Next Article in Journal
Pore-Scale Lattice Boltzmann Simulation of Gas Diffusion–Adsorption Kinetics Considering Adsorption-Induced Diffusivity Change
Next Article in Special Issue
Proportional-Integral Controllers Performance of a Grid-Connected Solar PV System with Particle Swarm Optimization and Ziegler–Nichols Tuning Method
Previous Article in Journal
Rational Design and Testing of Anti-Knock Additives
 
 
Font Type:
Arial Georgia Verdana
Font Size:
Aa Aa Aa
Line Spacing:
Column Width:
Background:
Article

Synchronous Condenser’s Loss of Excitation and Its Impact on the Performance of UHVDC

1
School of Electrical Engineering, Beijing Jiaotong University, Beijing 100044, China
2
State Key Laboratory for Power Grid Safety and Energy Conservation (China Electric Power Research Institute), Beijing 100192, China
3
Nari Electric Co., Ltd., Nanjing 211102, China
*
Author to whom correspondence should be addressed.
Energies 2020, 13(18), 4926; https://doi.org/10.3390/en13184926
Submission received: 25 August 2020 / Revised: 17 September 2020 / Accepted: 17 September 2020 / Published: 19 September 2020

Abstract

The synchronous condenser (SC) has a broad application prospect in ultra-high-voltage direct current (UHVDC) systems. The SC’s loss of excitation (LOE) is an important grid-related fault that may cause damage to the UHVDC. However, as the premise of the scientific protection configuration, knowledge of the SC’s LOE feature and its impact on UHVDC is still missing. This article first analyzes the SC’s LOE feature, offering a basic cognition of this fault. Secondly, the LOE SC’s reactive power response to system voltage variation is studied in the single-machine infinite-bus system. This lends a foundation for transient UHVDC research. Finally, the LOE SC’s impacts on steady and transient UHVDC are evaluated, respectively, considering different AC strengths and system faults through PSCAD/EMTDC (V4.6, Manitoba HVDC Research Center, Winnipeg, MB, Canada) simulations. The results show that: (1) LOE the SC absorbs reactive power while maintaining synchronous operation, its excitation current declines monotonically; (2) the LOE SC has an insignificant effect on steady-state UHVDC; (3) the LOE SC can restrain the overvoltage and benefit the rectifier’s transient stability; and (4) to reduce the inverter’s commutation failure, keeping LOE SC is more effective than separating it beforehand, while separating the LOE SC after the system voltage drop performs best. These conclusions could provide insights for the protection’s criterion and operation mode selections.

Graphical Abstract

1. Introduction

With the wide range of applications of the ultra-high-voltage direct current (UHVDC) project, the shortages of dynamic reactive power and rotational inertia in the power grid have become more apparent [1,2,3]. The resulting accidents, such as the successive commutation failure caused by low bus voltage on the inverter side and the renewable energy tripping-off caused by overvoltage on the rectifier side, have greatly threatened the stability of the power grid [4,5].
The synchronous condenser (SC) is a traditional dynamic reactive power compensation device, in addition, it can increase the short-circuit ratio (SCR) and provide the rotational inertia [6,7]. The SC is substantially a synchronous machine without any mechanical load or prime mover [8]. Thus, the SC can generate or consume reactive power flexibly but cannot provide sustaining active power. At present, the SC could spontaneously respond to the system demand in a few milliseconds and its transient reactive power output amount could be 2–3 times as much as its rated capacity of 300 MVA.
Hence, the SC has gained increasing attention in UHVDC [9,10,11]. Until now, the State Grid Corporation of China has installed SCs in several UHVDC projects, which are summarized in Table 1. Their roles in UHVDC can be summarized as follows [12,13]: 1) providing flexible and continuous regulation of reactive power; 2) providing rotational inertia; 3) improving the system’s dynamic stability; 4) controlling AC voltage; and 5) increasing the system SCR. Previous studies [14,15] also verify that the SC could satisfy the two typical reactive power demands of the UHVDC: 1) providing dynamic reactive power which could effectively reduce the commutation failure on the inverter side and 2) consuming the redundant reactive power to restrain the transient overvoltage on the rectifier side.
With this comes considerations of the fault and corresponding protection of SCs. As an important grid-related failure, loss of excitation (LOE) refers to the loss of the device’s excitation ability caused by the abnormal condition of its excitation circuit [16]. Zou et al. [17] propose that the LOE SC would absorb reactive power from the system, which may bring security problems to the UHVDC, which is sensitive to the reactive power fluctuation. Thus, the SC’s LOE first aroused attention in the relevant study.
In a synchronous generator (SG) with a similar structure to SC, LOE has always been a research hotspot which has seen a great deal of progress. Besides the reactive power absorption, the LOE SG would be out of step and even lead to system oscillation [18]. Using this asynchronous feature, Yaghobi [19] proposes the most popular criteria based on the impedance technique, for example, the asynchronous limit impedance circle and steady-state stability limit impedance circle, to detect the LOE fault. Because the SG can only provide reactive power rather than absorbing it from the system, the reverse reactive power of the SG could also be used for LOE identification [20]. Besides, other techniques including the excitation voltage/current-based technique [21], intelligence based technique [22] and flux based technique [23] are also considered. Note that the latter techniques have not been widely used in the industry due to their poor accuracy and feasibility.
However, there are some obvious differences between the SC and SG in the LOE feature and impact on the system. Li et al. [24] indicate that the LOE SC would not be in the asynchronous state like the post-fault SG. Consequently, the following two issues exist for the SC’s LOE protection.
(1) In fault identification, the traditional impedance criterion is no longer applicable to the SC. Additionally, the reverse reactive power feature could not be used to detect the LOE, because a normal SC could also absorb reactive power on some occasions, as mentioned before.
(2) In operation mode, different to the tripping operation of the SG’s LOE protection, the LOE SC may have more options considering its conceivable diverse impacts on UHVDC. Specifically speaking, the LOE SC’s effect on UHVDC mainly depends on the reactive power consumption since it can operate synchronously. As previously described, on the one hand, the reactive power deficiency caused by the LOE SC may do harm to the UHVDC, especially at the inverter end where commutation failure easily occurs. On the other hand, in the rectifier’s overvoltage condition, the reactive power consumption of the LOE SC may still be beneficial to the UHVDC’s transient stability. Therefore, for UHVDC’s different conditions, the LOE SC may have different impacts on the system.
In these contexts, the comprehensive analysis of the LOE fault features and the explicit cognition of the LOE SC’s impact on the UHVDC are urgently needed as the premise of the protection’s criterion and operation selections in view of the demands of the power grid planning and operation departments. To that end, this paper makes the following contributions.
(1) Proposing the SC’s LOE fault features. The SC’s LOE process was studied in a single-machine infinite bus (SMIB) system. Fault features, including reactive power absorption, monotonous decline of excitation current, and synchronous operation, are proposed. This can lend a basic acknowledgment of the LOE SC.
(2) Analysis of the LOE SC’s reactive power response to the system voltage variation. The LOE SC’s instantaneous reactive power response to the system voltage variation was analyzed and verified in an SMIB system. This reactive power response, which changes negatively with the system voltage, implies that the faulty SC may still have a certain effect on suppressing voltage fluctuation. This adds to the theoretical foundation for the latter research on transient UHVDC.
(3) Evaluation of the LOE SC’s impact on UHVDC’s performance. Considering the system’s different operational conditions, AC strengths, and system fault types, the LOE SC’s impact on UHVDC’s performance was comprehensively analyzed based on the simulation in PSCAD/EMTDC (V4.6, Manitoba HVDC Research Center, Winnipeg, MB, Canada). This offers some primary suggestions for the SC’s LOE protection in UHVDC. Note that compared with analytical methods, the EMTDC simulation is more suitable for the analysis of UHVDC’s performance based on the effect of various factors due to the accurate modeling of the transient process of the system, for example, the commutation failure.
The remainder of this paper is organized as follows. Section 2 focuses on the fault features of an LOE SC. Section 3 presents the analysis of the LOE SC’s response to the system voltage variation. Section 4 analyzes the LOE SC’s impact on steady-state UHVDC’s performance. In Section 5, we describe the simulations that were conducted to verify the impact of the LOE SC on the performance of transient UHVDC. Section 6 proposes suggestions for LOE protection based on the above analyses. Finally, conclusions are provided in Section 7.

2. SC’s Loss of Excitation Fault and Its Features

This section provides an overall insight of the LOE fault in SC. The model of the LOE SC is established in Section 2.1. On this basis, the fault features are proposed through the theoretical analysis of the SC’s behavior during the LOE process in Section 2.2. Section 2.3 further verifies the results through the SMIB simulations and an engineering experiment.

2.1. Model of the LOE SC

The SC’s self-shunt excitation system consists of the excitation winding, the controlled voltage source (which could be further decomposed into the silicon-controlled rectifier and the excitation regulator), and the de-excitation circuit [25]. Its equivalent physical model is depicted in Figure 1. U f d presents the output value of the controlled voltage source, E f d and I f d represent the excitation voltage and current, respectively. The field discharge switches ( K 1 and K 2 ) and the de-excitation resistor R de (its resistance is usually 2–5 times of the excitation resistance) comprise the de-excitation circuit. During the normal operation, switch K 1 is closed as K 2 opens (the equivalent loop is A 1 ). However, with the operation of the field discharge switch, K 1 is open and K 2 is closed (the equivalent loop is A 2 ).
LOE is defined as the loss of the magnetic field produced by the excitation winding. A variety of accidents could lead to this fault, such as a short-circuit or open-circuit in excitation winding, the incorrect tripping of the field discharge switch, the breakdown of the excitation rectifier or regulator and so on.
Two representative kinds of LOE fault, namely, open-circuit and short-circuit loss of excitation (referred as OLOE and SLOE, respectively), are considered in this paper:
  • Short-circuit loss of excitation (OLOE): the excitation voltage sags to zero at the time of fault. This fault is applied through the short circuit across the entire excitation winding in this paper. Under this condition, the post-fault excitation circuit can be described as A 2 with R de = 0 ;
  • Open-circuit loss of excitation (SLOE): the excitation current sags to zero at the time of fault. This fault is applied through the mal-operation of the field discharge switch in this paper, which is one of the most important and frequent LOE events in the SC as well as generators [26]. At this time, the post-fault excitation can be described as A 2 .
From the physical model point of view, the parameters of the post-fault excitation loop resulting from the two kinds LOE are different. It is conceivable that the time constant of the excitation loop in an OLOE SC is smaller than that in an SLOE SC due to the existence of the de-excitation resistance.
On the basis of the above analysis, the SMIB system depicted in Figure 2 was established in PSCAD/EMTDC. The parameters of the practical SC in engineering are shown in Table 2. The SC models used in this paper were all built based on these actual parameters. It is supposed that there is no reactive power exchange between the system and the SC during the normal operation, and this was adopted in the practical engineering [27]. Besides, as a result of the SC’s no-load operation, the power angle ( δ ) is about zero during its operation. Moreover, the constant terminal voltage strategy was used in the regulator to ensure the normal SC’s corresponding forced or reduced excitation, according to the different system voltage variations.

2.2. Features Analysis of the LOE SC

Since the SC’s braking torque is very small due to its no-load operation, the additional synchronous torque, which results from the different values of the SC’s d- and q-axis reactance, is enough to conquer the braking torque to maintain the LOE SC’s synchronous operation. This assertion is also proved in practical operation.
The changing processes of the SC’s electrical quantities with the LOE fault are further analyzed theoretically. The system voltage U s is assumed to be constant in this section to focus on the change caused by LOE. As usual in SG analysis, the stator resistance and the transformer leakage reactance are ignored. All notations are expressed in pu in the analysis below.
For the SC, the following expressions hold:
U d = U s sin δ 0
U q = U s cos δ U s
Q sc = U q I d U d I q U q I d U s I d
where U d and U q are the d- and q-axis components of the terminal voltage; I d and I q are the d- and q-axis components of the terminal current; and Q sc is the reactive power.
According to the electric machine theory [28], the basic equation of the SC’s rotor loop can be expressed as
E f d = I f d R f d + d ψ f d d t
where ψ f d is the excitation flux, which remains invariant at the moment of LOE; and E f d , I f d and R f d are the excitation voltage, current and resistance, respectively.
Considering the interaction between the excitation winding and stator winding, we have the following expressions:
E q = X a d X f d ψ f d = U q + I d X d = U s + I d X d
E q = I f d X a d = I d X d + U s
where E q and E q are the stator internal potential and transient internal potential, respectively; X f d is the reactance of the excitation winding; and X a d is the mutual reactance between excitation winding and stator winding.
By substituting Equations (5) and (6) into Equation (4), the basic equation could be written as:
X a d R f d E f d = I d X d + U s + X f d X d R f d d I d d t
From Equation (7), the d-axis component of the SC’s stator current can be derived as
I d = U s X d ( e t T d 1 )
where T d = X d X f d X d R f d represents the decay time constant of the stator transient current.
The excitation current could be derived by substituting Equation (8) into Equation (6) as
I f d = U s + I d X d X a d = U s X d e t T d
Further, the reactive power of the SC can be written as
Q sc I d U s = U s 2 X d ( e t T d 1 )
From Equations (9) and (10), the excitation current and reactive power would decrease monotonously due to the LOE fault. It should be noted that for different LOE faults, the duration of this transient process is different. Specifically, the quantities in SLOE SC would experience a longer attenuation process than those in OLOE SC.
In conclusion, the LOE fault would continue synchronous operation while resulting in the monotonous declines in excitation current and reactive power. The reactive power consumption may result in the instability of the system, which is also the most concerning consequence of the fault. Besides, compared with the SLOE SC, the quantities in OLOE SC have a shorter decline process.

2.3. Simulation Verification

To verify the fault features, the simulations of the two LOE faults occurring at 2 s in the SMIB system were conducted in PSCAD/EMTDC, respectively. The excitation current I f d and reactive power Q sc are shown in Figure 3 and they are expressed in unit values.
A visual inspection of Figure 3 shows that the LOE SC maintains synchronous operation while the two quantities decrease monotonously after the fault. Furthermore, the electric quantities of the OLOE SC fall more rapidly compared with those of the SLOE SC. This is as expected since the time constant of the excitation loop in the OLOE SC is smaller.
In addition, a series of recorded waveforms, as shown in Figure 4, were used to prove these conclusions. These waveforms are from an engineering experiment in which mal-operation of the field discharge switch occurred. The excitation current I f here is a transduced value. It has fluctuations during the LOE process due to the arc discharge of the field discharge switch. I a represents the terminal phase current of the SC, it has a significant increase after the fault. This implies that the SC’s internal potential declines with the reduction of the excitation current, which further results in reactive power consumption.

3. Analysis of the LOE SC’s Response to System Voltage Variation

According to the above analysis, the LOE SC would absorb reactive power. However, it may still be beneficial to the UHVDC under the overvoltage condition. In order to clarify the influence of the LOE SC on the transient UHVDC, the analysis of the dynamic response of the LOE SC to the system voltage variation is necessary. The theoretical analysis of the LOE SC’s reactive power response to the system voltage variation is carried out in Section 3.1. and Section 3.2 verifies this response through the simulations in the SMIB system.

3.1. Theoretical Analysis of the LOE SC’s Response to Voltage Variation

As mentioned, an SC is essentially a no-load SG, so the fundamental motor theory is also applicable to the study of the SC. Before the analysis, a few things should be noted. Firstly, the SC’s excitation regulator could not work normally due to the LOE fault, thus its role in this transient process can be ignored. Secondly, the stator resistance and transformer leakage reactance are ignored during this process as previously done. Moreover, as the worst condition, the LOE SC is assumed to be in its maximum phase-in condition before the system voltage changes. The following notations are expressed in pu.
According to the Park equation [28], the increment of I d during the change of system voltage can be expressed as
Δ I d = Δ U s {   ( 1 X d 1 X d ) e t T d ( 1 X d 1 X d ) e t T d +   cos ( ω t + δ ) X d e t T a 1 X d }
where Δ U s = U s 1 U s 0 represents the variation of the system bus voltage; U s 0 represents the pre-fault value while U s 1 represents the post-fault value; T d represents the time constant of stator sub-transient current; T a represents the time constant of the stator current aperiodic component; and ω represents the electric angular velocity of the SC; there is δ 0 for SC because of its no-load operation.
Furthermore, the reactive power of the LOE SC during the system’s transient process can be derived from Equation (11) as
Q sc U s I d = U s 1 ( Δ I d + I d 0 )   = U s 1 ( Δ U s ( ( 1 X d 1 X d ) e t T d ( 1 X d 1 X d ) e t T d )     +   Δ U s ( cos ( ω t + δ ) X d e t T a ) + ( I d 0 Δ U s 1 X d ) )
where I d 0 represents the LOE SC’s stator current value before the system voltage changes. Since the LOE SC absorbs reactive power, in other words, Q sc 0 < 0 , Q sc 0 is the reactive power value before the system voltage changes and it can be derived from Equation (10) that I d 0 < 0 .
As can be seen from Equation (12), the reactive power response of the LOE SC consists of the decaying DC component, the decaying AC component, and the steady-state component. The instantaneous post-fault value is determined by the three components and then the reactive power would finally decay to the steady-state component.
For clarification, the instantaneous value, the decay rate and the steady value of this reactive power are analyzed respectively:
• Instantaneous value of the reactive power.
With Δ U q Δ U s , the instant variation of I d can be expressed as
Δ I d = Δ U s X d
With Equation (13), the reactive power increment can be expressed as
Δ Q sc   =   Q sc 1 -   Q sc 0   = U s Δ I d + Δ U s I d 0 = U s Δ U s X d + Δ U s I d 0   = Δ U s ( U s X d I d 0 )
where Q sc 1 is the instantaneous reactive power value of the LOE SC after the system voltage changes.
As can be inferred from Equation (14), the change tendency of reactive power ( Δ Q sc ) is opposite to that of the system voltage ( Δ U s ) with I d 0 < 0 . This further indicates that the instantaneous reactive power response of the LOE SC is in line with the system demands. In particularly:
(a) In the overvoltage state ( Δ U s > 0 ), the LOE SC will consume more reactive power ( Q sc 1 < Q sc 0 < 0 ) considering Δ Q s c < 0 and Q sc 0 < 0 .
(b) In the low bus voltage state ( Δ U s < 0 ), the value of Q sc 1 needs a deeper discussion considering Δ Q sc > 0 and Q sc 0 < 0 . By substituting the parameters of the SC in Table 2 into Equation (14), it can be derived that when U s 1 < 0.945   pu , Q sc 1 > 0 . In addition, Q sc 1 reaches its maximum when U s 1 = 0.47   pu .
• The decay rate of the reactive power.
The first two components of Equation (12) decay with their respective time constants, in which T d is related to the excitation loop. For different LOE SCs, as described in Section 2, the OLOE SC has a shorter transient process compared with the SLOE SC.
• The final value of the reactive power.
The final value of the reactive power is determined by the third steady-state component, which could be expressed as
Q sc 2 U s 1 ( I d 0 Δ U s 1 X d )
(a) In the overvoltage situation, Q sc 2 < 0 considering Δ U s > 0 and I d 0 < 0 . That is, the LOE SC keeps consuming reactive power in this condition.
(b) In the low voltage situation, it can be derived that Q sc 2 > 0 when U s 1 < 0.235   pu by substituting the SC’s parameters.
In summary, it can be concluded that the LOE SC still has an instantaneous reactive power response to the system voltage variation, which is contrary to the system voltage change and decays with time. Compared with OLOE, the attenuation process of reactive power in SLOE is longer.
Correspondingly, the primary conclusions regarding the LOE SC on transient UHVDC are as follows:
  • The LOE SC could absorb reactive power continuously during the overvoltage condition;
  • The LOE SC may provide some reactive power when the system experiences a large voltage drop, while under most of these conditions; the LOE SC still absorbs reactive power in the low system voltage condition.

3.2. Simulation Verification

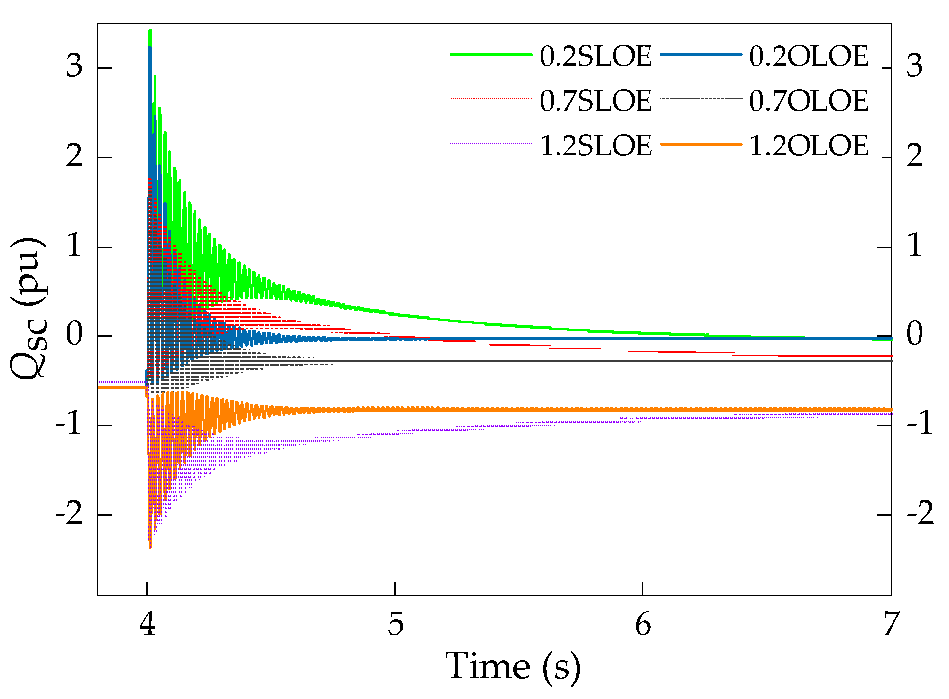
LOE SC’s responses to the system voltage rise and drop were simulated respectively in the SMIB system. The LOE fault occurred at 2 s (both OLOE and SLOE are considered), while the system voltage changes from 1.0 pu to 1.2 pu, 0.7 pu and 0.2 pu (referred to as 1.2SLOE/OLOE, 0.7SLOE/OLOE and 0.2SLOE/OLOE) at 4 s, respectively. As the result of the limited space, the SC’s LOE process depicted in Figure 3 is no longer presented here. The reactive power response of the LOE SC during the change of system voltage is shown in Figure 5.
As expected, the LOE SC still has an instantaneous reactive power variation at the moment of the system voltage change, which is positive under the voltage drop condition and negative under the voltage rise condition. The OLOE SC’s reactive power has a shorter attenuation process compared with the SLOE SC under the same voltage variation, which is as illustrated above.
Under the overvoltage condition (1.2SLOE/OLOE, as shown in Figure 5), the LOE SC could consume the reactive power continuously as expected. It is conceivable that the LOE SC would have a definite positive impact on the system under the overvoltage condition.
Under the low voltage conditions depicted in Figure 5 (0.7SLOE/OLOE and 0.2SLOE/OLOE), as expected, the LOE SC emits reactive power at the instant of voltage change in the two scenarios. In the 0.2 pu scenario, the LOE SC continuously provides reactive power which is helpful to the transient system while in the 0.7 pu scenario, the LOE SC finally absorbs the reactive power. The specific impact of the LOE SC on the low system voltage condition will be further illustrated through the actual UHVDC simulation later.

4. Impact of the LOE SC on the Performance of Steady-State UHVDC

The purpose of this section is to propose the LOE SC’s impact on the steady-state UHVDC through the system’s actual performance simulations. The UHVDC model based on a practical project is established in Section 4.1. and Section 4.2 presents the simulations with respect to the different SCRs and the SC’s locations. With the simulation results, the conclusions are presented.

4.1. System Overview

UHVDC refers to the DC transmission projects with voltage levels of ±800 kV and above. On the basis of a practical project in China, a bipolar ±800 kV/10,000 MW UHVDC instead of the mono-polar 500 kV/1000 MW CIGRE was employed as the test system built in PSCAD/EMTDC, whose structure is displayed in Figure 6. In this project, the different valve groups of the inverter were connected to 500 kV and 1000 kV AC systems, respectively. Both rectifier and inverter sides were equipped with AC filters and shunt capacitors, which hereinafter are referred to as “ACF”. In the same way, “DCF” refers to the DC filter banks. The UHVDC system was controlled following the philosophy described in the CIGRE model. Other parameters and the steady-state control mode of the system are shown in Table 3. Besides, an equivalent 3000 MW wind turbine generator (WTG) with the related control module was connected to the rectifier commutation bus. To increase the dynamic reactive power reserve, 300 Mvar SCs, SC1 and SC2, were equipped at the converter buses of the rectifier side and the 500 kV inverter side, respectively.

4.2. Simulation Analysis

The performance of the steady-state UHVDC during the SC’s LOE process was simulated to discuss the LOE SC’s impact. The OLOE fault (fault time 2 s) is taken as an example considering its faster decay rate, as mentioned before. The SCR of the AC system connected to the LOE SC varies from 2 to 8 as a comprehensive illustration. The DC transmission power is presented as the results in Figure 7.
As can be seen from Figure 7, the DC power has a certain decrement due to the SC’s LOE fault. It is conceivable that the larger the SCR, the smaller the DC power dip. It can also be seen that DC power has different change tendencies on the rectifier and inverter sides, this is due to the different system control strategies of the two sides. Specifically speaking, on the rectifier side, where the constant DC current control strategy is used, the small disturbance of commutation bus voltage could be eliminated by regulating trigger angle (α) to maintain the steady value of the DC current. While on the inverter side, where the constant extinction angle (γ) control strategy is used, the voltage depression could not be compensated with the constant γ. Thus, the rectifier and inverter DC transmission power has a different changing tendency.
In addition, comparing (a) and (b) in Figure 7, it can be observed that the inverter SC’s LOE would result in greater fluctuation of the DC power under the same SCR. Here is the reason. From the figures in Table 3, the reactive power consumption of the 500 kV inverter is smaller than that of the rectifier due to the hierarchical structure of the inverter side. Thus, the disturbance caused by the LOE SC’s reactive power absorption is more obvious on the hierarchical inverter side.
Furthermore, considering the maximum power fluctuation caused by the LOE SC is 0.02 pu (this value would be smaller in the nonhierarchical UHVDC), the reactive power supported by the redundant shunt capacitor banks (shown in Table 3) would be enough to compensate the vacancy caused by the LOE SC (−150 Mvar).
Therefore, it is conceivable that the SC’s LOE fault would not cause a significant disturbance in the steady-state UHVDC considering the system’s huge capacities. On the basis of this result, it is necessary to analyze the impact of LOE SC on the transient UHVDC.

5. Impact of the LOE SC on the Performance of Transient UHVDC

Since the LOE SC still has instantaneous reactive power response to the system voltage variation, which is described in Section 3, this section discusses the LOE SC’s impact on the transient UHVDC through the practical performance simulation in UHVDC. The system performances, such as DC transmission power, commutation bus voltage and the connecting WTG’s transmission power, are compared between the case with the LOE SC and the case without the LOE SC to illustrate the impact.
The UHVDC model depicted in Figure 6 was used for simulation. For a comprehensive analysis, the two typical transient conditions of the UHVDC, namely the inverter bus low voltage caused by an AC fault and the rectifier bus overvoltage caused by a DC fault, were conducted, respectively. The SC’s LOE fault occurs at 2 s, then the other system fault resulting in the converter bus voltage fluctuation occurs at 5 s. Consistent with the theoretical analysis, the LOE SC has been its maximum phase-in depth before the system fault. With these considerations, the following simulation analyses were conducted in PSCAD/EMTDC software.

5.1. Impact on the UHVDC under Inverter Low Voltage

As the most serious AC fault, the three-phase short circuit with different transition resistances (174.36 Ω in Scenario 1 and 182.21 Ω in Scenario 2) were applied on the inverter side to cause the bus voltage sag. It is conceivable that the larger the transition resistance, the larger the post-fault system voltage, and the less likelihood of commutation failure. Hence, Scenario 1 is more prone to commutation failure than Scenario 2.
In each fault location scenario, the system’s performance is further compared under the three conditions, namely, the case keeping the LOE SC caused by the discharge switch’s mal-operation (referred to as Ncut), the case separating the LOE SC after the system fault (referred to as Cut1) and the case separating the LOE SC after the LOE fault (referred to as Cut2).
The visual inspection of Figure 8 indicates that in Scenario 1, compared with the other two cases (Ncut and Cut2) where commutation failure occurs, the case separating the LOE SC after the system fault (Cut1) has the best performance, in other words, no commutation failure occurs. In Scenario 2 with the smaller probability of the occurrence of commutation failure, the commutation failure does not appear in Cut1, as is expected. However, commutating failure occurs in the Cut2 case, while no commutating failure appears in the Ncut case. This implies that for the low bus voltage transient on the inverter side, separating the LOE SC after the voltage drop is the most effective way to avoid the commutation failure, and the connecting LOE SC is also still beneficial to the system’s transient operation even though it absorbs reactive power, as compared with separating the SC immediately after LOE.
This abnormal phenomenon is mainly related to commutation failure. Lin et al. [29] indicate that in the process of commutation failure caused by an AC fault, aside from the absolute value of bus voltage, the voltage drop speed also has a large effect on the commutation process. In the Ncut case, although the LOE SC always absorbs reactive power resulting in a lower bus voltage value compared with the Cut2 case, the LOE SC still provides a positive reactive power increment at the instant of system fault, which slows down the process of bus voltage drop, thus avoiding commutation failure to a certain extent.
In the same way, since the instantaneous reactive power increment provided by the LOE SC is less than that provided by separating the LOE SC after the system fault (which can be seen from the reactive power diagram in Figure 8), Cut1 is the way that contributes the most to avoiding commutation failure.
To verify the illustration, more simulations were carried out in the system with the inverter AC SCR varying from 2 to 8. The commutation failure immunity index (CFII) proposed in [30] was used here to evaluate the vulnerability of the commutation failure in these three cases. The mathematical expression of CFII is depicted as:
CFII = U sN 2 Z faut P dcN
where U sN presents the line voltage rating of the commutation bus; P dcN presents the DC transmission power rating and Z faut presents the maximum fault impedance that would cause the commutation failure. It is conceivable that the smaller the CFII, the greater the possibility of commutation failure. The result is presented in Table 4.
From Table 4, under the Cut1, Ncut and Cut2 conditions, the corresponding CFII decreases in turn. In other words, it can be concluded that compared with separating the SC immediately after LOE, connecting the LOE SC is still beneficial for the inverter low voltage transient, while the most effective operation to reduce commutation failure is separating the LOE SC after the system voltage drop. On the basis of the above conclusions, the appropriate operation modes of the SC’s LOE protection are discussed further in the later sections.

5.2. Impact on the UHVDC under Rectifier Overvoltage Fault

This part focuses on the rectifier overvoltage fault caused by a DC ground fault resulting in power interruption, which may further induce a WTG’s tripping fault. The SC’s reactive power output, rectifier bus voltage and the WTG’s active power output were recorded and compared between the Ncut, Cut1 and Cut2 cases.
As shown in Figure 9, the LOE SC has a negative reactive power increment when the converter bus experiences a voltage rise, which is as expected. With the reactive power absorption, the bus voltage and WTG’s active power performances in the Ncut case are better than the cases separating the LOE SC (Cut1 and Cut2). The system performances in the two cases (Cut1 and Cut2) are basically the same.
Thus, it can be concluded that the LOE SC could also absorb reactive power during the period of overvoltage fault, which helps to restrain the transient overvoltage. This may efficiently reduce the occurrence of the high-voltage tripping fault of renewable energy.

5.3. Summary

The impact of the SC’s LOE fault on the transient system’s performance can be summarized as follows.
  • On the inverter side, compared with separating the LOE SC immediately, keeping the LOE SC may still be beneficial to decrease the commutation failure due to the instantaneous positive reactive power increment; furthermore, separating the LOE SC after the system voltage drop has the best performance.
  • The rectifier LOE SC is also still beneficial for restraining the bus overvoltage, which may have a significant effect on the decrease in renewable energy tripping.

6. Discussion

From the above analysis, the following can be concluded:
  • The LOE SC would cause reactive power absorption and the excitation current’s monotonous decline. For the OLOE SC, the decrease of these quantities is quicker than for the SLOE SC. However, the LOE SC would keep synchronous operation;
  • The LOE SC would not result in a significant impact on the steady-state UHVDC due to the system’s huge capacity, even for the systems with a weak AC grid.
  • The LOE SC still has an instantaneous reactive power response at the moment of system fault. In the transient UHVDC, on the rectifier side, the LOE SC is helpful to restrain the transient overvoltage. On the inverter side, compared with separating the LOE SC immediately, keeping the LOE SC is still useful for the decrease in commutation failure; moreover, separating the LOE SC after the system voltage drop has the best performance.
As shown in Figure 10, on the basis of these conclusions, some primary suggestions are proposed for reasonable criteria and operation mode of SC’s LOE protection in UHVDC.
  • As a result of the failure of the asynchronous criteria, the monotonous declines of the excitation current and reactive power could be used to detect the LOE fault.
  • From the system’s perspective, different operation modes are needed on the rectifier and inverter sides. The protection should keep the LOE SC’s connection on the rectifier side and separate the LOE SC after the system voltage drop on the inverter side.

7. Conclusions

This paper analyzes the fault feature of the LOE SC and its impact on the performance of the UHVDC system. The analysis of the SC’s LOE process shows that the fault would cause the monotonous decrease of its reactive power and excitation current, while the LOE SC could keep synchronous operation. In addition, the research of the LOE SC’s reactive power response to the system voltage variation indicates that the LOE SC still has an instantaneous reactive power increment which may still be beneficial to the system’s transient stability. Furthermore, considering different AC SCRs, system operation conditions and system fault types, the simulation results indicate that (1) the LOE SC would not cause a significant impact on steady-state UHVDC; (2) the LOE SC could effectively restrain the overvoltage on the rectifier side; and (3) on the inverter side, the most effective way to avoid further commutation failure is keeping the LOE SC and separating it after system voltage drop; keeping it all the time is also conducive to the system’s stability compared with separating it immediately after the LOE fault.
These conclusions can provide some suggestions for the SC’s LOE protection from the system point of view. It should be noted that this paper mainly focuses on the SC’s LOE fault feature and its impact on UHVDC, which are the premise of the scientific protection configuration, and that the detailed protection scheme, including the specific criteria, setting values and operation mode, will be further explored in future work.

Author Contributions

Z.G. and L.H. proposed the models; Z.G. and L.H. conducted the simulations and analyzed the data; Z.G. and L.H. wrote the manuscript; J.W., X.W., H.C. and G.W. provided the test system data and helped revising the manuscript. All authors have read and agreed to the published version of the manuscript.

Funding

This research was supported by the Open Fund of State Key Laboratory of Power Grid Safety and Energy Conservation (China Electric Power Research Institute) (No. JBB51201901229) and the Fundamental Research Funds for the Central Universities (No. 2019YJS180).

Acknowledgments

The authors would like to thank the anonymous reviewers for the valuable comments.

Conflicts of Interest

The authors declare no conflict of interest.

References

  1. Zhou, X.; Yi, J.; Song, R.; Yang, X.; Li, Y.; Tang, H. An overview of power transmission systems in China. Energy 2010, 35, 4302–4312. [Google Scholar] [CrossRef]
  2. Liu, L.; Lin, S.; Liao, K.; Sun, P.; Deng, Y.; Li, X.; He, Z. Extinction angle predictive control strategy for commutation failure mitigation in HVDC systems considering voltage distortion. IET Gener. Transm. Distrib. 2019, 13, 5171–5179. [Google Scholar] [CrossRef]
  3. Wang, D.; Chen, H.; Huang, Y.; Deng, X.; Zhu, G. Modeling and Stability Analysis of Weak-Grid Tied Multi-DFIGs in DC-Link Voltage Control Timescale. Energies 2020, 13, 3689. [Google Scholar] [CrossRef]
  4. Xiao, C.; Xiong, X.; Ouyang, J.; Ma, G.; Zheng, D.; Tang, T. A Commutation Failure Suppression Control Method Based on the Controllable Operation Region of Hybrid Dual-Infeed HVDC System. Energies 2018, 11, 574. [Google Scholar] [CrossRef]
  5. Zhang, T.; Yao, J.; Pei, J.; Luo, Y.; Zhang, H.; Liu, K.; Wang, J. Coordinated control of HVDC sending system with large-scale DFIG-based wind farm under mono-polar blocking fault. Electr. Power Energy Syst. 2020, 119, 1–11. [Google Scholar] [CrossRef]
  6. Nguyen, H.T.; Member, S.; Yang, G.; Member, S.; Hejde, A. Combination of Synchronous Condenser and Synthetic Inertia for Frequency Stability Enhancement in Low Inertia Systems. IEEE Trans. Sustain. 2019, 10, 997–1005. [Google Scholar] [CrossRef]
  7. Zhang, C.; Chu, X.; Zhang, B.; Ma, L.; Li, X.; Wang, X.; Wang, L.; Wu, C. A coordinated DC power support strategy for multi-infeed HVDC systems. Energies 2018, 11, 1637. [Google Scholar] [CrossRef]
  8. Ma, Y.; Ling, Z.; Cai, W.; Cui, Y.; Zhou, L.; Wang, J. A novel coast-down no-load characteristic test and curve conversion method for large-scale synchronous condenser. Electr. Power Syst. Res. 2019, 172, 77–85. [Google Scholar] [CrossRef]
  9. Marken, P.E.; Depoian, A.C.; Skliutas, J.; Verrier, M. Modern synchronous condenser performance considerations. In Proceedings of the 2011 IEEE Power and Energy Society General Meeting, Detroit, MI, USA, 24–28 July 2011; pp. 1–5. [Google Scholar]
  10. Wang, P.; Liu, X.; Mou, Q.; Gu, W.E.I.; Member, S.; Liu, Y. Dynamic Behaviors and Protection Strategy of Synchronous Condenser Integrated Power System Under Non-Full Phase Fault Conditions. IEEE Access 2019, 7, 104121–104131. [Google Scholar] [CrossRef]
  11. Yibo, C.; Qian, T.; Zaixun, L.; Wanli, C.; Ling, R.; Pengcheng, Y. Analysis on design points of large synchronous condenser for UHVDC project. In Proceedings of the 2016 International Conference on System Reliability and Science (ICSRS), Paris, France, 15–18 November 2016; pp. 12–16. [Google Scholar]
  12. Aamir, A.; Qiao, L.; Guo, C.; Member, S.; Rehman, A.U.; Yang, Z. Impact of Synchronous Condenser on the Dynamic Behavior of LCC-based UHVDC System Hierarchically Connected to AC System. CSEE J. Power Energy Syst. 2019, 5, 190–198. [Google Scholar] [CrossRef]
  13. Jovcic, D.; Member, S.; Pahalawaththa, N.; Zavahir, M. Investigation of the Use of Inverter Control Strategy Instead of Synchronous Condensers at Inverter Terminal of an HVDC System. IEEE Trans. Power Deliv. 2000, 15, 704–709. [Google Scholar] [CrossRef]
  14. Masood, N.; Yan, R.; Saha, T.K.; Bartlett, S. Post-retirement utilisation of synchronous generators to enhance security performances in a wind dominated power system. IET Gener. Transm. Distrib. 2016, 10, 3314–3321. [Google Scholar] [CrossRef]
  15. Sha, J.; Guo, C.; Rehman, A.; Zhao, C. A Quantitative Index to Evaluate the Commutation Failure Probability of LCC-HVDC with a Synchronous Condenser. Appl. Sci. 2019, 9, 925. [Google Scholar] [CrossRef]
  16. Coelho, A.L.M.; Carrer, C.E.B.; Guerrero, C.A.V.; Silveira, P.M. Loss-of-Excitation Protection and Underexcitation Controls Correlation for Synchronous Generators in a Real-Time Digital Simulator. IEEE Trans. Ind. Electron. 2015, 51, 3579–3590. [Google Scholar] [CrossRef]
  17. Dongxia, Z.; Rui, Y.; Juanhong, N.; Yi, S.; Sifang, B.; Co, A. SFC start and relay protection of 300 Mvar large synchronous condenser. Power Syst. Prot. Control 2016, 44, 160–164. (In Chinese) [Google Scholar] [CrossRef]
  18. Nandkeolyar, S. Improvement of loss of excitation protection of an alternator in the presence of shunt-FACTS—A comprehensive review. Electr. Power Energy Syst. 2020, 114, 1–11. [Google Scholar] [CrossRef]
  19. Yaghobi, H. Fast discrimination of stable power swing with synchronous generator loss of excitation. IET Gener. Transm. Distrib. 2016, 10, 1682–1690. [Google Scholar] [CrossRef]
  20. Amini, M.; Davarpanah, M.; Sanaye-pasand, M.; Member, S. A Novel Approach to Detect the Synchronous Generator Loss of Excitation. IEEE Trans. Power Deliv. 2015, 30, 1429–1438. [Google Scholar] [CrossRef]
  21. Reimert, D. Protective relaying for power generation system. IEEE Power Energy Mag. 2006, 4, 78–79. [Google Scholar]
  22. Amraee, T. Loss-of-field detection in synchronous generators using decision tree technique. IET Gener. Transm. Distrib. 2013, 7, 943–954. [Google Scholar] [CrossRef]
  23. Yaghobi, H.; Mortazavi, H.; Ansari, K.; Mashhadi, H.R.; Khorashadi, H.; Borzoe, H. Study on application of fl ux linkage of synchronous generator for loss of excitation detection. Int. Trans. Electr. Energy Syst. 2013, 23, 802–817. [Google Scholar] [CrossRef]
  24. Li, Y.; Wang, X.; Yu, R. Research on Relay Protection Schema and Protection Setting of Large Capacity Synchronous Condenser. In Proceedings of the 2018 International Conference on Computer, Communications and Mechatronics Engineering (CCME 2018), Shanghai, China, 22–23 December 2018; Volume 332, pp. 410–415. [Google Scholar]
  25. Leon, A.E.; Solsona, J.A.; Figueroa, J.L.; Valla, M.I. Optimization with constraints for excitation control in synchronous generators. Energy 2011, 36, 5366–5373. [Google Scholar] [CrossRef]
  26. System, P.; Committee, R.; Power, I.; Society, E. IEEE Guide for AC Generator Protection; 2007; Volume 2006. Available online: https://ieeexplore.ieee.org/document/19520?arnumber=19520&tag=1 (accessed on 18 September 2020).
  27. Ma, Y.; Ruan, L.; Xiao, Y.; Zhou, L.; Wang, J.; Tao, Q. Modelling and analysis of the UHVDC transmission receiving system considering 300 Mvar novel synchronous condenser. In Proceedings of the 14th IET International Conference on AC and DC Power Transmission (ACDC 2018), Chengdu, China, 28–30 June 2018; Volume 2019, pp. 955–960. [Google Scholar]
  28. Sauer, P.W.; Pai, M.A. Power System Dynamics and Stability; Prentice Hall: Upper Saddle River NJ, USA, 1998; pp. 12–15. [Google Scholar]
  29. Lin, T.; Guo, Z.; Wang, L.; Chen, R.; Bi, R. Novel Detection Method for Consecutive DC Commutation Failure Based on Daubechies Wavelet with 2nd-Order Vanishing Moments. Energies 2018, 11, 261. [Google Scholar] [CrossRef]
  30. Wei, Z.; Liu, J. Commutation Failure Analysis in Single- and Multi- infeed HVDC Systems. In Proceedings of the 2016 IEEE PES Asia-Pacific Power and Energy Conference, Xi’an, China, 25–28 October 2016; pp. 2244–2249. [Google Scholar]
Figure 1. Physical model of the SC’s excitation winding.
Figure 1. Physical model of the SC’s excitation winding.
Energies 13 04926 g001
Figure 2. Wiring diagram of the single-machine infinite-bus system.
Figure 2. Wiring diagram of the single-machine infinite-bus system.
Energies 13 04926 g002
Figure 3. Quantities of SC during loss of excitation (LOE).
Figure 3. Quantities of SC during loss of excitation (LOE).
Energies 13 04926 g003
Figure 4. Recorded waveforms of the SC’s quantities during LOE fault.
Figure 4. Recorded waveforms of the SC’s quantities during LOE fault.
Energies 13 04926 g004
Figure 5. Reactive power response of the LOE SC when system voltage changes.
Figure 5. Reactive power response of the LOE SC when system voltage changes.
Energies 13 04926 g005
Figure 6. Structure of the test ultra-high-voltage direct current (UHVDC) system.
Figure 6. Structure of the test ultra-high-voltage direct current (UHVDC) system.
Energies 13 04926 g006
Figure 7. DC power under different short-circuit ratios (SCRs): (a) LOE fault on the rectifier side; (b) LOE fault on the inverter side.
Figure 7. DC power under different short-circuit ratios (SCRs): (a) LOE fault on the rectifier side; (b) LOE fault on the inverter side.
Energies 13 04926 g007
Figure 8. Simulation results during the low bus voltage occasion: (a) Active power of the UHVDC in different scenarios; (b) Reactive power of SC in different scenarios; (c) γ in different scenarios.
Figure 8. Simulation results during the low bus voltage occasion: (a) Active power of the UHVDC in different scenarios; (b) Reactive power of SC in different scenarios; (c) γ in different scenarios.
Energies 13 04926 g008
Figure 9. Simulation results during the overvoltage condition: (a) Bus voltage of the rectifier side; (b) Reactive power of SC; (c) Active power of the WTG on the rectifier side.
Figure 9. Simulation results during the overvoltage condition: (a) Bus voltage of the rectifier side; (b) Reactive power of SC; (c) Active power of the WTG on the rectifier side.
Energies 13 04926 g009
Figure 10. Preliminary suggestions for SC’s LOE protection.
Figure 10. Preliminary suggestions for SC’s LOE protection.
Energies 13 04926 g010
Table 1. Practical projects equipped with a synchronous condensers (SC).
Table 1. Practical projects equipped with a synchronous condensers (SC).
ProjectCapacity (MW)Voltage (kV)Numbers of SC (Rectifier/Inverter)
Yanmenguan-Huaian8000±8000/2
Jiuquan-Xiangtan8000±8002/2
Ximeng-Taizhou10,000±8002/2
Zhalute-Qingzhou10,000±8002/0
Changji-Guquan12,000±11000/2
Table 2. Parameters of SC.
Table 2. Parameters of SC.
ParameterUnitValue
Rated capacity Q scN Mvar300
Maximum allowable phase-in depth Q scN Mvar−150
Rated line voltage U N kV20
Rated current I N kA8.66
Unload excitation voltage E f V143
Unload excitation current I f A735
D-axis synchronous reactance X d %153
D-axis transient reactance X d %16.5
D-axis sub-transient reactance X d %11.1
D-axis transient open-circuit time constant T d 0 s7.44
D-axis sub-transient open-circuit time constant T d 0 s0.05
Q-axis transient open-circuit time constant T q 0 s0.83
Q-axis sub-transient open-circuit time constant T q 0 s0.096
De-excitation resistance R de Ω0.975
Excitation resistance R fd Ω0.195
Table 3. System parameters and control modes.
Table 3. System parameters and control modes.
AspectsRectifier SideInverter Side
Bus voltage (kV)U1U2U3
5305201050
AC line (Ω)Z1Z2Z3
10.17∠90°8.32∠90°23.68∠90°
Operation parametersαγ1γ2
15°17°17°
DC active power (MW)P1P2P3
10,00050005000
Reactive power consumed by converter (Mvar)Q1Q2Q3
576028202820
ACFs (Mvar)Qacf1Qacf2Qacf3
610033603260
DC lineRdc (Ω)Ld (mH)
4.64150
Control modesConstant DC currentConstant γ
Table 4. Commutation failure immunity index (CFII) under different operations.
Table 4. Commutation failure immunity index (CFII) under different operations.
SCRCut1NcutCut2
20.04920.04060.0350
30.07230.05890.0525
40.08780.07690.0723
50.11180.09780.0916
60.14590.12850.1196
70.19130.17210.1565
80.24590.22650.2152

Share and Cite

MDPI and ACS Style

Guo, Z.; Hao, L.; Wu, J.; Wang, X.; Cao, H.; Wang, G. Synchronous Condenser’s Loss of Excitation and Its Impact on the Performance of UHVDC. Energies 2020, 13, 4926. https://doi.org/10.3390/en13184926

AMA Style

Guo Z, Hao L, Wu J, Wang X, Cao H, Wang G. Synchronous Condenser’s Loss of Excitation and Its Impact on the Performance of UHVDC. Energies. 2020; 13(18):4926. https://doi.org/10.3390/en13184926

Chicago/Turabian Style

Guo, Zhilin, Liangliang Hao, Junyong Wu, Xingguo Wang, Hong Cao, and Guang Wang. 2020. "Synchronous Condenser’s Loss of Excitation and Its Impact on the Performance of UHVDC" Energies 13, no. 18: 4926. https://doi.org/10.3390/en13184926

APA Style

Guo, Z., Hao, L., Wu, J., Wang, X., Cao, H., & Wang, G. (2020). Synchronous Condenser’s Loss of Excitation and Its Impact on the Performance of UHVDC. Energies, 13(18), 4926. https://doi.org/10.3390/en13184926

Note that from the first issue of 2016, this journal uses article numbers instead of page numbers. See further details here.

Article Metrics

Back to TopTop