Numeric Simulation of Acoustic-Logging of Cave Formations
Abstract
1. Introduction
2. Theory and Methods
2.1. FD Method for Elastic Wave Equation
2.2. The Principle of CUDA Parallel-Computing
2.3. Borehole Model and Non-Splitting Perfect-Matched Layer Absorbing Boundary Condition
3. Numeric Simulation Results
3.1. Borehole Acoustic Wave and Wave Field Snapshot of Cave Formation
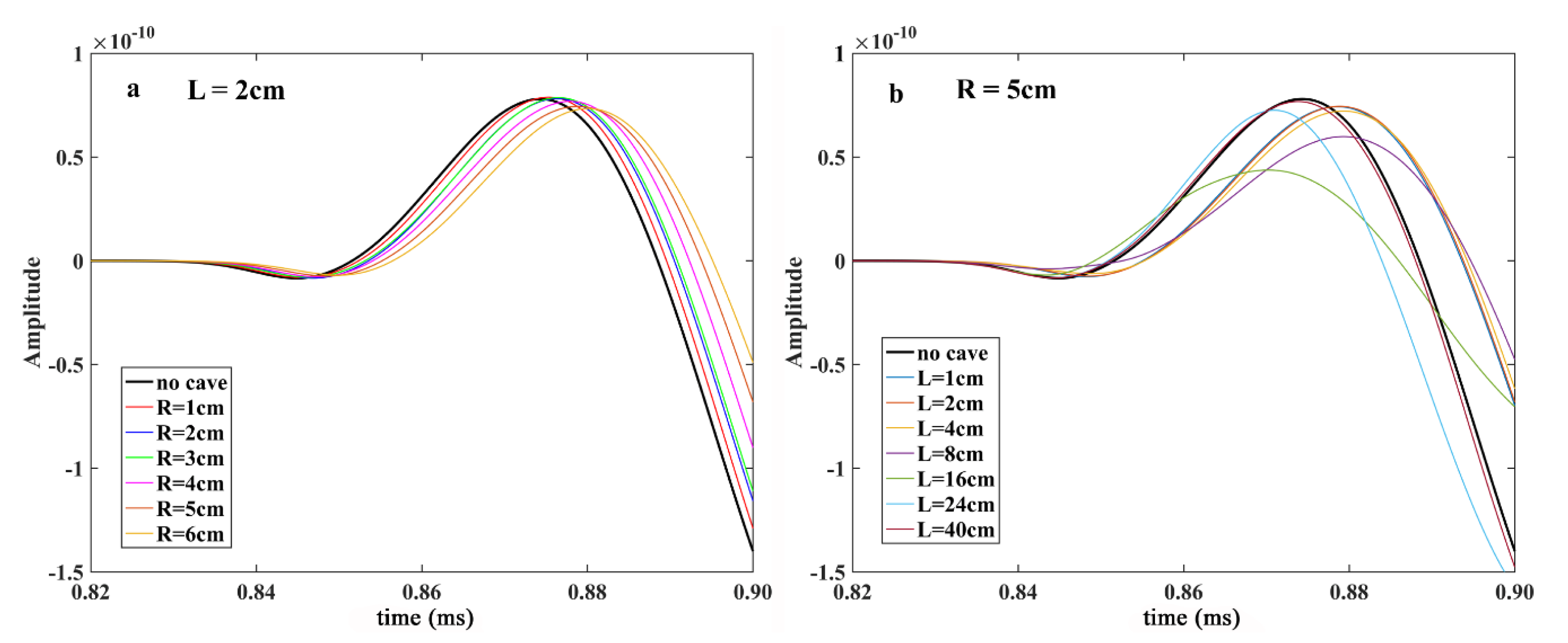
3.2. The Effect of the Cave on the Borehole P-Wave
- The amplitude of the P-wave varied slightly with the radius of the cave;
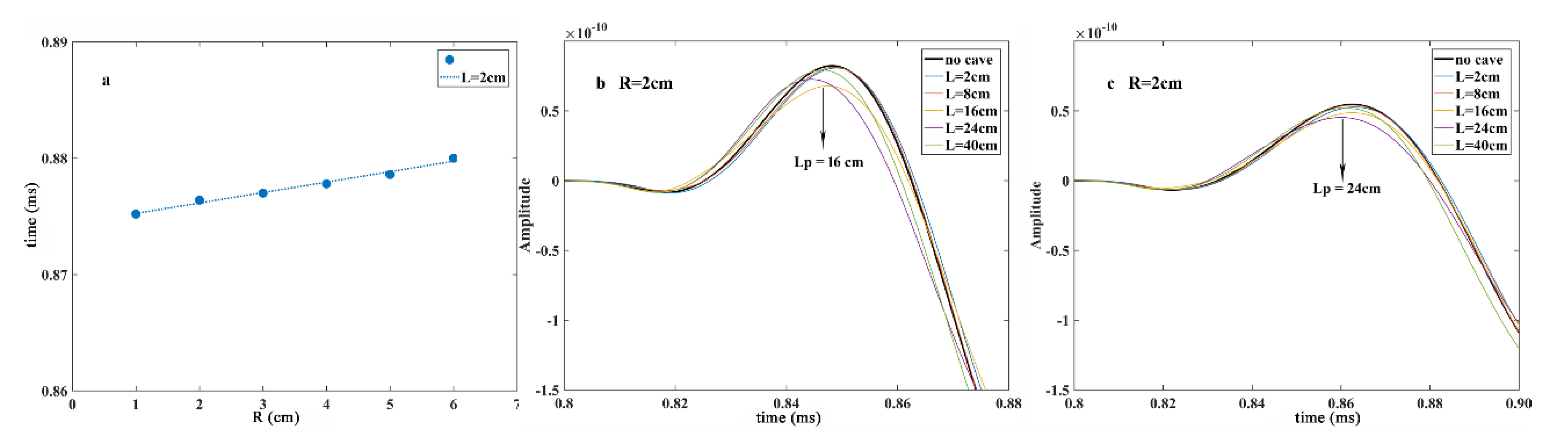
- The larger the cave radius was, the greater was the delay of the first arrival of the P-wave (the first arrival in our study was defined as the maximum of the first phase). From Figure 7a, the relationship between the first arrival of the P-wave and the radius of the cave was linear;
- Figure 6b shows the effect of distance of the cave to the borehole wall on the P-wave;
- There exists a distance of the cave to the borehole wall defined as . When the distance was equal to , the amplitude of the P-wave generally decreased in observations. Here = 16 cm in our model;
- When the distance was more than 24 cm (the excitation frequency was 10 kHz), it had little effect on the P-wave because of the limitation of investigation depth of the monopole source in our model.
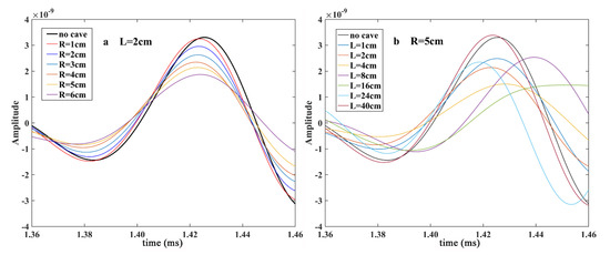
3.3. The Effect of the Cave on Borehole S-Wave
- The attenuation of the S-wave was large (the first arrival in our study was defined as the maximum of the first phase). With the increase of cave radius, the S-wave attenuation became stronger;
- The energy of the S-wave was more sensitive to cave radius than P-wave;
- Figure 8b shows the effect of the distance of the cave on S-wave;
- There exist a distance of cave to the borehole wall defined as . When the distance was equal to , the amplitude of the S-wave decays most by observation. Here = 16 cm in our model. was also related to the excitation frequency;
- When the distance was more than 24 cm (the center frequency of source was 10 kHz), it had little effect on the S-wave in our model. Because of the investigation depth of the monopole source was limited. A distance greater than 24 cm may exceed the maximum investigation depth.
- S-wave was more sensitive to the change of the distance of the cave than P-wave.
3.4. The Relationship between the Attenuation Coefficient of S-Wave and the Cave
3.5. The Effect the of Cave on Stoneley Wave
3.6. The Effect of the Cave on the Scattered Wave
4. Discussion
- (1)
- When the primary pores are well developed and the secondary pores are poorly developed, the porosity-distribution spectrum is a narrow single peak. The peaks move to the direction of small porosity;
- (2)
- When the primary pores are poorly developed and the secondary pores are well developed, the porosity-distribution spectrum is also a single peak. However, the peaks move to the direction of large porosity;
- (3)
- When the primary pores and secondary pores are well developed, but heterogeneous, the porosity-distribution spectrum shows multiple peaks. The peaks move to the direction of large porosity.
- (1)
- The model simulated in our study is an ideal simplified model, which has a certain effect in describing the response characteristics of acoustic wave to a single cave. However, the number, shape and filling degree of caves in the actual formation are very complex. The author’s future work is to establish a 3D complex geological model and study the response characteristics of acoustic-logging more detailed and systematic;
- (2)
- The actual well-logging data can reflect the development degree of cave, but cannot accurately reflect the details of cave. It is a long way to go that how to use monopole acoustic-logging to detect reservoir caves precisely. More complex numeric simulation and comparison with actual data are needed;
- (3)
- A single GPU parallel-computing program is designed in this study. The memory of a single GPU may not meet the computing needs when the amount of data are too large, so we need to add support for multiple GPUs in the program. It is of great significance to apply CUDA parallel-computing of multiple GPUs to borehole acoustic numeric simulation.
5. Conclusions
- The investigation depth of monopole source was about 24 cm in our model;
- The cave cannot affect ST wave under the condition of low frequency. The position and size of cave affected the borehole acoustic wave at high frequency;
- Due to the superposition of scattered waves, the amplitude of the P-wave may increase or decrease. Theoretically, the first arrival of the P-wave can reflect the development degree of cave;
- The energy of the S-wave is always attenuated due to the propagation mechanism. S-wave is more sensitive to the presence of cave. The energy attenuation of the S-wave can reflect the size of the cave;
- The attenuation coefficient of the S-wave raises first, and then decreases due to energy conversion with the increase of source distance;
- For ST waves the amplitude decreases with the increase of cave radius;
- The excitation frequency may affect the relationship between the distance of the cave and P(S) waves;
- The energy of the scattered wave generally decreases with an increase of distance to the cave. It is worth noting that the scattered wave formed by large-scale near-borehole cave has no rule with radius and distance of the cave.
Author Contributions
Funding
Conflicts of Interest
References
- Yu, C.M.; Zheng, J.P.; Tang, Y.; Yang, Z.; Qi, X.F. Reservoir Properties and Effect Factors on Volcanic Rocks of Basement beneath Wucaiwan Depression, Junggar Basin. Earth Sci.-J. China Univ. Geosci. 2004, 29, 303–308. [Google Scholar]
- Wen, L.; Li, Y.; Yi, H.Y.; Liu, X.; Zhang, B.J.; Qiu, Y.C.; Zhou, G.; Zhang, X.H. Lithofacies and reservoir characteristics of Permian volcanic rocks in the Sichuan Basin. Nat. Gas Ind. 2019, 39, 17–27. [Google Scholar] [CrossRef]
- Si Ma, L.Q. Study on Comprehensive Evaluation Method and Application of Well Logging for Fracture-Vuggy Carbonate Reservoir. Ph.D. Thesis, Southwest Petroleum University, Chengdu, China, 2005; pp. 11–25. [Google Scholar]
- Wang, J.J.; Hu, Y.; Liu, Y.C.; He, P.W.; Lan, X.M.; Wen, W. Dentification and characterization of multi-scale pores, vugs and fractures in carbonate reservoirs: A case study of the Middle Permian Qixia dolomite reservoirs in the Shuangyushi Structure of the northwestern Sichuan Basin. Nat. Gas Ind. 2019, 40, 48–57. [Google Scholar]
- Hei, C. Acoustic Logging Scattering Effect Basic Application Research in Complex Formation. Ph.D. Thesis, China University of Petroleum (East China), Beijing, China, 2016; pp. 1–10. [Google Scholar]
- Ou, W.M.; Wang, Z.W. Simulation of Stoneley wave reflection from porous formation in borehole using FDTD method. Geophys. J. Int. 2019, 217, 2081–2096. [Google Scholar] [CrossRef]
- Ou, W.M.; Wang, Z.W.; Ning, Q.Q.; Yu, Y.; Xu, F.H. Numerical simulation of borehole Stoneley wave reflection by a fracture based on variable grid spacing method. Acta Geophys. 2019, 67, 1119–1129. [Google Scholar] [CrossRef]
- Liu, D.; Fan, J.C.; Wu, S.N. Acoustic Wave-Based Method of Locating Tubing Leakage for Offshore Gas Wells. Energies 2018, 11, 3454. [Google Scholar] [CrossRef]
- Burns, D.R.; Willis, M.E.; Toksoz, M.N. Fracture properties from seismic scattering. Lead. Edge 2007, 26, 1186–1196. [Google Scholar] [CrossRef]
- Wu, R.S.; Aki, K. Scattering characteristics of elastic waves by an elastic heterogeneity. Geophysics 1985, 50, 582–595. [Google Scholar] [CrossRef]
- Tang, X.M.; Wei, Z.T. Single-well acoustic reflection imaging using far-field radiation characteristics of a borehole dipole source. Chin. J. Geophys. 2012, 55, 2798–2807. (In Chinese) [Google Scholar]
- Tang, X.M.; Cao, J.J.; Wei, Z.T. Radiation and reception of elastic waves from a dipole source in open and cased boreholes. J. China Univ. Pet. 2013, 37, 57–64. [Google Scholar]
- Tang, X.M.; Cao, J.J.; Wei, Z.T. Shear-wave radiation, reception, and reciprocity of a borehole dipole source: With application to modeling of shear-wave reflection survey. Geophysics 2014, 79, 43–50. [Google Scholar] [CrossRef]
- Hei, C.; Tang, X.M.; Li, Z.; Su, Y.D. Elastic wave scattering and application in the borehole environment. Sci. Sin. 2016, 46, 118–126. [Google Scholar]
- Li, D.; Qiao, W.X.; Che, X.H.; Ju, X.D. Study on the response of dipole reflected acoustic imaging the near-borehole cave. J. Appl. Acoust. 2019, 28, 767–773. [Google Scholar]
- Fan, Z.J.; Liu, J.H.; Zhang, W.F. Log interpretation and evaluation of the Ordovician carbonate rock reservoirs in Tahe oilfield. Oil Gas Geol. 2008, 29, 61–65. [Google Scholar]
- Zhao, J.; Li, Z.J.; Yu, B.; Fan, Z.J. Acoustic Logging Numerical Simulation and Quantitative Evaluation of Cave Filling Degree. J. Basic Sci. Eng. 2013, 21, 1070–1077. [Google Scholar]
- Wang, X.C.; Zhang, J.; Li, J.; Hu, S.; Kong, Q.F. Conventional logging identification of fracture-vug complex types data based on crossplots-decision tree: A case study from the Ordovician in Tahe oilfield, Tarim Basin. Oil Gas Geol. 2017, 38, 805–812. [Google Scholar]
- Jarzyna, J.; Bala, M.; Cichy, A. Elastic Parameters of Rocks from Well Logging in Near Surface Sediments. Acta Geophys. 2009, 58, 34–48. [Google Scholar] [CrossRef]
- Wawrzyniak, K. Application of Time-Frequency Transforms to Processing of Full Waveforms from Acoustic Logs. Acta Geophys. 2009, 58, 49–82. [Google Scholar] [CrossRef]
- Hellwig, O.; Geerits, T.W.; Bohlen, T. Accuracy of 2.5 D seismic FDTD modeling in the presence of small scale borehole structures. In Proceedings of the 73rd EAGE Conference and Exhibition Incorporating SPE EUROPEC, Vienna, Austria, 23–27 May 2011. [Google Scholar]
- Wang, H.; Tao, G.; Shang, X.F.; Fang, X.D.; Burns, D.R. Stability of finite difference numerical simulations of acoustic logging-while-drilling with different perfectly matched layer schemes. Appl. Geophys. 2013, 10, 384–396. [Google Scholar] [CrossRef]
- Wawrzyniak, K. Acoustic Full Waveforms as a Bridge between Seismic Data and Laboratory Results in Petrophysical Interpretation. Acta Geophys. 2016, 64, 2356–2381. [Google Scholar] [CrossRef]
- Duane, S.; Mete, Y. CUDA for Engineers: An Introduction to High-Performance Parallel Computing; Addison Wesley: Boston, UK, 2016; Chapter 4; pp. 39–43. [Google Scholar]
- Max, G.; Ty, M. Professional CUDA C Programming; Wrox: Birmingham, UK, 2014; Chapter 2; pp. 18–48. [Google Scholar]
- Song, B.; Li, W.; Lian, G.X. EFIT simulation of 2D ultrasonic sound field based on CUDA. J. Beijing Univ. Aeronaut. Astronaut. 2019, 45, 1322–1328. [Google Scholar]
- He, L.L.; Jiang, Y.; Ou, Y.; Jiang, S.S.; Bai, H.T. Revised simplex algorithm for linear programming on GPUs with CUDA. Multimed. Tools Appl. 2018, 77, 30035–30050. [Google Scholar] [CrossRef]
- Wang, T.; Tang, X.M. Finite-difference modeling of elastic wave propagation: A nonsplitting perfectly matched layer approach. Geophysics 2003, 68, 1749–1755. [Google Scholar] [CrossRef]
- Yan, S.G.; Xie, F.L.; Gong, D.; Zhang, C.G.; Zhang, B.X. Borehole acoustic fields in porous formation with tilted thin fracture. Chin. J. Geophys 2015, 58, 307–317. (In Chinese) [Google Scholar]
- Mou, Y.G.; Pei, Z.L. 3D Seismic Numerical Simulation of Complex Medium; Petroleum Industry Press: Beijing, China, 2005; Chapter 8; pp. 125–136. [Google Scholar]
- Paillet, F.L. Acoustic propagation in the vicinity of fractures which intersect a fluid-filled borehole. In Proceedings of the SPWLA 21st Annual Logging Symposium. Society of Petrophysicists and Well-Log Analysts, Lafayette, LA, USA, 8–11 July 1980; pp. DD1–DD33. [Google Scholar]
- Wang, Z.W.; Liu, J.H.; Nie, C.Y. Time-frequency analysis of array acoustic logging signal based on Choi-Williams energy distribution. Prog. Geophys. 2007, 22, 1481–1486. [Google Scholar]
- Liu, Z.L.; Wang, Z.W.; Zhou, D.P.; Zhao, S.Q.; Xiang, M. Pore distribution characteristics of the igneous reservoirs in the Eastern Sag of the Liaohe depression. Open Geosci. 2017, 9, 161–173. [Google Scholar]
- Zuo, C.J.; Wang, Z.W.; Xiang, M.; Zhou, D.P.; Liu, Z.L.; Yang, F. The radial pore heterogeneity of volcanic reservoir based on the porosity analysis of micro-electric imaging logging. Geophys. Prospect. Pet. 2016, 55, 449–454. [Google Scholar]
- Xu, F.H.; Wang, Z.W.; Liu, J.H.; Ning, Q.Q.; Yu, Y. Acoustic logging information extraction and fractural volcanic formation characteristics based on empirical mode decomposition. Geophys. Prospect. Pet. 2018, 57, 936–943. [Google Scholar]















| Elastic Parameters | |||
| Elastic formation | 3670 | 2170 | 2650 |
| Borehole fluid | 1500 | 0 | 1000 |
| Cave fluid | 1500 | 0 | 1000 |
© 2020 by the authors. Licensee MDPI, Basel, Switzerland. This article is an open access article distributed under the terms and conditions of the Creative Commons Attribution (CC BY) license (http://creativecommons.org/licenses/by/4.0/).
Share and Cite
Xu, F.; Wang, Z. Numeric Simulation of Acoustic-Logging of Cave Formations. Energies 2020, 13, 3908. https://doi.org/10.3390/en13153908
Xu F, Wang Z. Numeric Simulation of Acoustic-Logging of Cave Formations. Energies. 2020; 13(15):3908. https://doi.org/10.3390/en13153908
Chicago/Turabian StyleXu, Fanghui, and Zhuwen Wang. 2020. "Numeric Simulation of Acoustic-Logging of Cave Formations" Energies 13, no. 15: 3908. https://doi.org/10.3390/en13153908
APA StyleXu, F., & Wang, Z. (2020). Numeric Simulation of Acoustic-Logging of Cave Formations. Energies, 13(15), 3908. https://doi.org/10.3390/en13153908

