Unsteady Numerical Calculation of Oblique Submerged Jet
Abstract
1. Introduction
2. Numerical Simulation
2.1. Geometric Model and Boundary Conditions
2.2. Wray–Agarwal Turbulence Model
2.2.1. Introduction of Wray–Agarwal Turbulence Model
2.2.2. Verification of the Wray–Agarwal Turbulence Model
3. Results
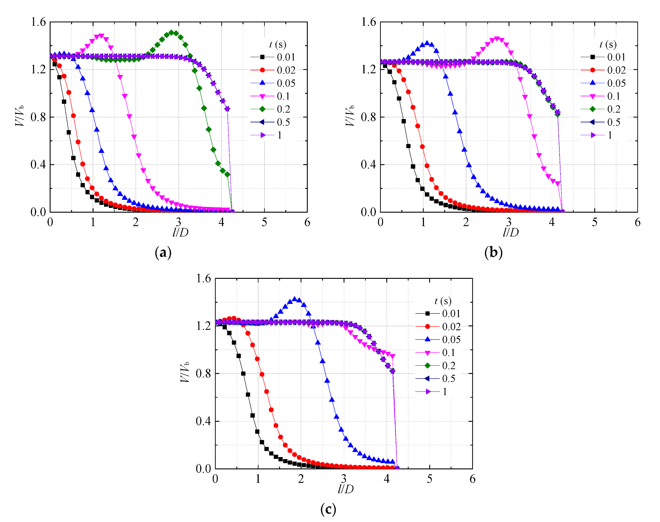
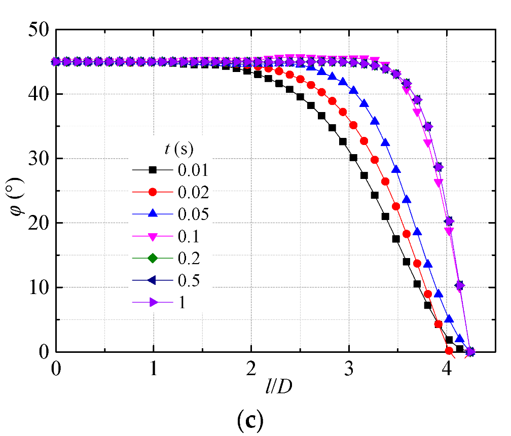
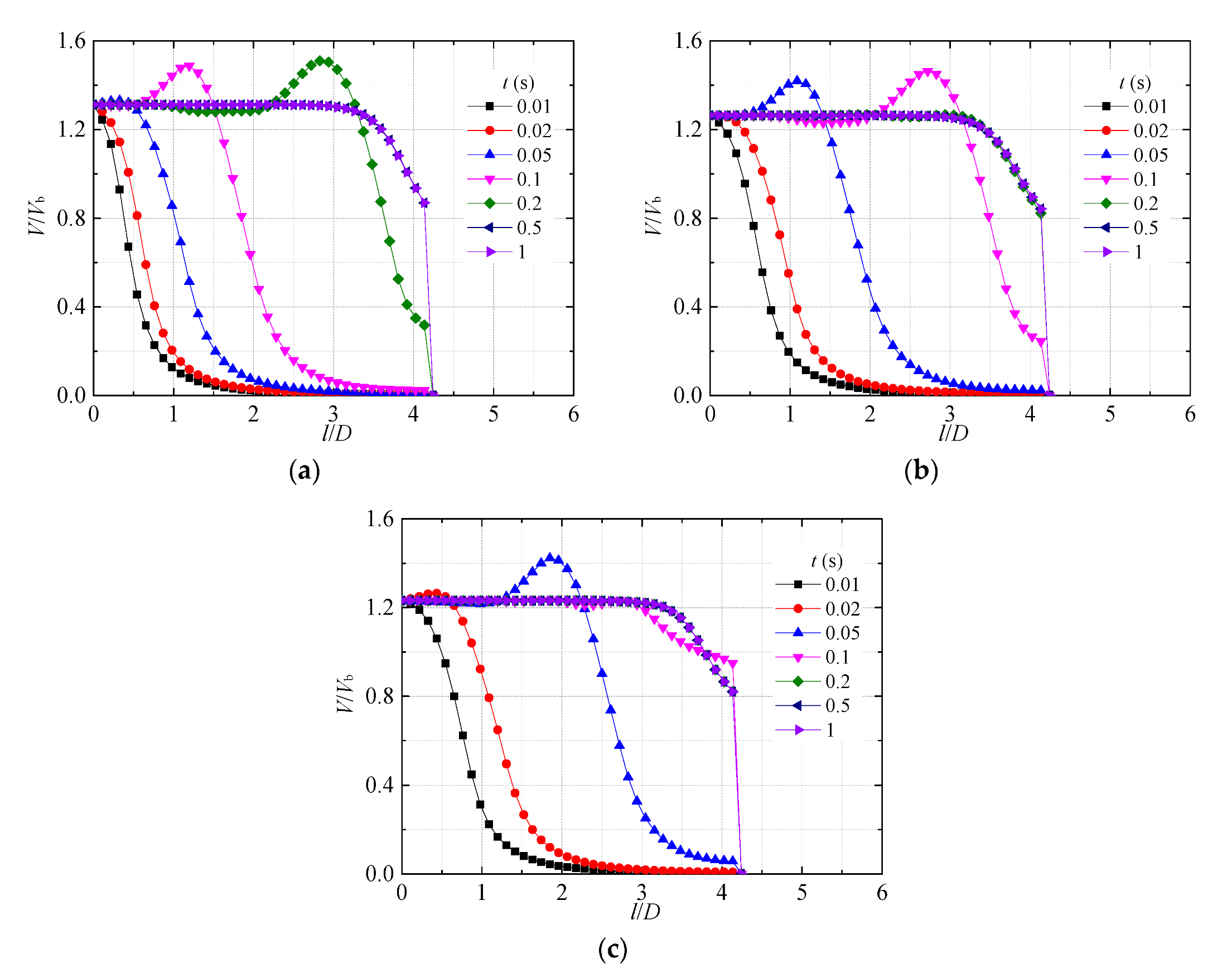
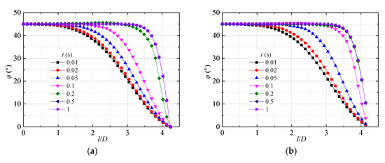
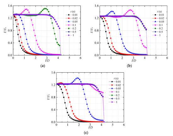
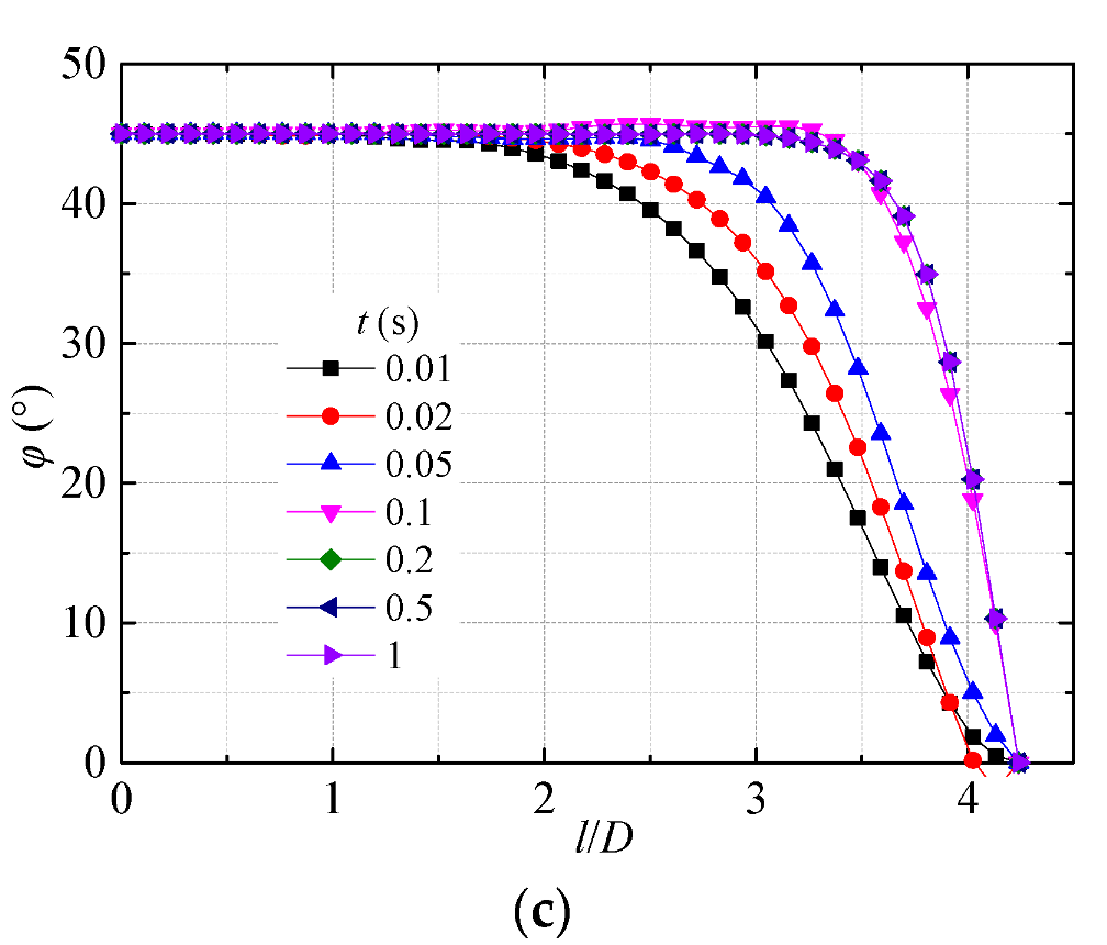
3.1. Analysis of the Oblique Submerged Jet Flow Field under Different Times
3.2. Comparison of the Oblique Submerged Jet Flow Field under Different Reynolds Numbers
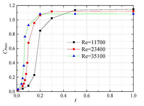
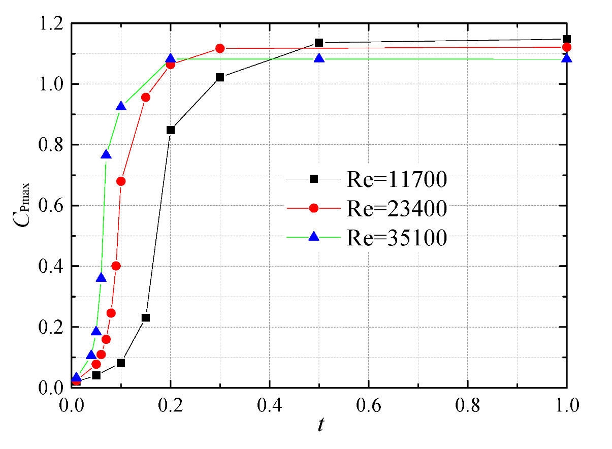
3.3. Pressure Distribution on the Impingement Plate at Different Times
4. Conclusions
- (1)
- The jet fluid diffused gradually after leaving the nozzle, the ambient fluid was continuously sucked into the jet, and there were symmetrical vortices around the main body of the jet; when impinging on the plate, most of the jet fluid deflected in the forward flow direction, and the vortex range increased in the forward flow direction, while decreasing in the backward flow direction.
- (2)
- In the process of jet movement, there was a peak value of velocity on the axis, and the pressure at the peak value was the minimum value; with the increase of time, after a certain time, the velocity, flow angle, and pressure distribution along the axis remained unchanged: In the free jet region, the velocity, flow angle, and pressure remained unchanged; in the impingement region, the velocity and flow angle decreased rapidly, while the pressure increased rapidly.
- (3)
- The variation of the maximum impact pressure coefficient on the impingement plate with time was affected by the Reynolds number, but its distribution law was the same.
Author Contributions
Funding
Conflicts of Interest
References
- Chaudhari, M.; Puranik, B.; Agrawal, A. Heat transfer characteristics of synthetic jet impingement cooling. Int. J. Heat Mass Transf. 2010, 53, 1057–1069. [Google Scholar] [CrossRef]
- Babic, D.; Murray, D.B.; Torrance, A.A. Mist jet cooling of grinding processes. Int. J. Mach. Tools Manuf. 2005, 45, 1171–1177. [Google Scholar] [CrossRef]
- Jiang, C.; Han, T.; Gao, Z.; Lee, C.H. A review of impinging jets during rocket launching. Prog. Aeronaut. Sci. 2019, 109, 100547. [Google Scholar] [CrossRef]
- Gutmark, E.; Wolfshtein, M.; Wygnanski, I. The plane turbulent impinging jet. J. Fluid Mech. 1978, 88, 737–756. [Google Scholar] [CrossRef]
- Adane, K.F.K.; Tachie, M.F. Experimental and numerical study of laminar round jet flows along a wall. J. Fluids Eng. 2010, 132, 101203. [Google Scholar] [CrossRef]
- Kim, M.; Karbasian, H.R.; Yeom, E. Transient three-dimensional flow structures of oblique jet impingement on a circular cylinder. J. Vis. 2018, 21, 397–406. [Google Scholar] [CrossRef]
- Mishra, A.; Yadav, H.; Djenidi, L.; Agrawal, A. Experimental study of flow characteristics of an oblique impinging jet. Exp. Fluids 2020, 61, 1–16. [Google Scholar] [CrossRef]
- Shi, L.; Zhu, J.; Tang, F.; Wang, C. Multi-Disciplinary Optimization Design of Axial-Flow Pump Impellers Based on the Approximation Model. Energies 2020, 13, 779. [Google Scholar] [CrossRef]
- Wang, H.; Long, B.; Wang, C.; Han, C.; Li, L. Effects of the Impeller Blade with a Slot Structure on the Centrifugal Pump Performance. Energies 2020, 13, 1628. [Google Scholar] [CrossRef]
- Shi, L.; Zhang, W.; Jiao, H.; Tang, F.; Wang, L.; Sun, D.; Shi, W. Numerical simulation and experimental study on the comparison of the hydraulic characteristics of an axial-flow pump and a full tubular pump. Renew. Energy 2020, 153, 1455–1464. [Google Scholar] [CrossRef]
- He, X.; Zhang, Y.; Wang, C.; Zhang, C.; Cheng, L.; Chen, K.; Hu, B. Influence of Critical Wall Roughness on the Performance of Double-Channel Sewage Pump. Energies 2020, 13, 464. [Google Scholar] [CrossRef]
- Wang, H.; Long, B.; Yang, Y.; Xiao, Y.; Wang, C. Modelling the influence of inlet angle change on the performance of submersible well pumps. Int. J. Simul. Model. 2020, 19, 100–111. [Google Scholar] [CrossRef]
- Ghiti, N. Large Eddy Simulation of Three Dimensional Impinging Jets. Comput. Model Eng. Sci. 2014, 99, 195–208. [Google Scholar]
- So, H.; Yoon, H.G.; Chung, M.K. Large eddy simulation of flow characteristics in an unconfined slot impinging jet with various nozzle-to-plate distances. J. Mech. Sci. Technol. 2011, 25, 721–729. [Google Scholar] [CrossRef]
- Gopalakrishnan, R.N.; Disimile, P.J. CFD Analysis of Twin Turbulent Impinging Round Jets at Different Impingement Angles. Fluids 2018, 3, 79. [Google Scholar] [CrossRef]
- Baghel, K.; Sridharan, A.; Murallidharan, J.S. Numerical study of free surface jet impingement on orthogonal surface. Int. J. Multiph. Flow 2019, 113, 89–106. [Google Scholar] [CrossRef]
- Wei, W.; Xu, W.; Deng, J.; Liu, B. Experimental Study of Impact Pressures on Deep Plunge Pool Floors Generated by Submerged Inclined Jets with Controlled Aeration. J. Hydraul. Eng. 2020, 146, 04020021. [Google Scholar] [CrossRef]
- Tian, Z.; Xu, W.L.; Wang, W.; Liu, S.J.; Dong, J.W. Scale effect of impinging pressure caused by submerged jet. J. Hydrodyn. 2005, 17, 478–482. [Google Scholar]
- Shao, J.R.; Li, S.M.; Liu, M.B. Numerical simulation of violent impinging jet flows with improved SPH method. Int. J. Comp. Meth. 2016, 13, 1641001. [Google Scholar] [CrossRef]
- Wang, H.; Qian, Z.; Zhang, D.; Wang, T.; Wang, C. Numerical Study of the Normal Impinging Water Jet at Different Impinging Height, Based on Wray–Agarwal Turbulence Model. Energies 2020, 13, 1744. [Google Scholar] [CrossRef]
- Zhang, X.; Agarwal, R.K. Numerical Simulation of Fountain Formation due to Normal and Inclined Twin-Jet Impingement on Ground. Fluids 2020, 5, 132. [Google Scholar] [CrossRef]
- Zhang, H.; Chen, Z.; Guo, Z.; Zheng, C.; Xue, D. Numerical investigation on the three-dimensional flow characteristics of unsteady subsonic elliptic jet. Comput. Fluids 2018, 160, 78–92. [Google Scholar] [CrossRef]
- Yang, L.; Li, Y.; Ligrani, P.M.; Ren, J.; Jiang, H. Unsteady heat transfer and flow structure of a row of laminar impingement jets, including vortex development. Int. J. Heat Mass Transf. 2015, 88, 149–164. [Google Scholar] [CrossRef]
- Chung, Y.M.; Luo, K.H.; Sandham, N.D. Numerical study of momentum and heat transfer in unsteady impinging jets. Int. J. Heat Fluid Flow 2002, 23, 592–600. [Google Scholar] [CrossRef]
- Zhang, K.; Chen, S. Numerical simulation of self-excited pulsed cavitation nozzle in three-dimensional unsteady flow. J. Drain. Irrig. Mach. Eng. 2018, 36, 288–293. [Google Scholar]
- Zaafouri, M.H.; Habli, S. Numerical analysis of a plane laminar jet in a pulsed coflow. Int. J. Fluid Mech. Res. 2019, 46, 89–99. [Google Scholar] [CrossRef]
- Han, X.; Wray, T.; Agarwal, R.K. Application of a new DES model based on wray-agarwal turbulence model for simulation of wall-bounded flows with separation. In Proceedings of the 47th AIAA Fluid Dynamics Conference, Denver, Colorado, 5–9 June 2017; p. 3966. [Google Scholar]
- Chuan, W.; Xikun, W.; Weidong, S.; Weigang, L.; Tan, S.K.; Zhou, L. Experimental investigation on impingement of a submerged circular water jet at varying impinging angles and Reynolds numbers. Exp. Therm. Fluid Sci. 2017, 89, 189–198. [Google Scholar]
- Fairweather, M.; Hargrave, G. Experimental investigation of an axisymmetric, impinging turbulent jet. 1. Velocity field. Exp. Fluids 2002, 33, 464–471. [Google Scholar] [CrossRef]












| Case | 1 | 2 | 3 | 4 | 5 |
|---|---|---|---|---|---|
| Number of mesh cells in the calculation domain | 2.65 × 106 | 3.21 × 106 | 3.73 × 106 | 4.26 × 106 | 4.80 × 106 |
| Condition 1 | Condition 2 | Condition 3 | |
|---|---|---|---|
| Inlet velocity (m/s) | 0.585 | 1.17 | 1.76 |
| Re | 11,700 | 23,400 | 35,100 |
| Turbulence Model | Standard k-ε | RNG k-ε | Realizable k-ε | Standard k-ω | SST k-ω | W-A |
|---|---|---|---|---|---|---|
| l = 0.98 D | 3.02% | 1.91% | 2.03% | 1.85% | 2.81% | 0.80% |
| l = 1.75 D | 3.40% | 2.28% | 2.37% | 2.22% | 3.17% | 0.16% |
| l = 2.52 D | 4.71% | 3.54% | 3.60% | 3.51% | 4.44% | 1.46% |
| l = 3.28 D | 4.19% | 2.68% | 2.74% | 2.92% | 3.63% | 1.23% |
© 2020 by the authors. Licensee MDPI, Basel, Switzerland. This article is an open access article distributed under the terms and conditions of the Creative Commons Attribution (CC BY) license (http://creativecommons.org/licenses/by/4.0/).
Share and Cite
Jiao, W.; Zhang, D.; Wang, C.; Cheng, L.; Wang, T. Unsteady Numerical Calculation of Oblique Submerged Jet. Energies 2020, 13, 4728. https://doi.org/10.3390/en13184728
Jiao W, Zhang D, Wang C, Cheng L, Wang T. Unsteady Numerical Calculation of Oblique Submerged Jet. Energies. 2020; 13(18):4728. https://doi.org/10.3390/en13184728
Chicago/Turabian StyleJiao, Weixuan, Di Zhang, Chuan Wang, Li Cheng, and Tao Wang. 2020. "Unsteady Numerical Calculation of Oblique Submerged Jet" Energies 13, no. 18: 4728. https://doi.org/10.3390/en13184728
APA StyleJiao, W., Zhang, D., Wang, C., Cheng, L., & Wang, T. (2020). Unsteady Numerical Calculation of Oblique Submerged Jet. Energies, 13(18), 4728. https://doi.org/10.3390/en13184728
