Quantifying the Building Energy Dynamics of Manhattan, New York City, Using an Urban Building Energy Model and Localized Weather Data
Abstract
1. Introduction
2. Study Area and Data
3. Methodology
3.1. Generating Localized Weather Data
3.2. Modelling Building Energy Use
4. Results and Discussion
4.1. Localized Weather Data Generated by UWG
4.2. Building Energy Use of Manhattan Simulated by UBEM
4.2.1. UBEM Input
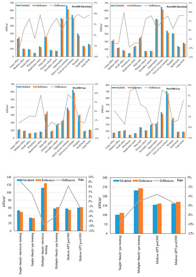
4.2.2. UBEM Calibration
4.2.3. The Spatial Distribution of Energy Consumption in Manhattan
4.3. The Temporal Profiles of Energy Consumption in Manhattan
4.4. Sensitivity Analysis
5. Conclusions
Funding
Acknowledgments
Conflicts of Interest
References
- Li, W.; Wu, C.; Zang, S. Modeling urban land use conversion of Daqing City, China: A comparative analysis of “top-down” and “bottom-up” approaches. Stoch. Environ. Res. Risk Assess. 2012, 28, 817–828. [Google Scholar] [CrossRef]
- United Nations, Department of Economic and Social Affairs, Population Division. World Urbanization Prospects: The 2018 Revision (ST/ESA/SER.A/420); United Nations: New York, NY, USA, 2019. [Google Scholar]
- Ma, R.; Geng, C.; Yu, Z.; Chen, J.; Luo, X. Modeling city-scale building energy dynamics through inter-connected distributed adjacency blocks. Energy Build. 2019, 202, 109391. [Google Scholar] [CrossRef]
- Davila, C.C.; Reinhart, C.F.; Bemis, J.L. Modeling Boston: A workflow for the efficient generation and maintenance of urban building energy models from existing geospatial datasets. Energy 2016, 117, 237–250. [Google Scholar] [CrossRef]
- Boston, G. Climate Action Plan Update; The City of Boston: Boston, MA, USA, 2014. [Google Scholar]
- City of New York. One City Built to Last—Transforming New York City Buildings for a Low-Carbon Future; City of New York: New York, NY, USA, 2014. [Google Scholar]
- Ei, D.; Usdoe, E.I.A. Annual Energy Outlook 2009 with Projections to 2030; Government Printing Office: Washington, DC, USA, 2009. [Google Scholar]
- Parshall, L.; Gurney, K.; Hammer, S.A.; Mendoza, D.; Zhou, Y.; Geethakumar, S. Modeling energy consumption and CO2 emissions at the urban scale: Methodological challenges and insights from the United States. Energy Policy 2010, 38, 4765–4782. [Google Scholar] [CrossRef]
- IEEJ. IEEJ Outlook 2018; The Institute of Energy Economics: Tokyo, Japan, 2018; pp. 1–116. Available online: https://www.ief.org/_resources/files/events/ief-lecture---ieej-energy-outlook-2018--prospects/ieej-outlook-2018-executive-summary.pdf (accessed on 10 August 2019).
- Zhou, Y.; Clarke, L.; Eom, J.; Kyle, P.; Patel, P.; Kim, S.H.; Dirks, J.; Jensen, E.; Liu, Y.; Rice, J.; et al. Modeling the effect of climate change on U.S. state-level buildings energy demands in an integrated assessment framework. Appl. Energy 2014, 113, 1077–1088. [Google Scholar] [CrossRef]
- Li, W.; Zhou, Y.; Cetin, K.; Eom, J.; Wang, Y.; Chen, G.; Zhang, X. Modeling urban building energy use: A review of modeling approaches and procedures. Energy 2017, 141, 2445–2457. [Google Scholar] [CrossRef]
- Li, W.; Zhou, Y.; Cetin, K.S.; Yu, S.; Wang, Y.; Liang, B. Developing a landscape of urban building energy use with improved spatiotemporal representations in a cool-humid climate. Build. Environ. 2018, 136, 107–117. [Google Scholar] [CrossRef]
- Zhou, Y.; Eom, J.; Clarke, L. The effect of global climate change, population distribution, and climate mitigation on building energy use in the U.S. and China. Clim. Chang. 2013, 119, 979–992. [Google Scholar] [CrossRef]
- Yu, S.; Eom, J.; Zhou, Y.; Evans, M.; Clarke, L. Scenarios of building energy demand for China with a detailed regional representation. Energy 2014, 67, 284–297. [Google Scholar] [CrossRef]
- Chen, Y.; Hong, T.; Piette, M.A. Automatic generation and simulation of urban building energy models based on city datasets for city-scale building retrofit analysis. Appl. Energy 2017, 205, 323–335. [Google Scholar] [CrossRef]
- Reinhart, C.F.; Cerezo Davila, C. Urban building energy modeling—A review of a nascent field. Build. Environ. 2016, 97, 196–202. [Google Scholar] [CrossRef]
- Ching, F.D.; Winkel, S.R. Building Codes Illustrated: A Guide to Understanding the 2018 International Building Code; John Wiley & Sons: Hoboken, NJ, USA, 2018. [Google Scholar]
- Swan, L.G.; Ugursal, V.I. Modeling of end-use energy consumption in the residential sector: A review of modeling techniques. Renew. Sustain. Energy Rev. 2009, 13, 1819–1835. [Google Scholar] [CrossRef]
- Howard, B.; Parshall, L.; Thompson, J.; Hammer, S.; Dickinson, J.; Modi, V. Spatial distribution of urban building energy consumption by end use. Energy Build. 2012, 45, 141–151. [Google Scholar] [CrossRef]
- Kavgic, M.; Mavrogianni, A.; Mumovic, D.; Summerfield, A.; Stevanovic, Z.; Djurovic-Petrovic, M. A review of bottom-up building stock models for energy consumption in the residential sector. Build. Environ. 2010, 45, 1683–1697. [Google Scholar] [CrossRef]
- Hirst, E.; Lin, W.; Cope, J. A residential energy use model senstive to demographic, economic, and technological factors. Q. Rev. Econ. Financ. 1977, 17, 7–22. [Google Scholar]
- Zhang, Q. Residential energy consumption in China and its comparison with Japan, Canada, and USA. Energy Build. 2004, 36, 1217–1225. [Google Scholar] [CrossRef]
- Öztürk, H.K.; Canyurt, O.E.; Hepbasli, A.; Utlu, Z. Residential-commercial energy input estimation based on genetic algorithm (GA) approaches: An application of Turkey. Energy Build. 2004, 36, 175–183. [Google Scholar] [CrossRef]
- Canyurt, O.E.; Öztürk, H.K.; Hepbasli, A.; Utlu, Z. Estimating the Turkish residential–commercial energy output based on genetic algorithm (GA) approaches. Energy Policy 2005, 33, 1011–1019. [Google Scholar] [CrossRef]
- Li, X.; Zhou, Y.; Sha, Y.; Jia, G.; Li, H.; Li, W. Urban heat island impacts on building energy consumption: A review of approaches and findings. Energy 2019, 174, 407–419. [Google Scholar] [CrossRef]
- Hirst, E.; Goeltz, R.; White, D. Determination of household energy using ’finger-prints’ from energy billing data. Energy Res. 1986, 10, 393–405. [Google Scholar] [CrossRef]
- Fung, A.S.; Aydinalp, M.; Ugursal, V.I. Econometric Models for Major Residential Energy End-Uses; CREEDAC-1999-04-05 Report; Dalhousie University: Halifax, NS, Canada, 1999. [Google Scholar]
- Parti, M.; Parti, C. The total and appliance-specific conditional demand for electricity in the household sector. Bell J. Econ. 1980, 11, 309. [Google Scholar] [CrossRef]
- Aydinalp, M.; Ugursal, V.I.; Fung, A.S. Modeling of the appliance, lighting, and space-cooling energy consumptions in the residential sector using neural networks. Appl. Energy 2002, 71, 87–110. [Google Scholar] [CrossRef]
- Aydinalp, M.; Ugursal, V.I.; Fung, A.S. Effects of socioeconomic factors on household appliance, lighting, and space cooling electricity consumption. Int. J. Glob. Energy Issues 2003, 20, 302. [Google Scholar] [CrossRef]
- Robinson, D.; Haldi, F.; Kämpf, J.H.; Leroux, P.; Perez, D.; Rasheed, A.; Wilke, U. CitySim: Comprehensive micro-simulation of resource flows for sustainable urban planning. In Proceedings of the Eleventh International IBPSA Conference, Glasgow, UK, 27–30 July 2009. [Google Scholar]
- Reinhart, C.; Dogan, T.; Jakubiec, J.A.; Rakha, T.; Sang, A. Umi-an urban simulation environment for building energy use, daylighting and walkability. In Proceedings of the 13th Conference of International Building Performance Simulation Association, Chambery, France, 25–28 August 2013; Available online: https://www.aivc.org/sites/default/files/p_1404.pdf (accessed on 10 August 2019).
- Reinhart, C.; Nagpal, S.; Davila, C.C. Chicago Energy Bazar. 2017. Available online: http://web.mit.edu/sustainabledesignlab/projects/UBEM_Chicago/index.html (accessed on 10 August 2019).
- Reinhart, C.; Monteiro, C.S.; Davila, C.C.; Arsano, A.; Turan, I.; Benis, K. UBEM Lisbon—A New Look at Old Buildings; Workshop Held in Lisbon on March 21 2018. Available online: http://web.mit.edu/sustainabledesignlab/projects/UBEM_Lisbon/Lisbon_ANewLookAtOldBuildings.pdf (accessed on 10 August 2019).
- De Wolf, C.; Cerezo, C.; Murtadhawi, Z.; Hajiah, A.; Al Mumin, A.; Ochsendorf, J.; Reinhart, C. Life cycle building impact of a Middle Eastern residential neighborhood. Energy 2017, 134, 336–348. [Google Scholar] [CrossRef]
- Sokol, J.; Davila, C.C.; Reinhart, C.F. Validation of a Bayesian-based method for defining residential archetypes in urban building energy models. Energy Build. 2017, 134, 11–24. [Google Scholar] [CrossRef]
- Rose, C.M.; Saratsis, E.; Aldawood, S.; Dogan, T.; Reinhart, C.F. A Tangible Interface for Collaborative Urban Design for Energy Efficiency, Daylighting, and Walkability. In Proceedings of the 14th Conference of International Building Performance Simulation Association, Hyderabad, India, 7–9 December 2015. [Google Scholar]
- Scofield, J.H. Efficacy of LEED-certification in reducing energy consumption and greenhouse gas emission for large New York City office buildings. Energy Build. 2013, 67, 517–524. [Google Scholar] [CrossRef]
- Ma, J.; Cheng, J.C. Estimation of the building energy use intensity in the urban scale by integrating GIS and big data technology. Appl. Energy 2016, 183, 182–192. [Google Scholar] [CrossRef]
- Olivo, Y.; Hamidi, A.; Ramamurthy, P. Spatiotemporal variability in building energy use in New York City. Energy 2017, 141, 1393–1401. [Google Scholar] [CrossRef]
- Chan, A. Developing a modified typical meteorological year weather file for Hong Kong taking into account the urban heat island effect. Build. Environ. 2011, 46, 2434–2441. [Google Scholar] [CrossRef]
- Bueno, B.; Norford, L.; Hidalgo, J.; Pigeon, G. The urban weather generator. J. Build. Perform. Simul. 2013, 6, 269–281. [Google Scholar] [CrossRef]
- White Box Technologies. Weather Data for Energy Calculations. 2019. Available online: http://weather.whiteboxtechnologies.com/ (accessed on 1 August 2019).
- US EIA. Residential Energy Consumption Survey (RECS). 2015. Available online: https://www.eia.gov/consumption/residential/ (accessed on 11 September 2018).
- US EIA. Commercial Building Energy Consumption Survey (CBECS). 2012. Available online: https://www.eia.gov/consumption/commercial/ (accessed on 11 September 2018).
- DOE. Residential Prototype Building Models. 2019. Available online: https://www.energycodes.gov/development/residential/iecc_models (accessed on 10 August 2019).
- DOE. Commercial Reference Buildings. 2019. Available online: https://www.energy.gov/eere/buildings/commercial-reference-buildings (accessed on 1 August 2019).
- National Renewable Energy Laboratory. U.S. Department of Energy Commericial Reference Building Models of the National Building Stock. Teachnic Report. Available online: https://www.nrel.gov/docs/fy11osti/46861.pdf (accessed on 10 August 2019).
- The Engineering Toolbox. Available online: https://www.engineeringtoolbox.com/indoor-design-temperatures-d_109.html (accessed on 10 August 2019).
- School Calendar from the Department of Education in the City of New York. Available online: https://www.schools.nyc.gov/calendar?school_years=1%7C2019-2020&mpp=12 (accessed on 10 August 2019).
- Building Enery Models from PNNL. Available online: https://www.energycodes.gov/development/commercial/prototype_models (accessed on 10 August 2019).
- IPCC. Climate Change 2014: Synthesis Report. Contribution of Working Groups I, II and III to the Fifth Assessment Report of the Intergovernmental Panel on Climate Change; Meyer, C.W., Ed.; IPCC: Geneva, Switzerland, 2014. [Google Scholar]
- Solecki, W.; Rosenzweig, C.; Dhakal, S.; Roberts, D.; Barau, A.S.; Schultz, S.; Ürge-Vorsatz, D. City transformations in a 1.5 °C warmer world. Nat. Clim. Chang. 2018, 8, 177–181. [Google Scholar] [CrossRef]
- Flörke, M.; Schneider, C.; McDonald, R.I. Water competition between cities and agriculture driven by climate change and urban growth. Nat. Sustain. 2018, 1, 51–58. [Google Scholar] [CrossRef]












| Program | Form | Fabric | Equipment |
|---|---|---|---|
| Ventilation requirements | Orientation | Roof | Lighting |
| Service hot water demand | Floor height | Floors | Efficiency |
| Operating schedules | Shading | Windows | HVAC system |
| Total floor area | Window location | Infiltration | Water heating |
| Occupancy | Number of floors | Wall | Control settings |
| Space Type | Occupancy | Space Type | Occupancy | ||
|---|---|---|---|---|---|
| per space | m2/person | per space | m2/person | ||
| Apartment | 3 | Supermarket | 11.6 | ||
| Fast food dinning | 1.4 | Hospital (ER) | 4.7 | ||
| Classrooms | 4 | Hospital (lab) | 18.6 | ||
| Corridor (school) | 10 | Hospital (ICU) | 4.7 | ||
| Hotel guest room | 1.5 | Warehouse | 0 | ||
| Lobby (hotel) | 3 | Office (school) | 20 | ||
| Office | 18.6 | Library | 4.4 | ||
| Restaurant | 1.4 | Restroom (school) | 100 | ||
| Sales | 6.2 | Reception areas | 3.1 | ||
| Storage | 28 | Lobby (office building) | 9.3 | ||
| Space Type | OA | Total OA | |
|---|---|---|---|
| L/s/person | L/s/m2 | L/s/m2 | |
| Apartment | |||
| Fast food dinning | 9.44 | 6.77 | |
| Classrooms | 7.08 | 1.77 | |
| Corridor (school) | 0.51 | 0.51 | |
| Hotel guest room (cfm/room) | 14.16 | ||
| Lobby (hotel) | 9.44 | 3.05 | |
| Office | 9.44 | 0.51 | |
| Restaurant | 9.44 | 6.77 | |
| Sales | 1.52 | 1.52 | |
| Storage | 0.76 | 0.76 | |
| Supermarket | 7.08 | 0.61 | |
| Hospital (ER) | |||
| Hospital (lab) | |||
| Hospital (ICU) | |||
| Warehouse | 0.25 | 0.25 | |
| Office (school) | |||
| Library | |||
| Restroom (school) | 23.6 | ||
| Reception areas | 7.08 | 2.29 | |
| Lobby (office building) | 9.44 | 1.02 | |
| General Information | Building Typology | Energy Use |
|---|---|---|
| Census region | Number of floors | Electricity used |
| Construction year | Main heating equipment | Natural gas used |
| Primary building activity | Main cooling equipment | Electricity used for cooling |
| Final full sample building weight | Water heating equipment | Gas used for heating |
| More specific building activity | Building footprint (area) |
| Season | Room Type | Temperature (°C) | Room Type | Temperature (°C) |
|---|---|---|---|---|
| Winter | Bathrooms | 22 | Lecture rooms | 20 |
| Bedrooms | 18 | Libraries | 20 | |
| Classrooms | 20 | Living rooms | 21 | |
| Corridors | 16 | Offices | 20 | |
| Dining rooms | 20 | Recreation rooms | 18 | |
| Exhibition halls | 18 | Restaurants | 18 | |
| Hotel rooms | 21 | Shops | 18 | |
| Laboratories | 20 | Stores | 15 | |
| Wards | 18 | Warehouses | 16 | |
| Summer | All rooms | 20–22 | ||
| Lighting | Electric Equipment | Gas Equipment |
|---|---|---|
| Dinning lights, kitchen lights | Dining room equipment | Kitchen cooking equipment |
| Lab lights, ER lights, office lights | Nurse station equipment | Water heating furnace |
| Corridor lights, apartment lights | Kitchen room equipment | Heating (HVAC) equipment |
| Bathroom lights, auditorium lights | Auditorium equipment | Laundry equipment |
| Cafeteria lights, gym lights | Cafeteria equipment | |
| Library lights, classroom lights | Library equipment | |
| Guest room lights, employee lounge lights | Employee lounge equipment | |
| Admin office lights | Meeting room equipment | |
| Restroom lights, deli lights | Guest room equipment | |
| Produce lights | Laundry room equipment | |
| sales lights | Refrigerator (residential) | |
| storage room lights | Microwave (residential) |
© 2020 by the author. Licensee MDPI, Basel, Switzerland. This article is an open access article distributed under the terms and conditions of the Creative Commons Attribution (CC BY) license (http://creativecommons.org/licenses/by/4.0/).
Share and Cite
Li, W. Quantifying the Building Energy Dynamics of Manhattan, New York City, Using an Urban Building Energy Model and Localized Weather Data. Energies 2020, 13, 3244. https://doi.org/10.3390/en13123244
Li W. Quantifying the Building Energy Dynamics of Manhattan, New York City, Using an Urban Building Energy Model and Localized Weather Data. Energies. 2020; 13(12):3244. https://doi.org/10.3390/en13123244
Chicago/Turabian StyleLi, Wenliang. 2020. "Quantifying the Building Energy Dynamics of Manhattan, New York City, Using an Urban Building Energy Model and Localized Weather Data" Energies 13, no. 12: 3244. https://doi.org/10.3390/en13123244
APA StyleLi, W. (2020). Quantifying the Building Energy Dynamics of Manhattan, New York City, Using an Urban Building Energy Model and Localized Weather Data. Energies, 13(12), 3244. https://doi.org/10.3390/en13123244
