Abstract
This paper presents the results of research related to the issues arising from DC excitation of power transformers due to geomagnetically induced currents (GIC). First, the GIC phenomena and their influence on power system operation are discussed. Then, a recorded case of tripping of the transformer differential protection due to geomagnetic disturbances (GD), as well as simulation signals from a developed model of a transformer subjected to a GD are analyzed. Next, two algorithms for GIC detection utilizing the rate of change of transformer differential currents and the DC component in the neutral current are proposed, thoroughly tested, and recommended.
1. Introduction
Geomagnetically induced currents (GIC), induced by geomagnetic storm, may flow through a closed circuit created by long transmission lines, grounded transformers (and autotransformers), and the ground between these transformers. GICs are induced in power transmission systems by geomagnetic currents in the magnetosphere and ionosphere. Finally, magnetic fields associated with these currents in turn generate currents flowing through various elements of the power grid. The impact of GICs are generally the greatest in high-latitude countries but may also be noticeable in mid- and low-latitude locations [1]. Highly interconnected power grids with long lines are more susceptible to the induction of high levels of GICs. Since variation of the geomagnetically induced field is rather slow, GIC is a quasi-direct current (in the frequency range of millihertz or lower) superimposed on the power system currents [2]. Figure 1 shows a GIC recorded in a power system in Northern Norway. During this geomagnetic storm that occurred on 24 March 1991, the highest captured current was about 200 A. Such a high quasi-DC current may have negative consequences on various power system elements. As far as transformers are concerned, a high value DC component can lead to transformer overexcitation and consequently its overheating. On the other hand, the presence of a GIC may influence the performance of transformer differential protection, deteriorating both security and dependability under normal and fault conditions [3,4,5,6].
Figure 1.
Geomagnetically induced currents (GIC) measured in a transformer neutral connection in Finland during a geomagnetic storm that occurred on 24 March 1991. Reprint with permission from [11]; Copyright 1992, CIGRE.
The protection of power systems against geomagnetic disturbances has been considered in numerous studies over the last thirty years [7,8,9,10]. The two primary solutions that have been implemented in power systems so far are either capacitor neutral blocking on HV transformers or blocking capacitor banks in the high voltage transmission lines. Both of these above solutions require the addition of primary HV elements in a grid. In recent years, a SolidGroundTM GIC neutral blocking device was developed, tested, installed and has been operational in the Northern Wisconsin ATC power grid [10]. Generally, as far as power transformers are concerned, all proposed solutions address only the problem of transformers overheating under GIC, while the issues related to the mal-operation of transformer protection are not solved at the moment. Since secure operation (lack of undesirable trippings) of transformer differential protection under GIC is very important from the point of view of power system stability, this problem should be addressed as well. Hence, the main goal of this paper is to propose methods for GIC identification that can be used for transformer protection stabilization under such conditions. This paper now proposes a new software solution for preventing the mal-operation of HV transformer protection under GIC. The developed algorithms do not require installation of any HV components into a power grid.
The structure of this paper is as follows. In Section 2, the impact of GIC on power system protection is briefly discussed. Next, in Section 3, chosen cases of geomagnetic disturbances (GDs) are analyzed. Section 4 presents two developed algorithms for transformer differential protection stabilization under the presence of GIC. Final discussion and application recommendations are provided at the end of the paper.
2. GIC Impact on Power System Protection
The phenomenon of GIC may influence the operation of various power system components. The most important problems related to GIC are:
- Impact on CT saturation [3,12]: generally, GIC may affect operation of CTs under steady-state and during faults. Since steady-state CT errors evoked by GIC are insignificant, protective relays should cope with such errors and no mal-operation will occur. During faults, unipolar GIC may lead to transient CT saturation. In such conditions, usually substantial and fast CT saturation takes place. This phenomenon is similar to the one observed under CT saturation from fault currents with a high level of exponential component. Thus, it does not pose any new issue for protection devices since appropriate techniques are used to mitigate this effect. Basically, the influence of CT saturation due to the presence of GIC on power system protection may be summarized as follows:
- Under in-zone faults overcurrent and distance relays may underreach what would result only in operation delay.
- Under external faults line differential protections are already immune to CT saturation of such a character.
- Under external faults transformer differential protection should be secure with application of percentage restraint.
- Impact on power transformer [3,4,6,7,11,13]: under GD, quasi-DC geomagnetic current creates unipolar flux in power transformer cores. The magnitude of the DC flux shift in the core depends on the magnitude of the DC geomagnetic current, number of turns in the transformer windings, and magnetic reluctance of the DC flux path. Hence, this DC flux will be the lowest in three-limb core transformers due to the very high reluctance path for DC flux in such type of units. This flux superimposes onto nominal AC flux. If this offset is significant, the transformer starts operating in saturation range. Consequently, short duration ripples (from 1/10th to 1/6th of the cycle) appear in the transformer, magnetizing currents. Such saturation of the transformer creates a large spectrum of higher harmonics (harmonic content is the lowest in three-limb core units) and increases reactive power demand. A high level of harmonics may threaten proper power protection operations, which is discussed in-depth in Section 3.
- Impact on generators [14,15]: synchronous generators are isolated from the power grid by their associated step-up transformers. Thus, GDs do not jeopardize the generator’s operation directly. Nevertheless, GIC may indirectly cause overheating of turbo-generators. As it was mentioned above, power transformers saturated by GIC increase demands for higher harmonic currents and reactive power. Obviously, these demands must be compensated by generators. Higher harmonics currents in the generator stator create magnetic fields that, in turn, induce currents in the rotor and dumping winding. These currents may lead to the rotor overheating and may cause undesirable vibrations. Additionally, the heating process will be reinforced by increased reactive power generation and negative sequence current.
- Impact on VAR compensation [3,4,5]: increased reactive power demands, resulting from GIC-related transformer saturation, may deteriorate power system voltage stability. Hence, under GIC conditions efficient VAR compensation becomes a crucial issue. It means that capacitor banks and SVCs need to be kept in service as long as possible. Unfortunately, high levels of higher harmonics may lead to overcharging these VAR compensators and consequently lead to protection tripping. Thus, to ensure appropriate system voltage regulation, the settings of VAR compensator protections should be correctly chosen.
- Impact on protective relaying [3,7,8]: under GD one may expect both a lack of power system protection operation in case of in-zone faults and undesirable relay operation under normal operation or external events. A high level of higher harmonics may mask in-zone faults seen by protective relay when the protection algorithm employs higher harmonics for blocking purpose. It may increase operation delay or may even cause mis-operation, which consequently may endanger the protected object itself as well as human life. More dangerous, from the viewpoint of the power system operation, is the overreaction of protective relays. If the protection is sensitive to higher harmonics content then GD may be misinterpreted as an in-zone fault leading to undesirable tripping. When more power system protections mal-operate simultaneously then such cascading failures may lead to serious blackout.
3. Analysis of GIC Cases
In this section, GD events are analyzed from the viewpoint of operation of power transformer differential protection. To determine whether GD may endanger the protection performance, both field recordings as well as simulation signals were studied. The first considered case is a tripping of a transformer differential protection during a solar storm on 8 September 2017 in Tromsö, Norway (field recordings). Unfortunately, for this case the data from differential protection were not available. All presented phase currents are from distance protections on the transformer HV (420 kV)- and the LV (69 kV)-side. In Figure 2, magnetic inductions are shown that were measured between the 7th and 8th of September over the considered area where the transformer under investigation was installed. One may observe that the magnetic field achieves high level already one hour before the transformer tripping, which occurred right after midnight. In Figure 3, phase currents recorded at the HV side of the protected transformer are presented. One can see that right before the transformer tripping, phase currents were highly distorted and a noticeable offset was present in all three phases. This obviously results in a substantial increase of higher harmonics, see Figure 4. One can see that the 2nd harmonic achieves the highest level (higher than 30% of fundamental component), while the 5th harmonic was close to 10%, as shown in Figure 4b,d. However, after processing these phase currents in considered transformer protection, the restraint quantities were not enough to block the differential protection. Although some offset was observed in the phase current, there was no DC component present in it, as shown in Figure 4a. It means that this visual offset is an effect of a high level of wide spectrum of harmonics.
Figure 2.
Magnetogram of components D, H, and Z measured during a solar storm on 8 September 2017 in Tromsö, Norway.
Figure 3.
Tripping of transformer differential protection during a solar storm (field case): (a) phase currents at 420 kV side, (b) L1 phase current at 420 kV side.
Figure 4.
Tripping of transformer differential protection during a solar storm (field case): (a) DC component, (b) 2nd harmonic, (c) 3rd harmonic, (d) 5th harmonic in L1 phase current at 420 kV side (pu—related to the fundamental component).
In Figure 5, the current flowing through neutral connection at the LV transformer side is presented. Although under GIC event probably high-level currents flow through the grounding points at both sides of the protected transformer, on the secondary side of the CTs those currents are hardly seen. Obviously, conventional CT does not transfer the DC component and due to this the effect of GIC is not seen on the secondary side of CT.
Figure 5.
Tripping of a transformer differential protection during a solar storm (field case): neutral current at 420 kV side.
Since the signals from differential protection were not available (only the trip log for this protection was recorded), thorough analysis of GIC impact on transformer differential protection was impossible. To solve this problem, a corresponding simulation model was prepared. For uniform geoelectric fields, it is acceptable to model the induced voltage as voltage source in the grounding connection of the transformers as an earth surface potential [16,17,18]. However, it is more accurate to model this phenomenon as a voltage source in series with each line or as a Norton equivalent [19,20]. It was assumed that the uniform field generated under GIC has a constant magnitude of 1.0 V/km. Then, the voltage source values were calculated using the distance between two points in the considered power system network. The simulation model was prepared in a MATLAB environment, see simplified scheme in Figure 6. The transformer model under consideration was a 200 MVA 115/22 kV YNd11 unit with a five-leg core and excitation branch (piecewise linear model). Models of geomagnetically induced voltages (VGIC) were located in the middle of each phase of the overhead line. It was assumed that the equivalent intensity of these voltages may achieve a level of 600 ÷ 1200 V. Since geomagnetically induced voltages are not constant, their various time variation profiles were investigated (within the range of mentioned intensity).
Figure 6.
Power system model for geomagnetic disturbances (GD) simulation.
With use of such a model, various GD cases were simulated. Results of these simulations were first compared to the field recording presented formerly to validate the proposed model. Then, results achieved from this model were used to determine a possible protection stabilization algorithm.
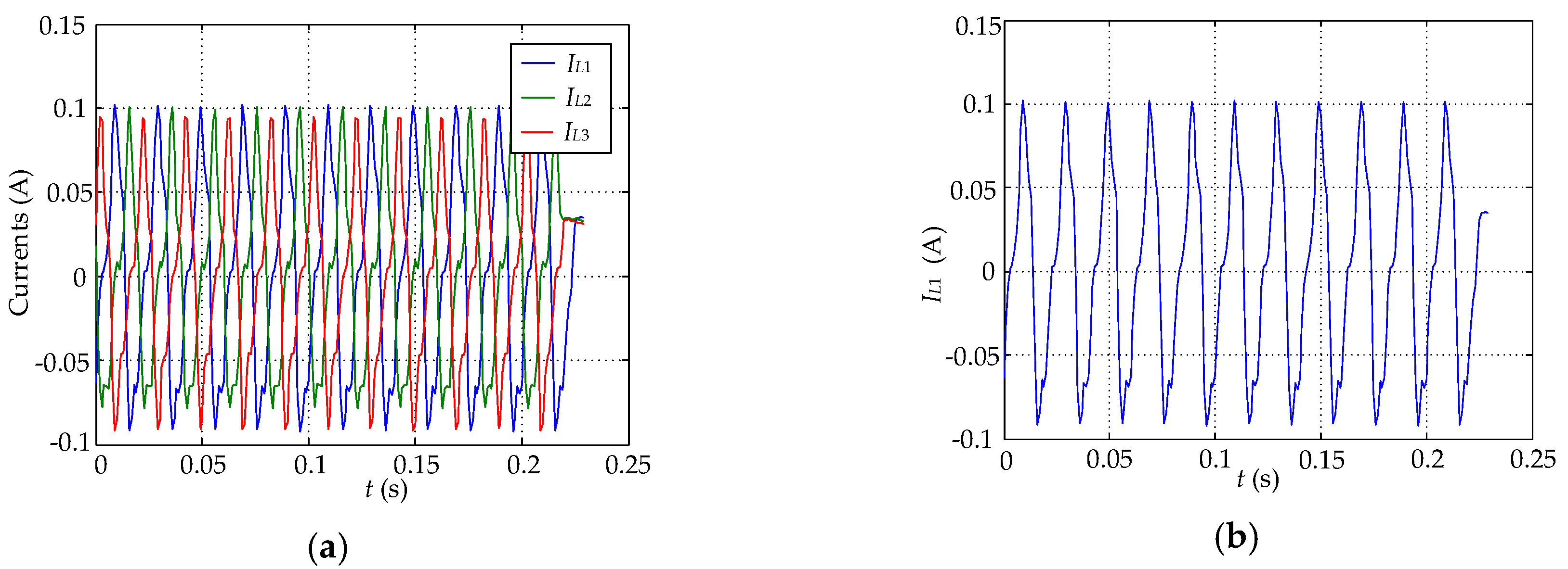
In Figure 7, phase currents at the terminals of the HV side of the considered transformer are presented (to make all figures legible only the final part of simulation is shown). One may see that the shape of these waveforms is similar to those observed for field recordings (Figure 3 and Figure 4). Furthermore, the level and the distribution of higher harmonics is very similar to those observed in the case of field recordings, as shown in Figure 8. The only difference is that here we are able to measure DC components because no CTs were used in the model in order to analyze primary values, as shown in Figure 8a. Additionally, it must be mentioned that the longer the transformer was subjected to GIC, the higher distortion of phase currents was observed.
Figure 7.
Simulation of GD: phase currents at 110 kV side.

Figure 8.
Simulation of GD: (a) DC component, (b) 2nd harmonic, (c) 5th harmonic in phase currents at 110 kV side.
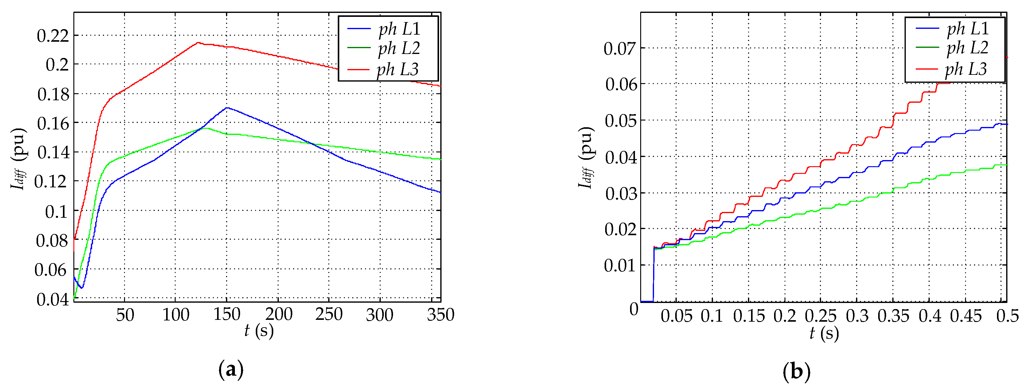
In Figure 9, differential currents for the considered GIC simulation case are presented. Under such conditions differential currents in all phases achieve substantial level and are very distorted. One can see that after a few minutes the magnitude of differential current may be high enough to evoke tripping of the protected transformer, as shown in Figure 10a. On the other hand, the level of differential current rises very slowly in spite of a significant level of GIC, see Figure 10b.
Figure 9.
Simulation of GD: differential currents in the final part of simulation.
Figure 10.
Simulation of GD—amplitudes of differential currents: (a) whole simulation span, (b) initial stage of simulation.
All results presented in this subsection led to the conclusions that under GIC, when mal-operation of transformer differential protection may occur, one may observe:
- A high level of DC component in the transformer neutral current.
- A wide spectrum of higher harmonics in phase/differential currents.
- Under extreme cases differential current may achieve a high level.
- Since GIC is not a rapid phenomenon, the magnitude of differential current rises gradually.
4. Protection Stabilization Algorithms
The above analysis shows that during GD undesirable tripping of the power transformer may occur and standard transformer differential protection blocking algorithms are ineffective under such conditions. Hence, in this section blocking algorithms that prevent such situations are proposed. An analysis of field recordings as well as signals from a simulation model were employed to develop the relay stabilization algorithm. It was concluded that the most reasonable approach for stabilization of transformer differential protection under GD is to apply cumulative values of higher harmonics and DC component as well as taking into account the fact that GD is not a rapid phenomenon. Based on such assumptions, the following stabilization procedures are proposed:
- Algorithm A: this algorithm employs the fact that GDs are not rapid phenomena and thus the magnitude of differential current rises gradually. Therefore, the blocking signal is determined as a rate of change of differential current amplitude Idiff:where:Ts—sampling time.For this algorithm the blocking condition is defined as follows:and the operation scheme is presented in Figure 11.
Figure 11. Block diagram of stabilization procedure, Algorithm A. - Algorithm B: this algorithm employs the fact that a high level of DC component is present in the transformer neutral current when subjected to GD phenomenon. Thus, the blocking signal is determined as an average value of DC component measured in neutral connection:where:IN_DC is the DC component in neutral current,Inom is the transformer rated current,AP = 3000,N is the number of samples in one period of a fundamental frequency component.For this algorithm, the blocking condition is defined by the following equation:and the operation scheme is presented in Figure 12.
Figure 12. Block diagram of stabilization procedure, Algorithm B.
In order to properly set the algorithms’ thresholds given in (2) and (5), vast simulation studies were done with use of field recordings as well as MATLAB-generated cases of GDs and transformer internal faults. Obviously, under a GD the differential protection should restrain it from tripping, whereas all internal faults should be promptly cleared. Additionally, for Algorithm A it was assumed that the differential protection lowest pickup value could be set at 1% Inom (usually this value is much higher) and that the magnitude measurement algorithm with time response of one cycle is used. Under such assumptions, one gets the lowest possible value of BS equal 0.05% Inom/ms for an internal fault that ought to be detected. Thus, taking into account the 50% safety margin, the final threshold is set to 0.025 % Inom/ms. In the case of Algorithm B, it was determined that an averaging window length of 60 s (for AP = 3000 in the 50 Hz power system) is sufficient to avoid unwanted delay or blocking action under internal fault with a substantial long-lasting exponential component. After this time, the value of BS of Algorithm B will definitely drop below the proposed threshold. Additionally, to avoid undesirable delay under severe internal faults, both algorithms are not active if the differential current is higher than 30% of transformer rated current.
At the initial stage of investigation, an algorithm based on the average value of the sum of DC component measured in neutral connection and THD of phase currents was also considered. However, due to its high complexity and problems with settings adjustment, the Algorithms A and B were only considered in the further part of investigations. It must be noted that proposed algorithms are aimed at supporting the standard differential protection with a typical percentage characteristic (threshold value equal to 10% of nominal current and slope 0.2). In the further part of this paper, chosen performance results of proposed stabilization algorithms are presented.
Case 1—Geomagnetic storm
The first presented case is a GIC event without any additional disturbances. According to expectations, differential currents under such conditions gradually ramp to achieve at the end of simulation values higher than 18% of transformer nominal current, see Figure 13. Differential current of phase L1 exceeds pickup threshold after about 150 s. At the same time, the current measured in neutral connection (Figure 14a) also slowly raises up to about 200 A. Thanks to this, blocking signals of both considered stabilization algorithms reach satisfactory levels (low for Algorithm A and high for Algorithm B), see Figure 14b. Hence, both algorithms ensure stable operation of differential protection. In the case of Algorithm A, the stabilization is active for the entire simulation time span (rate of change of differential current is not high enough), as shown in Figure 15a. The stabilization in Algorithm B is not active at the beginning of simulation, but generates a blocking signal about 50 s before first pickup of the differential protection, see Figure 15b.
Figure 13.
Geomagnetic storm (Case 1); differential currents: (a) instantaneous values, (b) amplitudes.
Figure 14.
Geomagnetic storm (Case 1): (a) neutral current, (b) blocking signals.
Figure 15.
Geomagnetic storm (Case 1); blocking decisions in all three phases: (a) Algorithm A, (b) Algorithm B.
Case 2—GD and internal fault—single-phase fault at the terminals of HV side through high resistance (after 80 s)
The discussed case is the most difficult one since internal fault overlaps a GD disturbance here, see Figure 16. Under such conditions the neutral current contains a substantial exponential component (Figure 17a). Nevertheless, Algorithm B operates correctly also in this case and does not block differential protection when internal fault takes place (Figure 18b). Algorithm A also presents appropriate operation under such conditions. At the beginning, when GIC develops, Algorithm A generates a blocking signal. When internal fault takes place, both differential current and its derivative are high enough to create clear operation conditions for differential protection, see Figure 18a. Proposed algorithms were also tested under various internal faults without simultaneous GD and no undesirable blocking action was observed. Hence, both algorithms will not cause mis-operation under internal faults.
Figure 16.
Geomagnetic storm and internal single-phase fault at the terminals of HV side (Case 2)—differential currents: (a) instantaneous values, (b) amplitudes.
Figure 17.
Geomagnetic storm and internal single-phase fault at the terminals of HV side (Case 2): (a) neutral current, (b) blocking signals.
Figure 18.
Geomagnetic storm and internal single-phase fault at the terminals of HV side (Case 2)—blocking decisions in all three phases: (a) Algorithm A, (b) Algorithm B.
5. Conclusions and Recommendations
In this paper, the results of the research related to the GIC phenomenon are presented. First, the GIC influence on power system operation are examined and discussed with special attention to power transformers and their protection. Then, a recorded case of a GD, which caused tripping of a protected transformer (i.e., a solar storm that happened in September 2017 in Tromsö, Norway), as well as selected simulation cases from developed MATLAB model are analyzed. This analysis revealed some common features of GD events that are characterized by substantial levels of DC components and harmonics components. It led to the proposition of two algorithms for GIC detection utilizing the rate of change of transformer differential currents as well as the level of DC components in neutral current. These proposed algorithms were tested under various disturbances. Both algorithms perform well for all simulated cases and provided appropriate blocking of the transformer differential protection under GD events. Both algorithms do not deteriorate differential protection operation for internal faults when tripping is required. Algorithm A seems more universal when compared to Algorithm B since it does not require any additional equipment, whereas version B requires a device to measure the direct current component in grounding connection. For both algorithms the operation schemes and final settings are recommended.
Author Contributions
Conceptualization, D.B.; methodology, D.B.; software, D.B.; validation, D.B.; formal analysis, D.B.; investigation, D.B.; resources, D.B.; data curation, D.B.; writing—original draft preparation, D.B.; writing—review and editing, W.R., M.K. and K.B.; visualization, D.B.; supervision, W.R., M.K. and K.B.; project administration, D.B., W.R. and M.K.; funding acquisition, M.K. and K.B. All authors have read and agreed to the published version of the manuscript.
Funding
This research received no external funding.
Conflicts of Interest
The authors declare no conflict of interest.
References
- Oyedokun, D.T.O.; Cilliers, P.J. Classical and Recent Aspects of Power System Optimization; Academic Press: Cambridge, MA, USA, 2018; pp. 421–462. ISBN 9780128124413. [Google Scholar]
- Kasztenny, B.; Fischer, N.; Taylor, D.; Prakash, T.; Jalli, J. Do CTs Like DC? Performance of Current Transformers with Geomagnetically Induced Currents. In Proceedings of the 69th Annual Conference for Protective Relay Engineers (CPRE), College Station, TX, USA, 4–7 April 2016. [Google Scholar]
- Girgis, R.; Vedante, K. Effect of GIC on Power Transformers & Power Systems. In Proceedings of the PES T&D, Orlando, FL, USA, 7–10 May 2012. [Google Scholar]
- Girgis, R.; Vedante, K.; Gramm, A. Effects of Geomagnetically Induced Currents on Power Transformers and Power Systems. CIGRE 2012, Session A2-304. Available online: https://library.e.abb.com/public/cbd31097f5bd26bfc1257b16002e30f1/A2_304_Cigre2012_1LAB000513_Effects%20of%20geomagnetically%20induced%20currents%20on%20power%20transformers%20and%20power%20systems.pdf (accessed on 20 July 2020).
- Hutchins, T. Geomagnetically Induced Currents and Their Effect on Power System. Master’s Thesis, Graduate College of the University of Illinois at Urbana-Champaign, Champaign, IL, USA, 2012. [Google Scholar]
- Berge, J.E. Impact of Geomagnetically Induced Currents on Power Transformers. Ph.D. Thesis, Electrical and Computer Engineering, The University of Western Ontario, London, ON, Canada, 2011. Available online: https://ir.lib.uwo.ca/etd/132 (accessed on 20 July 2020).
- Gurevich, V. Protection of Power Transformers against Geomagnetically Induced Currents. Serb. J. Electr. Eng. 2011, 8, 333–339. [Google Scholar] [CrossRef]
- Kappenman, J. Low-Frequency Protection Concepts for the Electric Power Grid: Geomagnetically Induced Current (GIC) and E3 HEMP Mitigation. Available online: http://citeseerx.ist.psu.edu/viewdoc/download?doi=10.1.1.734.6345&rep=rep1&type=pdf (accessed on 20 July 2020).
- Kappenman, J.G.; Norr, S.R.; Sweezy, G.A.; Carlson, D.L.; Albertson, V.D.; Harder, J.E.; Damsky, B.L. GIC Mitigation: A Neutral Blocking/Bypass Device to Prevent the Flow of GIC in Power Systems. IEEE Trans. Power Deliv. 1991, 6, 1271–1281. [Google Scholar] [CrossRef]
- Faxvog, F.R.; Fuchs, G.; Jensen, W.; Wojtczak, D.; Marz, M.B.; Dahman, S.R. HV Power Transformer Neutral Blocking Device (NBD) Operating Experience in Wisconsin. In Proceedings of the MIPSYCON Conference, St. Paul, MN, USA, 7 November 2017. [Google Scholar]
- Elovaara, J.; Lindblad, P.; Viljanen, A.; Mäkinen, T.; Pirjola, R.; Larsson, S.; Kielén, B. Geomagnetically Induced Currents in the Nordic Power System and Their Effects on Equipment, Control, Protection and Operation. In Proceedings of the CIGRE 1992 Session, Paper 36-301, Paris, France, 30 August–5 September 1992. [Google Scholar]
- Kasztenny, B.; Taylor, D.; Fischer, N. Impact of Geomagnetically Induced Currents on Protection Current Transformers. In Proceedings of the 13th International Conference on Developments in Power System Protection, Edinburgh, UK, 7–10 March 2016. [Google Scholar]
- Ramírez-Nino, J.; Haro-Hernández, C.; Rodriguez-Rodriguez, J.H.; Mijarez, R. Core saturation effects of geomagnetic induced currents in power transformers. J. Appl. Res. Technol. 2016, 14, 87–92. [Google Scholar] [CrossRef]
- Walling, R. GMD Impact on Generators. Walling Energy Systems Consulting, LLC, Power System Relaying and Control Committee. Available online: https:/www.pes-psrc.org/kb/published/presentations/GMD%20Generator%20Impacts.pdf (accessed on 20 July 2020).
- Rezaei-Zare, A.; Marti, L. Generator Thermal Stress during a Geomagnetic Disturbance. In Proceedings of the IEEE Power & Energy Society General Meeting, Vancouver, BC, Canada, 21–25 July 2013. [Google Scholar]
- Watari, S. Estimation of geomagnetically induced currents based on the measurement data of a transformer in a Japanese power network and geoelectric field observations. Earth Planets Space 2015, 67. [Google Scholar] [CrossRef]
- Boteler, D.H. Methodology for simulation of geomagnetically induced currents in power systems on Protection Current Transformers. J. Space Weather Space Clim. 2014, 4, A21. [Google Scholar] [CrossRef]
- Thorberg, R. Risk Analysis of Geomagnetically Induced Currents in Power Systems. Division of Industrial Electrical Engineering and Automation Faculty of Engineering, LTH, Lund University, Rep. LUTEDX/(TEIE-5296)/1-54/(2012). Available online: https://www.iea.lth.se/publications/MS-Theses/Full%20document/5296_full_document_GIC.pdf (accessed on 20 July 2020).
- Boteler, D.H. The use of linear superposition in modeling geomagnetically induced currents. In Proceedings of the IEEE Power & Energy Society General Meeting, Vancouver, BC, Canada, 21–25 July 2013. [Google Scholar] [CrossRef]
- Boteler, D.H.; Lackey, A.J.C.; Marti, L.; Shelemy, S. Equivalent circuits for modelling geomagnetically induced currents from a neighbouring network. In Proceedings of the IEEE Power & Energy Society General Meeting, Vancouver, BC, Canada, 21–25 July 2013. [Google Scholar] [CrossRef]
© 2020 by the authors. Licensee MDPI, Basel, Switzerland. This article is an open access article distributed under the terms and conditions of the Creative Commons Attribution (CC BY) license (http://creativecommons.org/licenses/by/4.0/).


















