking into account the different levels of CO2 in winter and summer and the different working regimes of the mechanical ventilation system.
All histograms were normalised by the total number of occurrences in each case: positively empty, positively occupied, or all the records. So the value where the two histograms intercept was considered the breakpoint for change from empty to occupied.
Analysis Based on Electricity Consumption:
To represent the occupation, a histogram of the electrical consumption was made, not taking into account the months of incorrect readings and interpolating the data when readings were not taken.
The following three different options were considered:
- It was assumed that the house was positively empty only when electricity consumption of the mechanical ventilation system was 0 W, and positively occupied when there was some gas and water consumption or when the electricity consumption of the mechanical ventilation system was at its highest level (36 W). Figure 5a shows the histograms based on these assumptions. However, no information regarding occupancy status can be extracted from this figure. This issue can be explained by taking into account that the background information [17] reported that the mechanical ventilation system was operated manually by tenants, so it is possible any qualitative criteria based on its operation introduces some uncertainty.
Figure 5. Histograms based on electricity consumption: (a) histogram of the electricity consumption assuming that the building was occupied when gas and water were being consumed, and the building was empty when the mechanical ventilation system was off and gas and water were not being consumed; (b) histogram of the total electricity consumption; (c) histogram of the total electricity consumption based on two hour moving averages. - Representing a histogram using all the raw measurements of electricity consumption (Figure 5b), the minima observed in this histogram were considered as electricity consumption breakpoints. These breakpoints were used as indicators of change in the user activity and occupancy patterns. The interpretation of all the local minima observed in the histogram was difficult, but the first minimum was considered as a breakpoint between a positively empty and a positively occupied building, assuming that electricity consumption below this level was due to standby consumptions. A minimum was observed at approximately 60 W. This value was used as a breakpoint to separate the occupied and empty status.
- Another analysis of the electricity was made using moving averages using data within two hours. We can see its behaviour in Figure 5c. A minimum approximated in the 120 W was used as a breakpoint to separate the occupied and empty status.
Analysis Based on CO2 Concentration:
Different breakpoints should be identified depending on the ventilation status. Different levels of CO2 concentration are were observed in summer and winter (Figure 6) that could be explained due to the different status of windows and different levels of mechanical ventilation.
Figure 6.
Overview of CO2 concentration for summer and winter.
The histograms that were considered in this case were all the data in comparison to a positively occupied building when there was water or gas consumption or the electricity consumption of the mechanical ventilation system was at its highest level. Results obtained from this analysis presented in Figure 7 do not show clear breakpoints, so the corresponding results were not used for the reported modelling work.
Figure 7.
Histogram of CO2 assuming that the house is positively occupied when there is water consumption. No clear breakpoint is identified from these figures even though the analysis distinguished between summer and winter and the different working levels of the mechanical ventilation system. CO2 intervals every 2 ppm: (a) winter level 0; (b) summer level 0; (c) winter level 1; (d) summer level 1; (e) winter level 2; (f) summer level 2.
The difficulties identifying occupancy patterns from the measurements of CO2 concentration can be explained taking into account that there was only one sensor of CO2 concentration in the house that was on its ground floor. As consequence, occupancy patterns based on this measurement could be affected by some uncertainty due to un-homogeneities of the CO2 concentration in the house. This poor capability to obtain the occupancy patterns from the CO2 concentration was also observed in other works that also demonstrated the feasibility to obtain very accurate occupancy patterns from electricity consumption [14].
Analysis Based on CO2 Concentration and Electricity Consumption
Due to the fact that the analysis of CO2 did not yield any results, a second analysis was made in conjunction with an analysis of electricity consumption, where rooms were considered positively occupied when the electrical consumption was greater than 120 W and positively empty when it was lower. As seen in Figure 8, some breakpoints can be identified in winter. However, it is very difficult to identify breakpoints in summer.
Figure 8.
Histogram of CO2 considering that the building is empty if electricity consumption is below 120 W, and occupied if it is above 120 W. From these figures 1000 ppm and 640 ppm have been identified as the breakpoints for winter and summer, respectively. The analysis distinguished between summer and winter and the different working levels of the mechanical ventilation system. CO2 intervals every 2 ppm: (a) winter level 0; (b) summer level 0; (c) winter level 1; (d) summer level 1; (e) winter level 2; (f) summer level 2.
The occupancy patterns obtained applying the different strategies are presented in Figure 9. Even though no one of these patterns makes 100% sense, the pattern obtained from electricity consumption presents the most realistic form. The strategy used to obtain this variable from the CO2 concentration clearly underestimated the occupancy periods (Figure 9c,d), while those periods were a bit overestimated when the electricity consumption was used (Figure 9a,b). Taking into account these results, the occupancy pattern obtained from the electricity consumption was considered more realistic and was chosen to model the contribution to the energy balance due to the metabolic activity. It is remarkable that even being an approximated variable it had a positive effect on the models that improved their performance when this effect was included using this driving variable. This issue is evidenced in Section 3, concluding that using an approximated variable is better than neglecting this effect.
Figure 9.
Occupancy patterns obtained using different strategies. Examples of typical periods in summer and winter: (a) using the total electricity consumption as indicator, January 2014; (b) using the total electricity consumption as indicator, August 2015; (c) using the CO2 concentration as indicator, January 2014; (d) using the CO2 concentration as indicator, August 2015.
2.3. Construction of Candidate Models
Several candidate RC models were considered. All these models were based on the energy balance equation in the air volume confined by the house envelope as described in Section 2.2, using the terms summarized in Table 1.
Table 1.
Considered contributions to the energy balance and evaluated modelling alternatives.
Taking into account that the building envelope has opaque parts that allow accumulation and a window where accumulation is negligible, the candidate models that were considered are composed of two parallel branches connecting indoor and outdoor air temperatures as suggested by reference [18] for an analogous building envelope:
- A branch that represents the heat transfer through the building envelope enabled for energy accumulation. This branch mainly represents the opaque parts of the building envelope. A 5-node branch has been considered: from node 1 to node 5 through H1-2, H2-3, H3-4 and H4-5, with accumulation in C2, C3, C4 and C5. Some symmetries were used in this model in order to avoid over-parameterization (H1-2 = H4-5, H2-3 = H3-4 and C2 = C4).
- A branch that represents the heat transfer through the building envelope without energy accumulation. This branch mainly represents the windows of the building envelope: from node 1 to node 5 though H1–5.
Unmeasured variables were considered taking into account the assumptions discussed in previous sections. The main differences among the candidate models considered in this section were approximations assumed in each one that led to include or neglect different contributions to the energy balance in the house, making the models more or less complex.
The required parameters were obtained from several series using each model, in order to evaluate the robustness of the models. A period corresponding to one month was considered for each series. Winter and summer were considered in this analysis.
The main structures of the candidate models are presented in Figure 10. The variables included in these models are described in the following. Notice that some models do not include all these variables, taking into account the different approximations applied.
Figure 10.
Models considered: (a) Model 1, (b) Model 2, (c) Model 11, (d) Model 21, (e) Model 12, (f) Model 22, (g) Model 13, (h) Model 23.
- The outdoor air temperature (Te) is represented by the external temperature and it is linked to node 1.
- The indoor air temperature (Ti) is represented by the average of the two measurements inside the dwelling 1, when one of these two measurements is missing we only use the other one measurement. It is linked to node 5.
- For the gains due to the global solar radiation incident on the window, the PV electricity production is used as the driving variable (PPV). It is linked to nodes 2 and 6, taking into account that the contribution due to this variable to the energy balance is produced by two mechanisms (as suggested by reference [18] for an analogous system). Partly it is absorbed by the envelope, represented by PPV linked to node 2 (in Figure 10). Partly it goes through the window and is absorbed within the test room, represented by PPV linked to node 6 (in Figure 10).
- Node 6 is linked to node 5 by a conductance that is fixed to a large value (such that (1/H6-5)→0). This makes node 6 equivalent to node 5, but it is necessary because the tool used to identify the considered models (LORD [18]) allows just one link of heat flux per node.
- Heating power supplied to the room due to dissipation of total electricity consumed (Pelect). It is linked to node 5. The corresponding aperture is fixed to the unit, assuming that 100% of the measured heating power is supplied to the indoor air.
- The heat extracted by the mechanical ventilation system is represented by the driving variable described in Section 2.2.7; it linked to node 10.
- The contribution due to the space heating is represented by the variables described in Section 2.2.5, where the measurement of gas consumption (Pghw) and (Pw) are the driving variables.
- The exchange of energy with dwelling 2 is represented by an additional branch that connects the indoor air temperatures of dwellings 1 and 2 (Ti and T2 respectively), in those models that include this effect. A 5-node branch allowing accumulation is used to model this heat transfer.
- The contribution to the energy balance due to metabolic activity (Ppeople) is represented considering the level of total electricity consumption (Bpeople with levels: 0, 1) representing the occupancy patterns as a driving variable.
- H parameters are thermal conductances, C parameters are effective heat capacities of the nodes, and A parameters are aperture factors. The parameters H6-5, H7-5, H8-5, H9-5 and H10-5 are fixed to a large value (10,000 W/K). This is necessary to set the heat inputs in nodes 7, 8, 9, and 10 as equivalent to be applied in node 5 and because LORD doesn’t allow application of more than one heat input per node. All the other parameters are in principle unknown and identified in the analysis.
It must be remarked that this modelling approach allows the incorporation of nonlinear phenomena. The contribution due to the mechanical ventilation system in those models including this effect can be seen as an example of the implementation of nonlinear phenomena in this case. However, linear approximations are considered for all the other phenomena that are present in the system during the considered experimental campaign.
Taking all these issues into account, several candidate models were considered. All these models were based on the similar model structure. First, very basic models were tested and afterwards some variables were added. It must be highlighted that even though the analysis started with very basic models, all the tried models were constructed under the condition that all the candidate models must be based on hypotheses and approximations that make sense from the physical point of view. The following models have been studied (Model 1 to Model 23 are represented in Figure 10. Models 112 to 212-3 include combinations of branches that are represented in Figure 10):
- Model 1: it considers the heat loss transmission through the building envelope, the solar radiation as solar gain, the energy supplied for space heating, and the heat dissipated by the electric consumption as internal gain. In this case the consumption of gas without separating the use of gas for space heating and for DHW, as well as the water consumption are incorporated through two different branches that together represent the energy supplied for space heating (Section 2.2.5). This strategy intends to enable the model to separate by itself the use of gas into space heating and DHW.
- Model 2: it is based on Model 1, but in this case the variable used to model the energy supplied for space heating is equal to the gas consumption when the consumption of water is zero, and zero when the water consumption isn’t zero. The contribution to space heating is represented by just one variable in the model. This variable is obtained in the pre-processing phase from the time series of gas and water used (Section 2.2.5).
- Models 11 and 21: Models 1, 2 respectively, adding a branch representing the internal gains due to metabolic activity.
- Models 12, 22: Models 1, 2 respectively, adding a branch representing the heat exchange due to mechanical ventilation.
- Models 13, 23: Models 1, 2 respectively, adding a branch representing the heat exchange to the adjacent dwelling.
- Models 112, 212: Models 1, 2 respectively, adding a branch representing the internal gains due to metabolic activity and a branch representing the heat exchange due to mechanical ventilation.
- Models 113, 213: Models 1, 2 respectively, adding a branch representing the internal gains due to metabolic activity and a branch representing the heat exchange to the adjacent dwelling.
- Models 112-3, 212-3: Models 1, 2 respectively, adding a branch representing the internal gains due to metabolic activity, a branch representing the heat exchange due to mechanical ventilation, and a branch representing the heat exchange to the adjacent dwelling.
After the identification of a given model (named as Model x) as the best model, variations from this model were tried, intending to improve some aspects. The tried models were identified as Model xA and Model xB and consider the following variation in modelling the solar gains:
- Model xA does not link the electricity production by the PV system to node 2, which considers as negligible energy transmitted through the opaque parts of the envelope to the interior due to solar radiation. This model intends to improve Model x regarding simplicity.
- Model xB uses the horizontal global solar radiation, Gh, measured in Waddington, 30 km away from the building. This model intends to improve Model x regarding accuracy as well as obtaining the gA as an additional performance parameter. It must be taken into account that this gA value is referred to the horizontal global solar radiation, consequently it will be different for the different data series, with maximum values in winter and minimum values in summer, increasing in autumn and decreasing in summer due to the movement of the sun.
3. Results
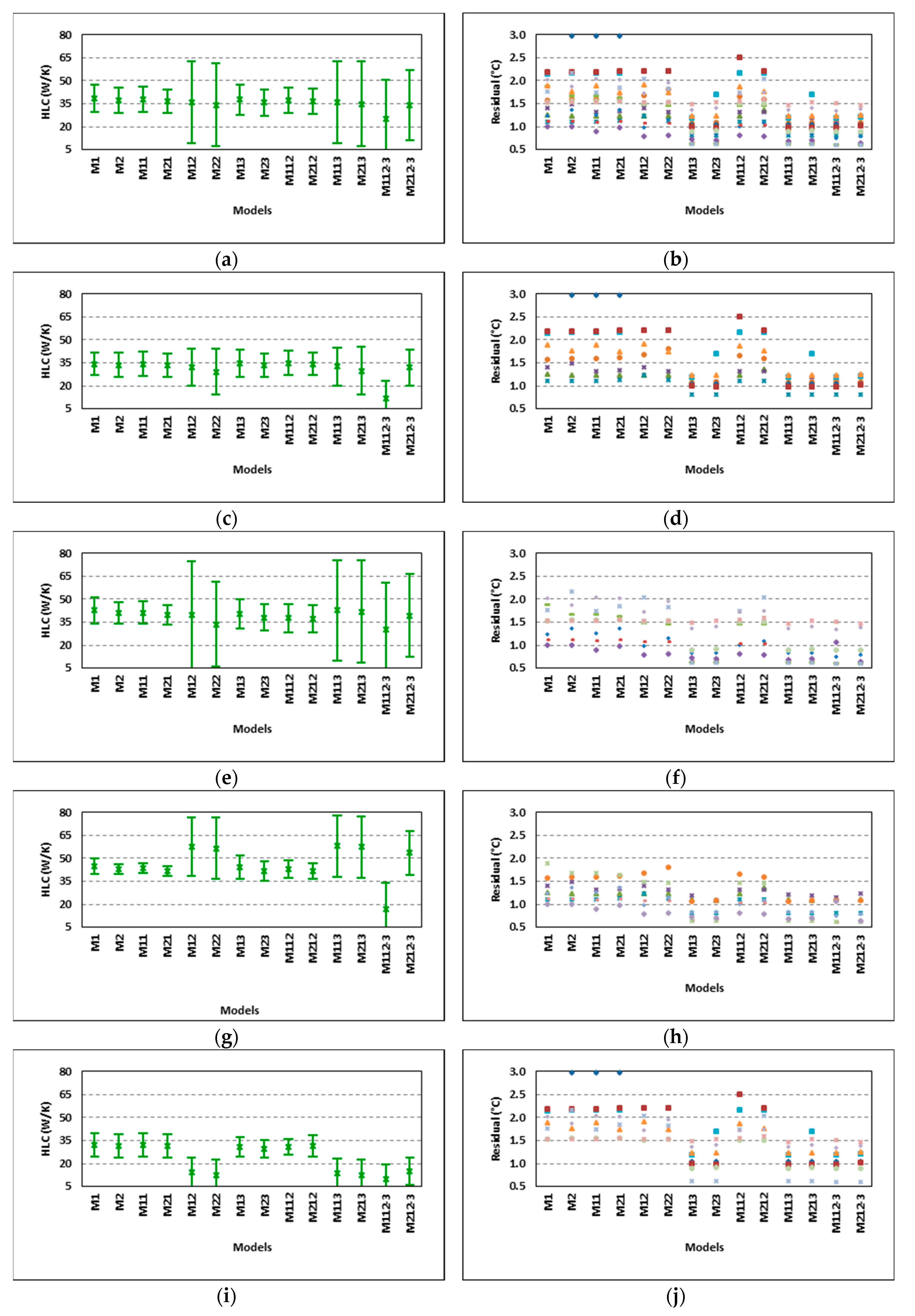
Figure 11 summarizes the results obtained using the different candidate models. The agreement between the HLC obtained for the different data series and the level of the residual was considered to evaluate the validity of the different models considered. The most evident differences between the different results was observed attending to the spread of results using the different data series. The level of the residual was low enough for several models and the differences among the different models was not clear enough to base the selection of the final result on it. Cost effectiveness and simplicity were used as criteria to choose between models that in principle could be seen as equivalent, taking into account the other criteria. Figure 11 also represents these results, distinguishing between the different data series of winter and summer and also distinguishing between the first and the second years.
Figure 11.
Summary of results. Left: HLC averaged for the considered data series and its uncertainty. Right: residuals from the considered data series and models. (a,b) all the series; (c,d) winter series; (e,f) summer series; (g,h) first-year series; (i,j) second-year series.
According to the considered criteria, the left graphs of Figure 11 show a better performance in all the models when the data series used corresponds to winter (Figure 11c,d) and also when the used data series corresponds to the first year (Figure 11g,h). The better performance for the data series recorded in winter was expected, taking into account the larger indoor to outdoor temperature difference as can be seen in Table 2. Taking into account these results we conclude that using for assessment of the HLC coefficient any month from the first year that has been considered is suitable to obtain accurate results. These results are consistent with the design value of the direct transmission heat transfer coefficient between the conditioned zone and the exterior, which is 39.0 W/K calculated from the surface areas of the building components and the design U-values reported by [17]. The explanation for the better performance of the results from the data series corresponding to the first year needs further research. One of the issues that must be further investigated is if differences observed along the second year can be attributed to any change of habits or to any action on the building or its systems that the inhabitants undertook. Such change could have significant effects on the building energy performance and on the validity of the approximations that performed properly for modelling using data from the first year.
Table 2.
Main driving variables.
This figure also indicates that the models that include the energy removed by the mechanical ventilation system are giving worse results. This behaviour is explained due to the low level of the corresponding driving variable, particularly, the small difference between supply and extract temperature, in the range of the uncertainty of the measurement of temperature that brings to the models more uncertainty than information. This issue is in agreement with the observation discussed in Section 2.2.7.
These graphs do not show relevant differences between models including the heat exchange with the adjacent house. Attending to the spread in the results obtained from the different data series the results are slightly worse from models including this effect. However, attending to the residuals these models show slightly better performance. Taking into account these minor differences and the increase of cost and complexity introduced by modelling this effect, the models including it were disregarded.
Attending to the spread of the results between the different data series, Model 21 is the model that presents the best performance. Detailed results obtained for the different data series of the first year are presented in Figure 12 and Table 3.
Figure 12.
Results obtained using Model 21 for the data series of winter and summer in the first year. (a) HLC obtained using Model 21 as it is in Figure 10, (b) HLC obtained eliminating PPV from node 2 in Model 21, (c) HLC using Gh instead of PPV in Model 21, (d) gA using Gh instead of PPV in Model 21.
Table 3.
Results obtained using Model 21 and its variations using different models for solar gains.
The main feature that distinguishes this model from the other candidate models is that it uses the measured gas consumption when the water consumption is 0, and 0 when the water consumption ≠ 0 as a driving variable to model the energy used for the space heating. It also includes an occupancy pattern obtained from the total electricity consumption as a driving variable to model the contribution to the energy balance due to the metabolic activity.
Variations from Model 21—Model 21A and Model 21B—have also given results in good agreement with Model 21. However, the intended improvement is not evidenced, and the results show worse robustness for the data series recorded in summer (see Figure 12 and Table 3). The average of the deviations on the HLC obtained for Models 21A and 21B regarding Model 21 are 5.2% and 9.2% respectively. It is remarkable that considering winter the average of the deviation of the results for Model 21A regarding Model 21 is 1.3%. The only advantage in using Model 21A is that it has given an estimate of the gA as an additional performance parameter, and the variation observed for this additional parameter for the different data series makes sense from the physical point of view, taking into account that it was obtained regarding the global horizontal solar radiation—larger values in winter approaching to a theoretical value and lower values in summer, increasing in autumn and decreasing in summer due to the movement of the sun.
4. Discussion
The work concludes obtaining accurate estimates of the HLC from the energy balance including the following relevant contributions: space heating, solar gains, internal gains due to appliances, and internal gains due to metabolic activity. These term were modelled using the following driving variables: consumption of gas and water, electricity production by the PV panels, and electricity consumption (modelling internal gains due to appliances and occupancy patterns).
A modelling approach and software tool that were developed in the past and widely applied to the analysis of simpler building envelope elements under controlled and optimized test conditions, have been applied to a very different case study, which is remarkably more complex and under uncontrolled in-use test conditions. The results corroborate the capability of the applied approach and tool to cope with the increased level of complexity. The increase of complexity highlights the role of the application of physical criteria to construct candidate models and also to validate the obtained results. The relevance of the physical criteria must be seen in a wide context. First, the building must be regarded as a thermal system. Other important physical aspects are the limitations of the measurement devices bringing information and uncertainty to the time series that could lead to useless variables even having very accurate measurements, which can happen if these data series are the driving variables of an effect which in practice is not relevant to the energy balance. In this case study, this issue explains the worse performance of candidate models that are theoretically more advanced, such as the models including the effect of the mechanical ventilation system or the heat exchange with the adjacent house. The application of simplification criteria also based on physical aspects is crucial regarding the achievement of successful results.
Even though the results that have been obtained from the different data series are in majority quite consistent, some of the data series still give results that do not make sense. This issue must be further investigated. Further research should consider the improvement of the models of the terms that have been identified as relevant, such as modelling the energy used for space heating from gas and water consumption and occupancy patterns. Other aspects that should be addressed by further research are the assessment of the limitations of the test conditions that allow accurate performance assessment. Further research should also extend the scope of application of the applied techniques to other building typologies, including public buildings with large glazing areas, solar loads, internal loads where cooling plays an important role. Simulation tools and living labs including oversized monitoring set-ups can be very useful support in further research, allowing the evaluation of different scenario modelling options and techniques, giving criteria to deduce accurate, cost-effective, and non-intrusive techniques for energy performance assessment of in-use buildings using on board monitoring systems.
Author Contributions
Data analysis, elaboration of graphs and synthesis of results, H.P.D.-H.; data analysis, P.R.T.-H.; writing—review and editing K.M.A.-C. and E.V.M.-M.; methodology and writing—original draft preparation, M.J.J. All authors have read and agreed to the published version of the manuscript.
Funding
The authors would like to thank the Mexican National Council for Science and Technology (CONACYT) for the funds provided through the Mixed Scholarship Program-2019.
Acknowledgments
The authors would like to thank IEA–EBC Annex 71 that provided the context for this work, and also to Behzad Sodagar from University of Lincoln for providing the data, photos, and information of Gainsborough building to IEA–EBC Annex 71 to be used for research purposes within the Annex research project.
Conflicts of Interest
The authors declare no conflict of interest.
References
- de Wilde, P. The gap between predicted and measured energy performance of buildings: A framework for investigation. Autom. Constr. 2014, 41, 40–49. [Google Scholar] [CrossRef]
- Majcen, D.; Itard, L.C.M.; Visscher, H. Theoretical vs. actual energy consumption of labelled dwellings in the Netherlands: Discrepancies and policy implications. Energy Policy 2013, 54, 125–136. [Google Scholar] [CrossRef]
- Hens, H.L.S.C. Combined heat, air, moisture modelling: A look back, how, of help? Build. Environ. 2015, 91, 138–151. [Google Scholar] [CrossRef]
- Menezes, A.C.; Cripps, A.; Bouchlaghem, D.; Buswell, R. Predicted vs. actual energy performance of non-domestic buildings: Using post-occupancy evaluation data to reduce the performance gap. Appl. Energy 2012, 97, 355–364. [Google Scholar] [CrossRef]
- Branco, G.; Lachal, B.; Gallinelli, P.; Weber, W. Predicted versus observed heat consumption of a low energy multifamily complex in Switzerland based on long-term experimental data. Energy Build. 2004, 36, 543–555. [Google Scholar] [CrossRef]
- Sawachi, T. International Energy Agency, Energy in Buildings and Communities Programme: Strategic Plan 2014–2019; AECOM Ltd.: London, UK, 2013. [Google Scholar]
- Jiménez, M.J. IEA, EBC Annex 58, Report of Subtask 3, Part 1, Thermal Performance Characterization Based on Full Scale Testing-Description of the Common Exercises and Physical Guidelines; Jiménez, M.J., Ed.; KU Leuven: Leuven, Belgium, 2016; ISBN 9789460189876. Available online: http://www.iea-ebc.org/Data/publications/EBC_Annex_58_Final_Report_ST3a.pdf (accessed on 12 December 2019).
- Strachan, P.A.; Baker, P.H. Special issue on outdoor testing, analysis and modelling of building components. EDITORIAL. Build. Environ. 2008, 3, 127–128. [Google Scholar] [CrossRef]
- DYNASTEE Network. Available online: www-dynastee.info (accessed on 6 November 2019).
- Strachan, P.A.; Vandaele, L. Case studies of outdoor testing and analysis of building components. Build. Environ. 2008, 43, 129–142. [Google Scholar] [CrossRef]
- Castillo, L.; Enríquez, R.; Jiménez, M.J.; Heras, M.R. Dynamic integrated method based on regression and averages, applied to estimate the thermal parameters of a room in an occupied office building in Madrid. Energy Build. 2014, 81, 337–362. [Google Scholar] [CrossRef]
- Jiménez, M.J.; Porcar, B.; Heras, M.R. Estimation of UA and gA values of building components from outdoor tests in warm and moderate weather conditions. Sol. Energy 2008, 82, 573–587. [Google Scholar] [CrossRef]
- Jiménez, M.J.; Madsen, H.; Bloem, H.; Dammann, B. Estimation of non-linear continuous time models for the heat exchange dynamics of building integrated photovoltaic modules. Energy Build. 2008, 40, 157–167. [Google Scholar] [CrossRef]
- Díaz, J.A.; Jiménez, M.J. Experimental assessment of room occupancy patterns in an office building. Comparison of different approaches based on CO2 concentrations and computer power consumption. Appl. Energy 2017, 199, 121–141. [Google Scholar] [CrossRef]
- Annex 58 of the Programme “(EBC)” of the IEA on “EBC Annex 58. Reliable Building Energy Performance Characterisation Based on Full Scale Dynamic Measurements”. 2011–2016. Available online: https://www.iea-ebc.org/projects/project?AnnexID=58 (accessed on 12 December 2019).
- Annex 71 of the Programme “(EBC)” of the IEA on “EBC Annex 71. Building Energy Performance Assessment Based on In-situ Measurements”. 2016–2021. Available online: http://www.iea-ebc.org/projects/project?AnnexID=71 (accessed on 6 November 2019).
- Sodagar, B.; Starkey, D. The monitored performance of four social houses certified to the Code for Sustainable Homes Level 5. Energy Build. 2016, 110, 245–256. [Google Scholar] [CrossRef]
- Gutschker, O. LORD–Modelling and Identification Software for Thermal Systems, User Manual; BTU Cottbus: Cottbus, Germany, 2004. [Google Scholar]
- Chávez, K.; Ruiz, D.P.; Jiménez, M.J. Dynamic integrated method applied to assessing the in-situ thermal performance of walls and whole buildings. Robustness analysis supported by a benchmark set-up. Appl. Therm. Eng. 2019, 152C, 287–307. [Google Scholar] [CrossRef]
- Yan, D.; O’Brien, W.; Hong, T.; Feng, X.; Burak Gunay, H.; Tahmasebi, F.; Mahdavi, A. Occupant behavior modeling for building performance simulation: Current state and future challenges. Energy Build. 2015, 107, 264–278. [Google Scholar] [CrossRef]
- Hong, T.; Taylor-Lange, S.C.; D’Oca, S.; Yan, D.; Corgnati, S.P. Advances in research and applications of energy-related occupant behavior in buildings. Energy Build. 2016, 116, 694–702. [Google Scholar] [CrossRef]
- Yang, J.; Santamouris, M.; Lee, S.E. Review of occupancy sensing systems and occupancy modeling methodologies for the application in institutional buildings. Energy Build. 2016, 121, 344–349. [Google Scholar] [CrossRef]
© 2020 by the authors. Licensee MDPI, Basel, Switzerland. This article is an open access article distributed under the terms and conditions of the Creative Commons Attribution (CC BY) license (http://creativecommons.org/licenses/by/4.0/).











