New Sensorless Speed Control of a Hybrid Stepper Motor Based on Fuzzy Sliding Mode Observer
Abstract
1. Introduction
- We design a new structure for the sensorless speed control, it does not need to use Park and inverse Park transformations to transform currents between a-b and d-q coordinates for implementing of the FOC. Instead, it uses a simple algorithm to generate reference currents of stator windings, which reduces the calculation burden of the controller notably.
- Instead of replacing the discontinuous sign function with the continuous but computation complex functions, such as sigmoid or saturation function, we design a fuzzy logic controller (FLC) and embed it into the SMO to adjust the value of the observer gain adaptively. This simplified design suppresses the chattering phenomenon significantly without decreasing system stability.
- The effectiveness of the proposed controller is verified using MATLAB/Simulink simulations and experiments. Under the reference speed multi-step variation strategies, we assess the speed and position tracking abilities by comparing the estimated value gained from the observer with the real information measured by the mechanical sensors.
2. Modeling of a Hybrid Stepper Motor
3. Sensorless Speed Control Design
3.1. Conventional Sensorless Speed Control Based on SMO
3.2. New Senssorless Speed Control Based on Fuzzy SMO
3.2.1. New Current Transformation Scheme
3.2.2. Fuzzy Logic Control
3.2.3. Implementation of the FLC
3.3. Low-Speed Running Strategy
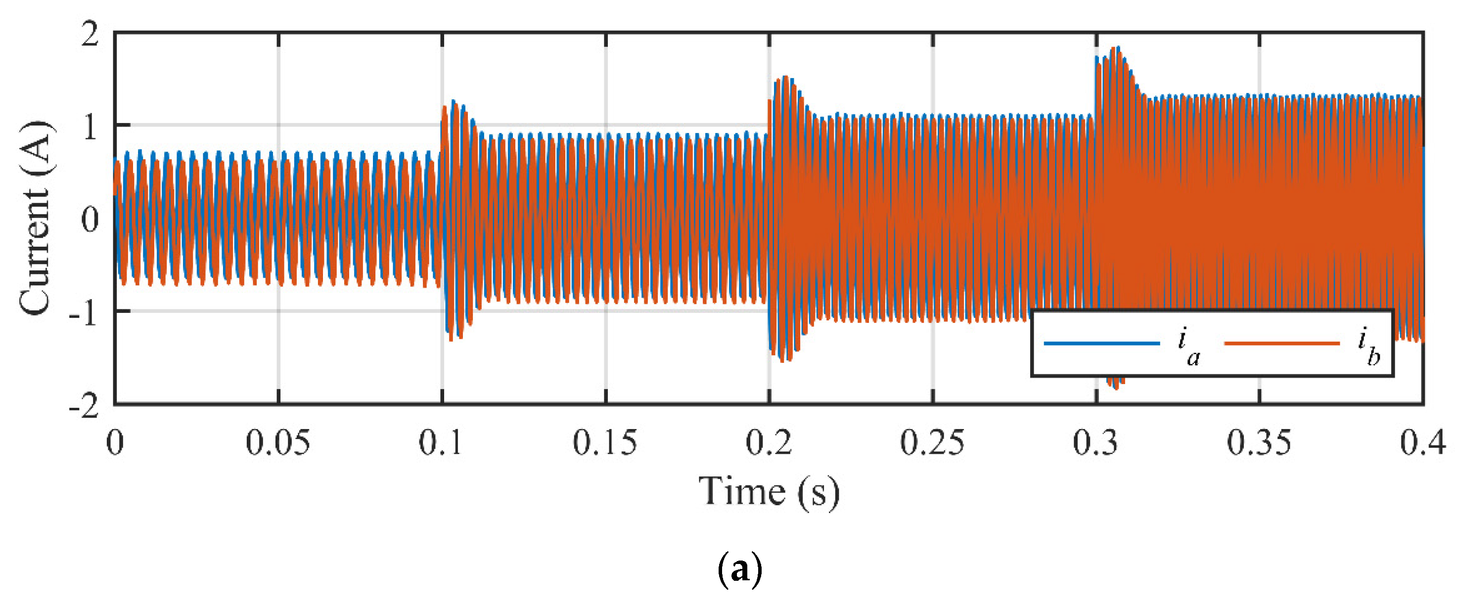
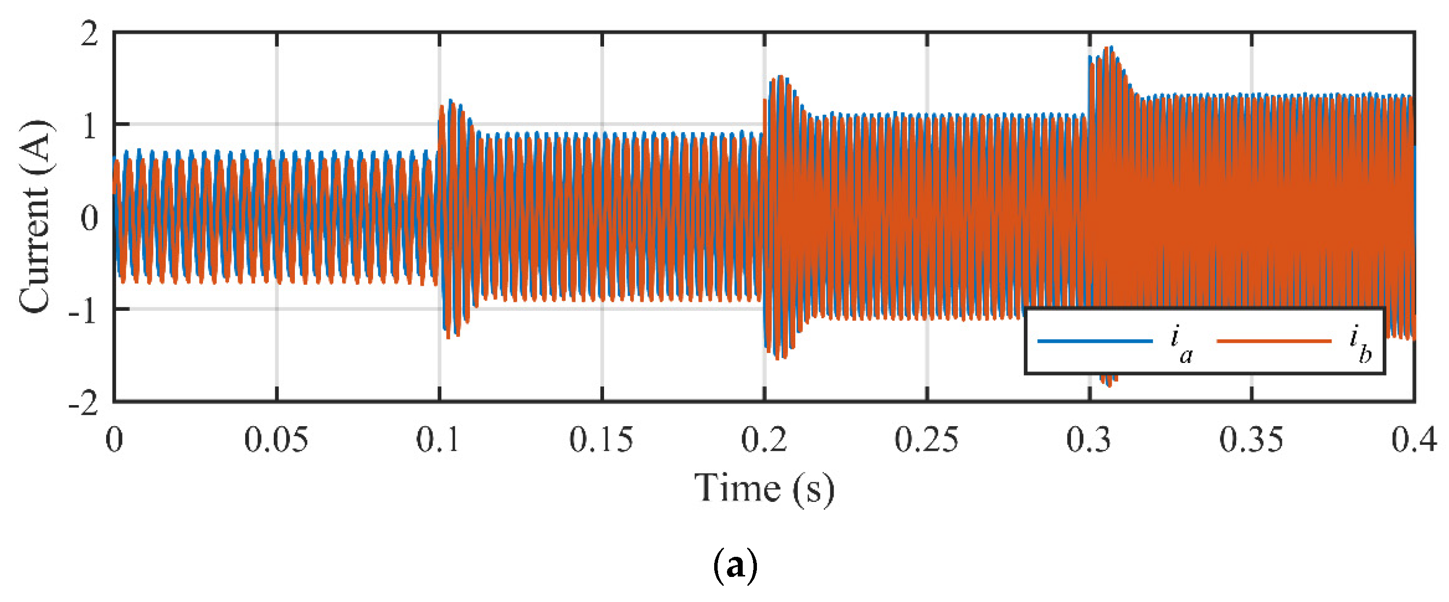
4. Implementation and Experimental Results
5. Conclusions
Author Contributions
Funding
Conflicts of Interest
References
- Ricci, S.; Meacci, V. Simple Torque Control Method for Hybrid Stepper Motors Implemented in FPGA. Electronics 2018, 7, 242. [Google Scholar] [CrossRef]
- Derammelaere, S.; Vervisch, B.; Belie, F.D.; Vanwalleghem, B.; Cottyn, J.; Cox, P.; Abeele, G.V.D.; Stockman, K.; Vandevelde, L. The Efficiency of Hybrid Stepping Motors: Analyzing the Impact of Control Algorithms. IEEE Ind. Appl. Mag. 2014, 20, 50–60. [Google Scholar] [CrossRef]
- Siripala, P.J.; Sekercioglu, Y.A. A generalised solution for generating stepper motor speed profiles in real time. Mechatronics 2013, 23, 541–547. [Google Scholar] [CrossRef]
- Wang, B.; Liu, Q.; Zhou, L.; Bu, L.; Li, X.; Zhang, J. Modeling of stepper motor control system and optimization of acceleration and deceleration curve. Electr. Mach. Control 2018, 22, 37–42, 52. [Google Scholar] [CrossRef]
- Zaky, M.S. A self-tuning PI controller for the speed control of electrical motor drives. Electr. Power Syst. Res. 2015, 119, 293–303. [Google Scholar] [CrossRef]
- Le, K.M.; Hoang, H.V.; Jeon, J.W. An Advanced Closed-Loop Control to Improve the Performance of Hybrid Stepper Motors. IEEE Trans. Power Electron. 2017, 32, 7244–7255. [Google Scholar] [CrossRef]
- Gaan, D.R.; Kumar, M.; Sudhakar, S. Real-Time Precise Position Tracking With Stepper Motor Using Frequency Modulation Based Microstepping. IEEE Trans. Ind. Appl. 2018, 54, 693–701. [Google Scholar] [CrossRef]
- Kim, W.; Shin, D.; Lee, Y.; Chung, C.C. Simplified torque modulated microstepping for position control of permanent magnet stepper motors. Mechatronics 2016, 35, 162–172. [Google Scholar] [CrossRef]
- Lyshevski, S.E. Microstepping and high-performance control of permanent-magnet stepper motors. Energy Conv. Manag. 2014, 85, 245–253. [Google Scholar] [CrossRef]
- Kim, W.; Yang, C.; Chung, C.C. Design and Implementation of Simple Field-Oriented Control for Permanent Magnet Stepper Motors Without DQ Transformation. IEEE Trans. Magn. 2011, 47, 4231–4234. [Google Scholar] [CrossRef]
- Harnefors, L.; Saarakkala, S.E.; Hinkkanen, M. Speed Control of Electrical Drives Using Classical Control Methods. IEEE Trans. Ind. Appl. 2013, 49, 889–898. [Google Scholar] [CrossRef]
- Crnosija, P.; Kuzmanovic, B.; Ajdukovic, S. Microcomputer implementation of optimal algorithms for closed-loop control of hybrid stepper motor drives. IEEE Trans. Ind. Electron. 2000, 47, 1319–1325. [Google Scholar] [CrossRef]
- Ho, W.K.; Panda, S.K.; Lim, K.W.; Huang, F.S. Gain-scheduling control of the Switched Reluctance Motor. Control Eng. Pract. 1998, 6, 181–189. [Google Scholar] [CrossRef]
- Tran, H.N.; Le, K.M.; Jeon, J.W. Adaptive Current Controller Based on Neural Network and Double Phase Compensator for a Stepper Motor. IEEE Trans. Power Electron. 2018, 34, 8092–8103. [Google Scholar] [CrossRef]
- Le, Q.N.; Jeon, J.W. Neural-Network-Based Low-Speed-Damping Controller for Stepper Motor With an FPGA. IEEE Trans. Ind. Electron. 2010, 57, 3167–3180. [Google Scholar] [CrossRef]
- Rubaai, A.; Castro-Sitiriche, M.J.; Garuba, M.; Burge, L. Implementation of Artificial Neural Network-Based Tracking Controller for High-Performance Stepper Motor Drives. IEEE Trans. Ind. Electron. 2007, 54, 218–227. [Google Scholar] [CrossRef]
- Hoai, H.-K.; Chen, S.-C.; Than, H. Realization of the Sensorless Permanent Magnet Synchronous Motor Drive Control System with an Intelligent Controller. Electronics 2020, 9, 365. [Google Scholar] [CrossRef]
- Ye, S. Design and performance analysis of an iterative flux sliding-mode observer for the sensorless control of PMSM drives. ISA Trans. 2019, 94, 255–264. [Google Scholar] [CrossRef]
- Wang, Y.; Xu, Y.; Zou, J. Sliding-Mode Sensorless Control of PMSM with Inverter Nonlinearity Compensation. IEEE Trans. Power Electron. 2019, 34, 10206–10220. [Google Scholar] [CrossRef]
- Qiao, Z.; Shi, T.; Wang, Y.; Yan, Y.; Xia, C.; He, X. New Sliding-Mode Observer for Position Sensorless Control of Permanent-Magnet Synchronous Motor. IEEE Trans. Ind. Electron. 2013, 60, 710–719. [Google Scholar] [CrossRef]
- Ye, S.C.; Yao, X.X. A Modified Flux Sliding-Mode Observer for the Sensorless Control of PMSMs With Online Stator Resistance and Inductance Estimation. IEEE Trans. Power Electron. 2020, 35, 8652–8662. [Google Scholar] [CrossRef]
- Gong, C.; Hu, Y.H.; Gao, J.Q.; Wang, Y.G.; Yan, L.M. An Improved Delay-Suppressed Sliding-Mode Observer for Sensorless Vector-Controlled PMSM. IEEE Trans. Ind. Electron. 2020, 67, 5913–5923. [Google Scholar] [CrossRef]
- Bodson, M.; Chiasson, J.N.; Novotnak, R.T.; Rekowski, R.B. High-performance nonlinear feedback control of a permanent magnet stepper motor. IEEE Trans. Control Syst. Technol. 1993, 1, 5–14. [Google Scholar] [CrossRef]
- Bellini, A.; Concari, C.; Franceschini, G.; Toscani, A. Mixed-Mode PWM for High-Performance Stepping Motors. IEEE Trans. Ind. Electron. 2007, 54, 3167–3177. [Google Scholar] [CrossRef]
- Wang, M.-S.; Tsai, T.-M. Sliding mode and neural network control of sensorless PMSM controlled system for power consumption and performance improvement. Energies 2017, 10, 1780. [Google Scholar] [CrossRef]
- Sheng, L.; Li, W.; Wang, Y.; Fan, M.; Yang, X. Sensorless Control of a Shearer Short-Range Cutting Interior Permanent Magnet Synchronous Motor Based on a New Sliding Mode Observer. IEEE Access 2017, 5, 18439–18450. [Google Scholar] [CrossRef]
- Ye, S. Fuzzy sliding mode observer with dual SOGI-FLL in sensorless control of PMSM drives. ISA Trans. 2019, 85, 161–176. [Google Scholar] [CrossRef]
- Song, B.; Xiao, Y.; Xu, L. Design of fuzzy PI controller for brushless DC motor based on PSO–GSA algorithm. Syst. Sci. Control Eng. 2020, 8, 67–77. [Google Scholar] [CrossRef]
- Lee, J.Y.; Bak, Y.; Lee, K.-B. Control Method for Phase-Shift Full-Bridge Center-Tapped Converters Using a Hybrid Fuzzy Sliding Mode Controller. Electronics 2019, 8, 705. [Google Scholar] [CrossRef]
- Chen, W.; Xu, T.; Liu, J.; Wang, M.; Zhao, D. Picking Robot Visual Servo Control Based on Modified Fuzzy Neural Network Sliding Mode Algorithms. Electronics 2019, 8, 605. [Google Scholar] [CrossRef]
- Zeb, K.; Islam, U.S.; Din, U.W.; Khan, I.; Ishfaq, M.; Busarello, D.T.; Ahmad, I.; Kim, J.H. Design of Fuzzy-PI and Fuzzy-Sliding Mode Controllers for Single-Phase Two-Stages Grid-Connected Transformerless Photovoltaic Inverter. Electronics 2019, 8, 520. [Google Scholar] [CrossRef]
- Zhang, S.; Cao, D.; Li, S.; Min, H.; Fan, F. Inverse kinematic tension analysis and optimal design of a cable-driven parallel-series hybrid joint towards wheelchair-mounted robotic manipulator. J. Eur. Syst. Autom. 2018, 51, 59–74. [Google Scholar] [CrossRef]
- Rudnicki, T. Measurement of the PMSM Current with a Current Transducer with DSP and FPGA. Energies 2020, 13, 209. [Google Scholar] [CrossRef]




















| NB | NM | NS | Z | PS | PM | PB | |
|---|---|---|---|---|---|---|---|
| NB | PB | PB | PB | PM | PB | PB | PB |
| NS | PB | PB | PM | PS | PM | PB | PB |
| Z | PB | PM | PS | Z | PS | PM | PB |
| PS | PB | PB | PM | PS | PM | PB | PB |
| PB | PB | PB | PS | PM | PS | PB | PB |
| Stepper Motor | Value |
| Number of phases | 2 |
| Phase resistance () | 0.42 |
| Phase inductance () | 1.38 mH |
| Torque constant () | 0.25 N·m/A |
| Rotor inertia () | 280 × 10−7 N·m·s2/rad |
| Total viscous friction coefficient () | 5 × 10−3 N·m·s/rad |
| Number of teeth on the rotor () | 50 |
| Source voltage () | 36 V |
| Rated current () | 4 A |
| Controller | Value |
| Speed proportional gain | 10 |
| Speed integral gain | 1000 |
| Current proportional gain | 8.2 |
| Current integral gain | 3072 |
© 2020 by the authors. Licensee MDPI, Basel, Switzerland. This article is an open access article distributed under the terms and conditions of the Creative Commons Attribution (CC BY) license (http://creativecommons.org/licenses/by/4.0/).
Share and Cite
Wang, C.; Cao, D. New Sensorless Speed Control of a Hybrid Stepper Motor Based on Fuzzy Sliding Mode Observer. Energies 2020, 13, 4939. https://doi.org/10.3390/en13184939
Wang C, Cao D. New Sensorless Speed Control of a Hybrid Stepper Motor Based on Fuzzy Sliding Mode Observer. Energies. 2020; 13(18):4939. https://doi.org/10.3390/en13184939
Chicago/Turabian StyleWang, Chunlei, and Dongxing Cao. 2020. "New Sensorless Speed Control of a Hybrid Stepper Motor Based on Fuzzy Sliding Mode Observer" Energies 13, no. 18: 4939. https://doi.org/10.3390/en13184939
APA StyleWang, C., & Cao, D. (2020). New Sensorless Speed Control of a Hybrid Stepper Motor Based on Fuzzy Sliding Mode Observer. Energies, 13(18), 4939. https://doi.org/10.3390/en13184939
