Underground Pumped Storage Hydropower Case Studies in Belgium: Perspectives and Challenges
Abstract
1. Introduction
2. Literature Review
2.1. Underground Pumped Storage Hydroelectricity
2.2. Turbomachinery Options in UPSH
3. The Slate Quarry of Martelange Case Study
3.1. Hydropower Plant Description
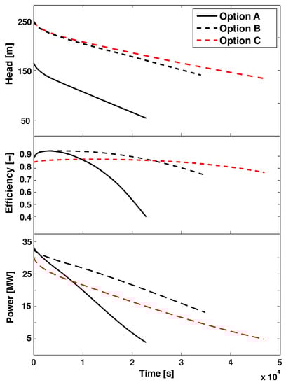
3.2. Turbomachinery Selection
- (A)
- A single hydraulic turbine type Francis under a head of 160 m and by exploiting an upper reservoir at ground level (by the river).
- (B)
- A Francis turbine installed for a gross total head of 250 depth by using the upper reservoir on Haart hill.
- (C)
- Likewise, option B, but installing a group of PATs instead.
3.3. Preliminary Costs Analysis
3.4. Estimation of the Greenhouse Gas Emission
- Emissions related to the generation of the stored electricity: these GHG emissions depend on the energy mix of the country, in Belgium in 2018 a total of 16 Mtons of equivalent CO was emitted, generating 92 TWh resulting in an emission ratio (or carbon intensity) of 0.174 ton CO/MWh [55]. This is then multiplied with the total pumping energy, over 40 years (the assumed lifetime of the plant).
- Emissions related to the operation of the storage plant. GHG emissions occur in the site preparation, reservoir development, the construction of (turbo)machinery, etc. Also, the GHG emissions related to the decommissioning of the plant are taken into account.
4. The Coal Mine of Péronnes-lez-Binche Case Study
4.1. Hydropower Plant Description
4.2. Turbomachinery Selection
- SCENARIO A: the machines operate only during steady head conditions. During head variation the turbines are by-passed until a new steady condition happens;
- SCENARIO B: it implies the continuous operation of the hydraulic turbines also during transient head conditions. A by-pass strategy depending on the head variation is proposed.
5. Discussion
5.1. The Quarry of Martelange Case Study
5.2. The Coal Mine of Péronnes-lez-Binche Case Study
6. Conclusions
Author Contributions
Funding
Acknowledgments
Conflicts of Interest
Abbreviations
| EEX | European Energy Exchange |
| GHG | greenhouse gas |
| LCA | life cycle assessment |
| NPV | net present value |
| OTC | over-the-counter contract |
| OPEX | operation expenses |
| PAT | pump as turbine |
| PHES | pumped hydro energy storage |
| RES | renewable energy sources |
| RPT | reversible pump-turbine |
| TSO | transmission system operator |
| UPSH | underground pumped storage hydroelectricity |
References
- Limpens, G.; Jeanmart, H. Electricity storage needs for the energy transition: An EROI based analysis illustrated by the case of Belgium. Energy 2018, 152, 960–973. [Google Scholar] [CrossRef]
- European Commission. Energy and Environment: Liberalisation of the Electricity and Gas Markets. 2012. Available online: http://ec.europa.eu/competition/sectors/energy (accessed on 15 January 2020).
- International Energy Agency—IEA. Renewable Information: Database Documentation. 2018. Available online: https://www.iea.org (accessed on 30 April 2020).
- Matsuo, Y.; Endo, S.; Nagatomi, Y.; Shibata, Y.; Komiyama, R.; Fujii, Y. Investigating the economics of the power sector under high penetration of variable renewable energies. Appl. Energy 2020, 267, 113956. [Google Scholar] [CrossRef]
- de Almeida, A.T.; Fonseca, P.; Falkner, H.; Bertoldi, P. Market transformation of energy-efficient motor technologies in the EU. Energy Policy 2003, 31, 563–575. [Google Scholar] [CrossRef][Green Version]
- Endex, I. Belgian Power Basload Futures. In Contract Specifications; Technical Report; ICE: Washington, DC, USA, 2015. [Google Scholar]
- Vallés, M.; Reneses, J.; Cossent, R.; Frías, P. Regulatory and market barriers to the realization of demand response in electricity distribution networks: A European perspective. Electr. Power Syst. Res. 2016, 140, 689–698. [Google Scholar] [CrossRef]
- De Vos, K. Negative Wholesale Electricity Prices in the German, French and Belgian Day-Ahead, Intra-Day and Real-Time Markets. Electr. J. 2015, 28, 36–50. [Google Scholar] [CrossRef]
- Engelken, M.; Römer, B.; Drescher, M.; Welpe, I.M.; Picot, A. Comparing drivers, barriers, and opportunities of business models for renewable energies: A review. Renew. Sustain. Energy Rev. 2016, 60, 795–809. [Google Scholar] [CrossRef]
- CONCERE-CNC PNEC 2030. Plan National Energie-Climat PNEC; Technical Report. Brussels, Belgium, 2019. Available online: https://www.cnc-nkc.be/en/NECP (accessed on 18 December 2019).
- Steimes, J.; Al Zohbi, G.; Hendrick, P.; Haut, B.; Doucement, S. Cost and revenue breakdown for a pumped hydroelectric energy storage installation in Belgium. In Proceedings of the Sustainable Hydraulics in the Era of Global Change—4th European Congress of the International Association of Hydroenvironment Engineering and Research, IAHR 2016, Liege, Belgium, 27–29 July 2016. [Google Scholar]
- Worrell, E.; Laitner, J.A.; Ruth, M.; Finman, H. Productivity benefits of industrial energy efficiency measures. Energy 2003, 28, 1081–1098. [Google Scholar] [CrossRef]
- Ceglia, F.; Esposito, P.; Marrasso, E.; Sasso, M. From smart energy community to smart energy municipalities: Literature review, agendas and pathways. J. Clean. Prod. 2020, 254, 1–47. [Google Scholar] [CrossRef]
- Palizban, O.; Kauhaniemi, K. Energy storage systems in modern grids—Matrix of technologies and applications. J. Energy Stor. 2016, 6, 248–259. [Google Scholar] [CrossRef]
- Deane, J.P.; Ó Gallachóir, B.P.; McKeogh, E.J. Techno-economic review of existing and new pumped hydro energy storage plant. Renew. Sustain. Energy Rev. 2010, 14, 1293–1302. [Google Scholar] [CrossRef]
- European Commission. A Roadmap for moving to a competitive low carbon economy in 2050. COM 2011, 11, 25–34. [Google Scholar] [CrossRef]
- Meeus, L.; Azevedo, I.; Marcantonini, C.; Glachant, J.M.; Hafner, M. EU 2050 Low-Carbon Energy Future: Visions and Strategies. Electr. J. 2012, 25, 57–63. [Google Scholar] [CrossRef]
- Rehman, S.; Al-Hadhrami, L.M.; Alam, M.M. Pumped hydro energy storage system: A technological review. Renew. Sustain. Energy Rev. 2015, 44, 586–598. [Google Scholar] [CrossRef]
- Martin, G.G. Underground Pumped Hydroelectric Energy Storage; Technical Report; Pacific Northwest Lab.: Richland, WA, USA, 2011. [CrossRef]
- Spriet, J. A Feasibility Study of Pumped Hydropower Energy Storage Systems in Underground Cavities. Master’s Thesis, Bruface (ULB-VUB Faculty of Engineering), Brussels, Belgium, 2014. [Google Scholar]
- Fessenden, R.A. System of Storing Power. U.S. Patent 1247520A, 20 November 1917. [Google Scholar]
- Min, A.P.N. Ondergrondse Pomp Accumulatie Centrale: Effectiviteitsverbetering Dmv Verschillende Pomp-Turbinevermogens. Master’s Thesis, Technische Universiteit Delft, Delft, The Netherlands, 1984. [Google Scholar]
- Pujades, E.; Orban, P.; Bodeux, S.; Archambeau, P.; Erpicum, S.; Dassargues, A. Underground pumped storage hydropower plants using open pit mines: How do groundwater exchanges influence the efficiency? Appl. Energy 2017, 190, 135–146. [Google Scholar] [CrossRef]
- Wong, I.H. An underground pumped storage scheme in the Bukit Timah granite of Singapore. Tunn. Undergr. Space Technol. 1996, 11, 485–489. [Google Scholar] [CrossRef]
- Alvarado, R.; Niemann, A. Underground Pumped-Storage Hydroelectricity Using Exisiting Coal Mining Infrastructure. In Proceedings of the 36th IAHR World Congress, The Hague, The Netherlands, 28 June–3 July 2015; pp. 1–8. [Google Scholar]
- Zillmann, A.; Perau, E. A conceptual analysis for an underground pumped storage plant in rock mass of the Ruhr region. In Proceedings of the Geotechnical Engineering for Infrastructure and Development—XVI European Conference on Soil Mechanics and Geotechnical Engineering, ECSMGE 2015, Edinburgh, Scotland, UK, 13–17 September 2015; Volume 7, pp. 3789–3794. [Google Scholar]
- US Army Corps of Engineers. An Assessment of Hydroelectric Pumped Storage; Technical Report—National Hydroelectric Power Resources Study; The U.S. Army Engineer Institute for Water Resources: Washington, DC, USA, 1981. [Google Scholar]
- Bendigo Sustainability Group. Bendigo Mines Pumped Hydro Project. Available online: https://www.bsg.org.au/bendigo-pumped-hydro-project/ (accessed on 2 January 2020).
- Energiasalv Pakri OU. The Muuga Seawater Pumped Hydroelectricity Storage Project. Available online: http://www.tuuleenergia.ee/en/2018/02/ (accessed on 20 January 2020).
- Northern Ostrobothnia Centre for Economic Development Transport envionment. Energy Storage in Mine. Available online: https://callio.info (accessed on 20 January 2020).
- Bear, J.; Cheng, A.H.D. Modeling Groundwater Flow and Contaminant Transport. In Modeling Groundwater Flow and Contaminant Transport; Springer: Cham, Switzerland, 2010. [Google Scholar] [CrossRef]
- Bodeux, S.; Pujades, E.; Orban, P.; Brouyère, S.; Dassargues, A. Interactions between groundwater and the cavity of an old slate mine used as lower reservoir of an UPSH (Underground Pumped Storage Hydroelectricity): A modelling approach. Eng. Geol. 2017, 217, 71–80. [Google Scholar] [CrossRef]
- Geth, F.; Brijs, T.; Kathan, J.; Driesen, J.; Belmans, R. An overview of large-scale stationary electricity storage plants in Europe: Current status and new developments. Renew. Sustain. Energy Rev. 2015, 52, 1212–1227. [Google Scholar] [CrossRef]
- Vanbellingen, R.; Lejeune, A.; Marchal, J.; Poels, M.; Salhoul, M. Vibration of Screen at La Plate Taille Hydro Storage Power Station in Belgium. In Proceedings of the Congress of International Association for Hydraulic Research, Moscow, Russia, 5–9 September 1983; Volume 3, pp. 325–336. [Google Scholar]
- Akinyele, D.O.; Rayudu, R.K. Review of energy storage technologies for sustainable power networks. Sustain. Energy Technol. Assess. 2014, 8, 74–91. [Google Scholar] [CrossRef]
- Dixon, S.; Hall, C. Fluid Mechanics and Thermodynamics of Turbomachinery; Butterworth-Heinemann: Oxford, UK, 2010. [Google Scholar] [CrossRef]
- Jaumotte, A.L.; Decock, P.; Megnint, L.; Verdurand, G. Hydraulic turbines: Description and Evolution. In Description et évolution. Techniques de L’ingénieur. Génie Mécanique; Turbines hydrauliques: Paris, France, 1994; Volume BL3, ISSN 1762-8768. [Google Scholar]
- Morabito, A.; de Oliveira e Silva, G.; Hendrick, P. Deriaz pump-turbine for pumped hydro energy storage and micro applications. J. Energy Stor. 2019, 24, 100788. [Google Scholar] [CrossRef]
- Židonis, A.; Aggidis, G.A. State of the art in numerical modelling of Pelton turbines. Renew. Sustain. Energy Rev. 2015, 45, 135–144. [Google Scholar] [CrossRef]
- Baumgarten, S.; Guder, W. Pumpen als Turbinen. Tech. Kompakt Pumpen Anl. 2005, 11, 2–9. [Google Scholar]
- Nourbakhsh, A.; Derakhshan, S.; Javidpour, E.; Riasi, A. Centrifugal & axial pumps used as turbines in small hydropower stations. In Proceedings of the Hidroenergia 2010: International Congress on Small Hydropower International Conference and Exhibition on Small Hydropower, Lausanne, Switzerland, 16–19 June 2010; pp. 16–19. [Google Scholar]
- Novara, D.; Carravetta, A.; McNabola, A.; Ramos, H.M. Cost Model for Pumps as Turbines in Run-of-River and In-Pipe Microhydropower Applications. J. Water Resour. Plan. Manag. 2019, 145, 04019012. [Google Scholar] [CrossRef]
- Binama, M.; Su, W.T.; Li, X.B.; Li, F.C.; Wei, X.Z.; An, S. Investigation on pump as turbine (PAT) technical aspects for micro hydropower schemes: A state-of-the-art review. Renew. Sustain. Energy Rev. 2017, 79, 148–179. [Google Scholar] [CrossRef]
- Manolakos, D.; Papadakis, G.; Papantonis, D.; Kyritsis, S. A stand-alone photovoltaic power system for remote villages using pumped water energy storage. Energy 2004, 29, 57–69. [Google Scholar] [CrossRef]
- Morabito, A.; Hendrick, P. Pump as turbine applied to micro energy storage and smart water grids: A case study. Appl. Energy 2019, 241, 567–579. [Google Scholar] [CrossRef]
- Paish, O. Micro-hydropower: Status and prospects. Proc. Inst. Mech. Eng. Part A J. Power Energy 2002, 216, 31–40. [Google Scholar] [CrossRef]
- Deriaz, P.; Warnock, J.G. Reversible Pump-Turbines for Sir Adam Beck-Niagara Pumping-Generating Station. J. Basic Eng. 1959, 81, 521–529. [Google Scholar] [CrossRef]
- Service public de Wallonie. Géoportail de la Wallonie. Available online: https://geoportail.wallonie.be (accessed on 29 June 2020).
- Gronemeier, K.; Jäckel, B. Pumped-Storage Hydroelectricityplan Martelange Pre-Feasibility-Study; L4391 Pontpierre: Luxembourg, 2013. [Google Scholar]
- Morabito, A.; Furtado, G.C.A.; Amarante Mesquita, A.L.; Hendrick, P. Variable speed regulation for pump as turbine in a micro pumped hydro energy storage application. In Proceedings of the 38th IAHR World Congress—“Water: Connecting the World”, Panama City, Panama, 1–6 September 2019; pp. 4039–4046. [Google Scholar] [CrossRef]
- Connolly, D.; Lund, H.; Finn, P.; Mathiesen, B.V.; Leahy, M. Practical operation strategies for pumped hydroelectric energy storage (PHES) utilising electricity price arbitrage. Energy Policy 2011, 39, 4189–4196. [Google Scholar] [CrossRef]
- de Oliveira e Silva, G.; Hendrick, P. Pumped hydro energy storage in buildings. Appl. Energy 2016, 179, 1242–1250. [Google Scholar] [CrossRef]
- Ogayar, B.; Vidal, P.G. Cost determination of the electro-mechanical equipment of a small hydro-power plant. Renew. Energy 2009, 34, 6–13. [Google Scholar] [CrossRef]
- Denholm, P.; Kulcinski, G.L. Life cycle energy requirements and greenhouse gas emissions from large scale energy storage systems. Energy Convers. Manag. 2004, 45, 2153–2172. [Google Scholar] [CrossRef]
- International Energy Agency. Data and Statistics. Available online: https://www.iea.org/ (accessed on 5 March 2020).
- Valentín, D.; Presas, A.; Egusquiza, E.; Valero, C.; Egusquiza, M.; Bossio, M. Power swing generated in Francis turbines by part load and overload instabilities. Energies 2017, 10, 2124. [Google Scholar] [CrossRef]
- Nicolet, C. Hydroacoustic Modelling and Numerical Simulation of Unsteady Operation of Hydroelectric Systems. Ph.D. Thesis, EPFL, Lausanne, Switzerland, 2007. [Google Scholar]
- Nicolet, C.; Avellan, P.F.; Sapin, A. New Tool for the Simulation of Transient Phenomena in Francis Turbine Power Plants. In Proceedings of the Hydraulic Machinery and Systems—21st IAHR Symposium, Avellan, France, 9–12 September 2002. [Google Scholar]
- Nicolet, C.; Greiveldinger, B.; Herou, J.J.; Kawkabani, B.; Allenbach, P.; Simond, J.; Avellan, F. High-Order Modeling of Hydraulic Power Plant in Islanded Power Network. IEEE Trans. Power Syst. 2007, 22, 1870–1880. [Google Scholar] [CrossRef]
- Landry, C. Hydroacoustic Modeling of a Cavitation Vortex Rope for a Francis Turbine. Ph.D. Thesis, EPFL, Lausanne, Switzerland, 2015. [Google Scholar]
- Dunlap, R.A. Renewable Energy: Volumes 2; Morgan & Claypool Publishers: San Rafael, UK, 2020; pp. 14–17. [Google Scholar]
- Ye, J.; Zeng, W.; Zhao, Z.; Yang, J.; Yang, J. Optimization of pump turbine closing operation to minimizewater hammer and pulsating pressures during load rejection. Energies 2020, 13, 1000. [Google Scholar] [CrossRef]
- Müller, A.; Favrel, A.; Landry, C.; Avellan, F. Fluid–structure interaction mechanisms leading to dangerous power swings in Francis turbines at full load. J. Fluids Struct. 2016, 69, 56–71. [Google Scholar] [CrossRef]
- Favrel, A. Prediction of hydro-acoustic resonances in hydropower plants by a new approach based on the concept of swirl number. J. Hydraul. Res. 2019, 1–18. [Google Scholar] [CrossRef]
- Pereira, J.G. Predicting the Dynamic Behavior of Francis Turbine Generating Units. Ph.D. Thesis, EPFL, Lausanne, Switzerland, 2019. [Google Scholar]
- Sabihuddin, S.; Kiprakis, A.E.; Mueller, M. A numerical and graphical review of energy storage technologies. Energies 2015, 8, 172–216. [Google Scholar] [CrossRef]
- Albadi, M.H.; Al-Busaidi, A.S.; El-Saadany, E.F. Using PHES to facilitate wind power integration in isolated systems—Case study. In Proceedings of the 2017 IEEE International Conference on Industrial Technology (ICIT), Toronto, ON, Canada, 22–25 March 2017. [Google Scholar] [CrossRef]
- Chen, H.; Cong, T.N.; Yang, W.; Tan, C.; Li, Y.; Ding, Y. Progress in electrical energy storage system: A critical review. Prog. Nat. Sci. 2009, 19, 291–312. [Google Scholar] [CrossRef]
- Poullikkas, A. A comparative overview of large-scale battery systems for electricity storage. Renew. Sustain. Energy Rev. 2013, 27, 778–788. [Google Scholar] [CrossRef]
- Nikolaidis, P.; Poullikkas, A. Cost metrics of electrical energy storage technologies in potential power system operations. Sustain. Energy Technol. Assess. 2018, 25, 43–59. [Google Scholar] [CrossRef]
- OECD Environmental Data.Technical Report. 2019. Available online: https://stats.oecd.org/ (accessed on 6 February 2020).
- Yang, C.J.; Jackson, R.B. Opportunities and barriers to pumped-hydro energy storage in the United States. Renew. Sustain. Energy Rev. 2011, 15, 839–844. [Google Scholar] [CrossRef]
- Pujades, E.; Orban, P.; Archambeau, P.; Erpicum, S.; Dassargues, A. Numerical study of the Martelange mine to be used as underground reservoir for constructing an Underground Pumped Storage Hydropower plant. Adv. Geosci. 2018, 45, 51–56. [Google Scholar] [CrossRef]
- Mou, J.; Chen, Z.; Gu, Y.; Fan, T. Effect of sealing ring clearance on pump performance. World Pumps 2016, 2016, 38–41. [Google Scholar] [CrossRef]
- Tam, S.W.; Clinch, J. Study of Certain Economic Aspects of Turbomachinery for Underground Pumped Hydroelectric Storage Plants; Technical Report; Argonne National Lab.: Lemont, IL, USA, 1979. [Google Scholar]
- Truong, Q.M.; Bouvet, Y.; Periolat, C. Ultra high head units for France’s Super Bissorte pumped-storage plant. Int. Water Power Dam Constr. 1988, 40, 11–15. [Google Scholar]
- Erskine, A.; Van Rooy, O. The complete refurbishment of Culligran underground hydropower station. In Hydropower Developments—New Projects, Rehabilitation, and Power Recovery; John Wiley and Sons Ltd.: Chichester, West Sussex, UK, 2004; Volume 2004, pp. 125–140. [Google Scholar]
- Iliev, I.; Trivedi, C.; Dahlhaug, O.G. Variable-speed operation of Francis turbines: A review of the perspectives and challenges. Renew. Sustain. Energy Rev. 2019, 103, 109–121. [Google Scholar] [CrossRef]












| Power Capacity | Stored Energy | Head | |
|---|---|---|---|
| Coo-Trois-Ponts | 1164 MW | 5 GWh | 250 m |
| Plate-Taille | 144 MW | 0.796 GWh | 45 m |
| Solution | Head Range | Turbomachinery | Characteristics |
|---|---|---|---|
| Ternary | h > 200 m | Distinct turbine and pump groups | Expensive and bulkier solution. Each turbomachine is optimised for pumping or generating. Indicated in the case where the target generated power is quite distinct from the pumping power. |
| RPT | h < 60 m | Variable geometry type Kaplan | Smaller excavation costs. An invertible rotation speed system is required. RPT design is more expensive than for traditional hydraulic turbines. |
| 25 < h < 170 m | Variable geometry type Deriaz | ||
| 70 < h < 600 m | Francis pump-turbine at fixed or variable speed |
| Cost Name | Cost Value EUR | Source |
|---|---|---|
| Installation and commissioning | 3,000,000 | [15] |
| Cost of the upper reservoir per volume (V [m]) | 4,383,500 | [52] |
| Cost of the penstock | 80,681 | [20] |
| Cost of the pumping pipe | 57,983 | [20] 600 EUR/ton |
| Cost of the turbomachinery and electrical equipment | 1,634,600 | [53] |
| Landownership agreements | 3,000,000 | Estimation of negotiation |
| Total initial investment | 12,157,000 |
| Item | Emissions CO |
|---|---|
| Operation | 1.8 tons CO/ GWh |
| Tunnelling and powerhouse construction | 8.1 tons CO/MWh |
| Electrical equipment | 9.7 tons CO/MWh |
| Balancing of the plant | 3.0 tons CO/MWh |
| Upper reservoir creation | 2.15 tons CO/MWh |
| Decommissioning | 0.8 tons CO/MWh |
| Item | Emissions Ton CO |
|---|---|
| GHG emissions of the stored electricity | 2,454,123 |
| GHG emissions of plant operation | 0.9 |
| GHG emissions of plant construction | 11,875 |
| Tunnelling and powerhouse construction | 4050 |
| Electrical equipment | 4850 |
| Balancing of the plant | 1500 |
| Upper reservoir creation | 1075 |
| Decommissioning | 400 |
| Total GHG Emissions | 16,407,000 |
| Estimation of the avoided GHG Emissions | 2,179,460 |
© 2020 by the authors. Licensee MDPI, Basel, Switzerland. This article is an open access article distributed under the terms and conditions of the Creative Commons Attribution (CC BY) license (http://creativecommons.org/licenses/by/4.0/).
Share and Cite
Morabito, A.; Spriet, J.; Vagnoni, E.; Hendrick, P. Underground Pumped Storage Hydropower Case Studies in Belgium: Perspectives and Challenges. Energies 2020, 13, 4000. https://doi.org/10.3390/en13154000
Morabito A, Spriet J, Vagnoni E, Hendrick P. Underground Pumped Storage Hydropower Case Studies in Belgium: Perspectives and Challenges. Energies. 2020; 13(15):4000. https://doi.org/10.3390/en13154000
Chicago/Turabian StyleMorabito, Alessandro, Jan Spriet, Elena Vagnoni, and Patrick Hendrick. 2020. "Underground Pumped Storage Hydropower Case Studies in Belgium: Perspectives and Challenges" Energies 13, no. 15: 4000. https://doi.org/10.3390/en13154000
APA StyleMorabito, A., Spriet, J., Vagnoni, E., & Hendrick, P. (2020). Underground Pumped Storage Hydropower Case Studies in Belgium: Perspectives and Challenges. Energies, 13(15), 4000. https://doi.org/10.3390/en13154000

