Heating Performance Analysis for Short-Term Energy Monitoring and Prediction Using Multi-Family Residential Energy Consumption Data
Abstract
1. Introduction
2. Literature Review
3. Methods
3.1. Case Study Apartment and Weather Data
3.2. Analysis for the Heating Performance
3.3. Comparison between Short-Term Heating and Cooling Monitoring Performance
4. Results
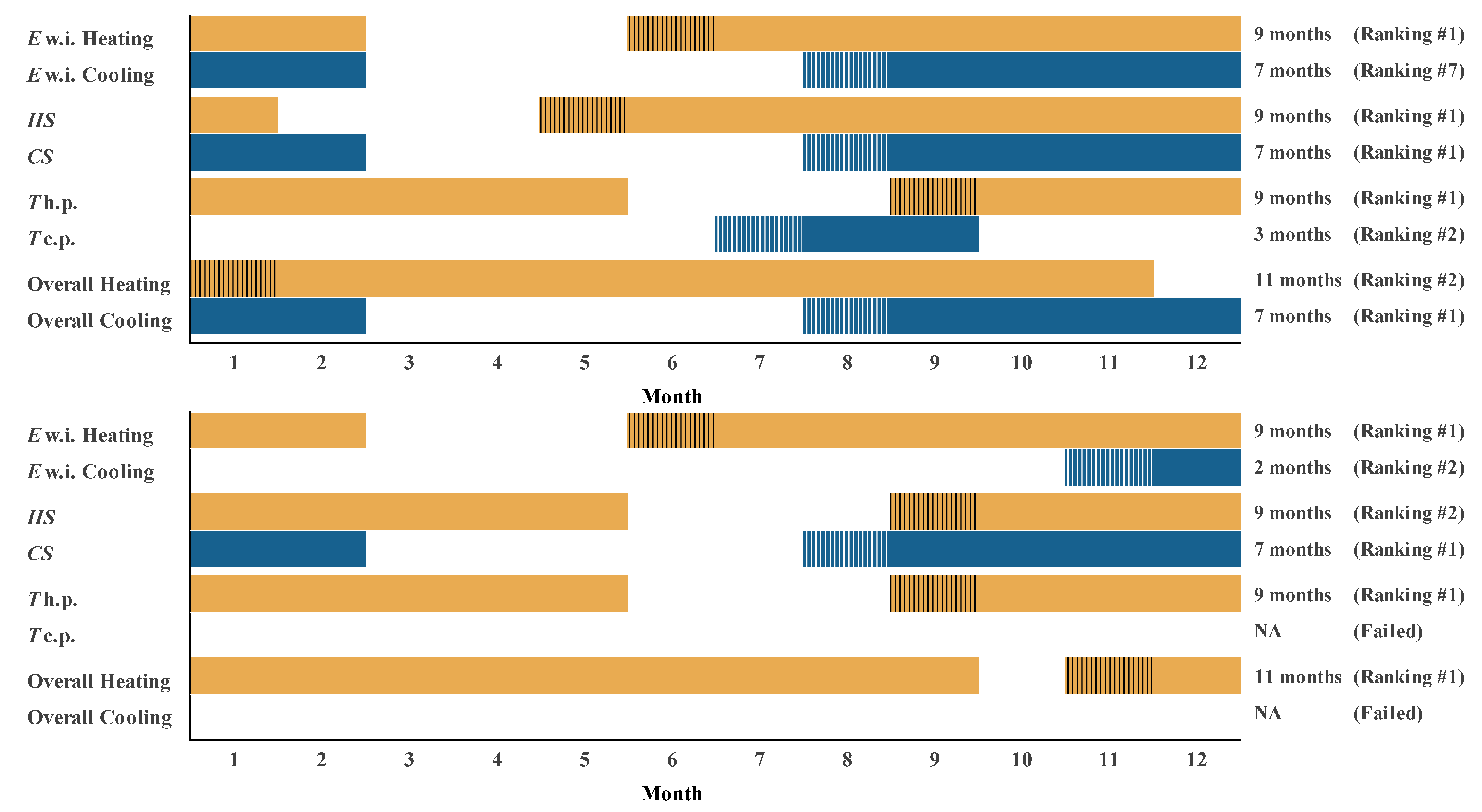
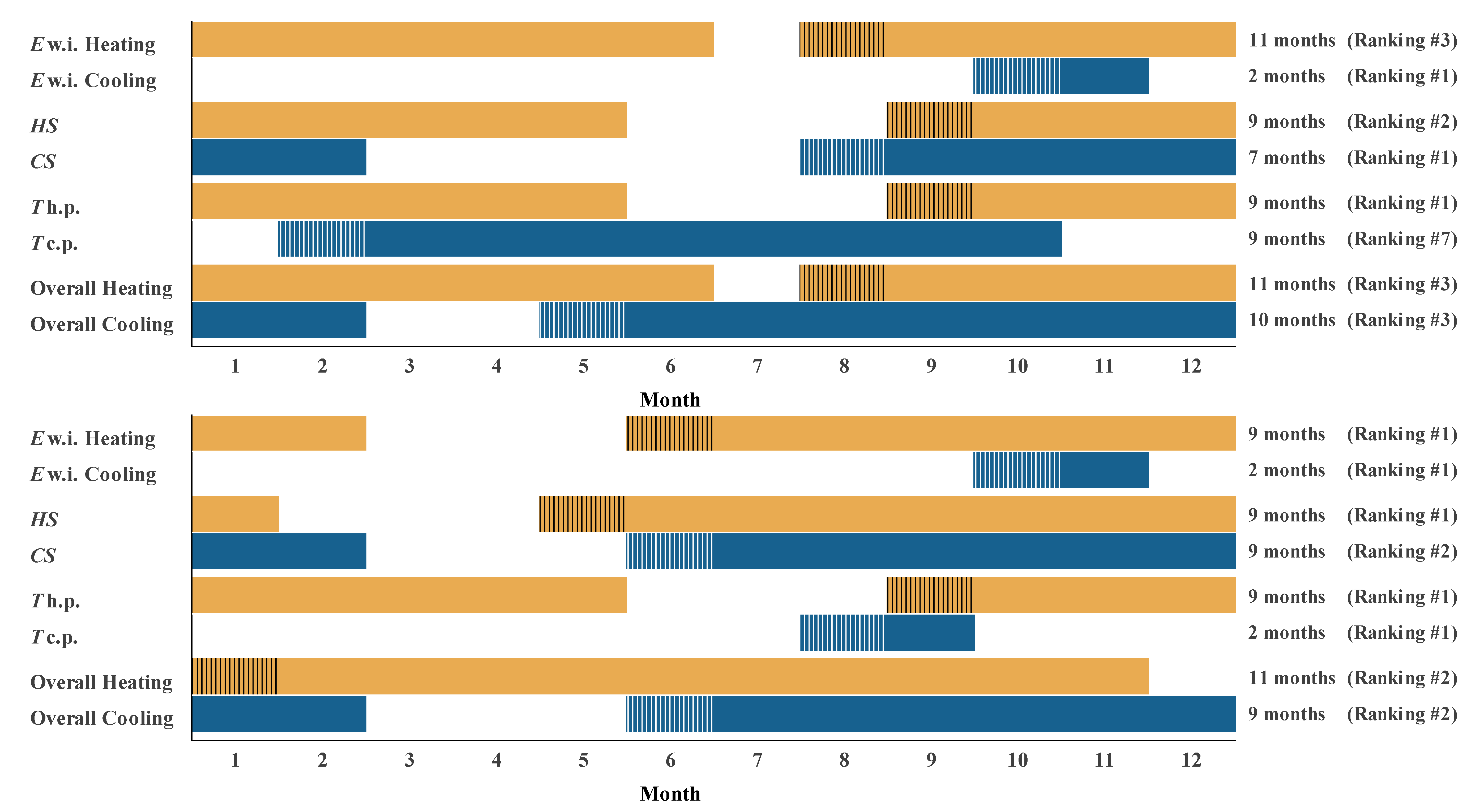
4.1. Short-Term Monitoring Analysis and Annual Prediction
4.1.1. Non-Weather-Related Heating Load
4.1.2. Heating Slope
4.1.3. Heating Change-Point Temperature
4.1.4. Overall Coefficient Rank Analysis and Annual Prediction
4.1.5. Verification and Annual Prediction
4.2. Comparison between Short-Term Heating and Cooling Energy Monitoring Performance
5. Discussion
6. Conclusions
Author Contributions
Funding
Conflicts of Interest
References
- The Ministry of Trade Industry and Energy. National Energy Basic Plan of 2019; The Ministry of Trade Industry and Energy: Sejong, Korea, 2019.
- Martins, J.F.; Pronto, A.G.; Delgado-Gomes, V.; Sanduleac, M. Chapter 4—Smart Meters and Advanced Metering Infrastructure. In Pathways to a Smarter Power System; Taşcıkaraoğlu, A., Erdinç, O., Eds.; Academic Press: Cambridge, MA, USA, 2019; pp. 89–114. ISBN 978-0-08-102592-5. [Google Scholar]
- Cebe, M.; Akkaya, K. Efficient certificate revocation management schemes for IoT-based advanced metering infrastructures in smart cities. Ad Hoc Netw. 2019, 92, 101801. [Google Scholar] [CrossRef]
- Bohli, J.M.; Sorge, C.; Ugus, O. A privacy model for smart metering. In Proceedings of the 2010 IEEE International Conference on Communications Workshops, Capetown, South Africa, 23–27 May 2010; pp. 1–5. [Google Scholar]
- Molina-Markham, A.; Shenoy, P.; Fu, K.; Cecchet, E.; Irwin, D. Private memoirs of a smart meter. In Proceedings of the BuildSys’10—Proceedings of the 2nd ACM Workshop on Embedded Sensing Systems for Energy-Efficiency in Buildings; ACM: Zurich, Switzerland, 2010; pp. 61–66. [Google Scholar]
- Oh, S.; Haberl, J.S.; Baltazar, J.-C. Analysis methods for characterizing energy saving opportunities from home automation devices using smart meter data. Energy Build. 2020, 216, 109955. [Google Scholar] [CrossRef]
- Mack, P. Chapter 35 - Big Data, Data Mining, and Predictive Analytics and High Performance Computing. In Renewable Energy Integration; Jones, L.E., Ed.; Academic Press: Boston, MA, USA, 2014; pp. 439–454. ISBN 978-0-12-407910-6. [Google Scholar]
- ASHRAE. Chapter 19—Energy estimating and modeling methods. In ASHRAE Handbook—Fundamentals; ASHRAE: Atlanta, GA, USA, 2017. [Google Scholar]
- Kissock, K.; Haberl, J.S.; Claridge, D.E. Inverse Modeling Toolkit: User’s Guide (ASHRAE Final Report for RP-1050); ASHRAE: Atlanta, GA, USA, 2001. [Google Scholar]
- Haberl, J.S.; Sreshthaputra, A.; Claridge, D.E.; Kissock, J.K. Inverse Model Toolkit: Application and testing (RP-1050). ASHRAE Trans. 2003, 109, 435–448. [Google Scholar]
- Pham, A.-D.; Ngo, N.-T.; Ha Truong, T.T.; Huynh, N.-T.; Truong, N.-S. Predicting energy consumption in multiple buildings using machine learning for improving energy efficiency and sustainability. J. Clean. Prod. 2020, 260, 121082. [Google Scholar] [CrossRef]
- Fan, C.; Xiao, F.; Yan, C.; Liu, C.; Li, Z.; Wang, J. A novel methodology to explain and evaluate data-driven building energy performance models based on interpretable machine learning. Appl. Energy 2019, 235, 1551–1560. [Google Scholar] [CrossRef]
- US DOE Home Energy Audits. Available online: https://www.energy.gov/energysaver/weatherize/home-energy-audits (accessed on 3 April 2020).
- Gunay, B.; Shen, W.; Newsham, G.; Ashouri, A. Detection and interpretation of anomalies in building energy use through inverse modeling. Sci. Technol. Built Environ. 2019, 25, 488–503. [Google Scholar] [CrossRef]
- Perez, K.X.; Cetin, K.; Baldea, M.; Edgar, T.F. Development and analysis of residential change-point models from smart meter data. Energy Build. 2017, 139, 351–359. [Google Scholar] [CrossRef]
- Kim, K.H.; Haberl, J.S. Development of a home energy audit methodology for determining energy-efficient, cost-effective measures in existing single-family houses using an easy-to-use simulation. Build. Simul. 2015, 8, 515–528. [Google Scholar] [CrossRef]
- Do, H.; Cetin, K.S. Evaluation of the causes and impact of outliers on residential building energy use prediction using inverse modeling. Build. Environ. 2018, 138, 194–206. [Google Scholar] [CrossRef]
- Ali, M.T.; Mokhtar, M.; Chiesa, M.; Armstrong, P. A cooling change-point model of community-aggregate electrical load. Energy Build. 2011, 43, 28–37. [Google Scholar] [CrossRef]
- Zhang, Y.; O’Neill, Z.; Dong, B.; Augenbroe, G. Comparisons of inverse modeling approaches for predicting building energy performance. Build. Environ. 2015, 86, 177–190. [Google Scholar] [CrossRef]
- Wang, J.; Gao, Y.; Chen, X. A Novel Hybrid Interval Prediction Approach Based on Modified Lower Upper Bound Estimation in Combination with Multi-Objective Salp Swarm Algorithm for Short-Term Load Forecasting. Energies 2018, 11, 1561. [Google Scholar] [CrossRef]
- Noussan, M.; Nastasi, B. Data Analysis of Heating Systems for Buildings—A Tool for Energy Planning, Policies and Systems Simulation. Energies 2018, 11, 233. [Google Scholar] [CrossRef]
- Nugraha, G.D.; Musa, A.; Cho, J.; Park, K.; Choi, D. Lambda-Based Data Processing Architecture for Two-Level Load Forecasting in Residential Buildings. Energies 2018, 11, 772. [Google Scholar] [CrossRef]
- Abushakra, B.; Paulus, M.T. An hourly hybrid multi-variate change-point inverse model using short-term monitored data for annual prediction of building energy performance, part I: Background (1404-RP). Sci. Technol. Built Environ. 2016, 22, 976–983. [Google Scholar] [CrossRef]
- Singh, V.; Reddy, T.A.; Abushakra, B. Predicting annual energy use in buildings using short-term monitoring: The dry-bulb temperature analysis (DBTA) method. ASHRAE Trans. 2014, 120, 397–405. [Google Scholar]
- Oh, S.; Kim, K.H. Change-point modeling analysis for multi-residential buildings: A case study in South Korea. Energy Build. 2020, 214, 109901. [Google Scholar] [CrossRef]
- Korean Meteorological Administration Korean Meteorological Data Portal. Available online: https://data.kma.go.kr (accessed on 19 March 2020).
- Lee, K.; Baek, H.-J.; Cho, C. The estimation of base temperature for heating and cooling degree-days for South Korea. J. Appl. Meteorol. Climatol. 2014, 53, 300–309. [Google Scholar] [CrossRef]
- Kissock, J.K.; Haberl, J.S.; Claridge, D.E. Inverse Modeling Toolkit: Numerical algorithms (RP-1050). ASHRAE Trans. 2003, 109, 425–434. [Google Scholar]
- Prahl, D.; Beach, R. Analysis of Pre-Retrofit Building and Utility Data; National Renewable Energy Lab (NREL): Golden, CO, USA, 2014.
- ASHRAE. ASHRAE Guideline 14-2014; ASHRAE: Atlanta, GA, USA, 2014. [Google Scholar]
- Kim, K.H.; Haberl, J.S. Development of methodology for calibrated simulation in single-family residential buildings using three-parameter change-point regression model. Energy Build. 2015, 99, 140–152. [Google Scholar] [CrossRef]
- Sever, F.; Kissock, K.; Brown, D.; Mulqueen, S. Estimating industrial building energy savings using inverse simulation. ASHRAE Trans. 2011, 117, 348–355. [Google Scholar]











| Construction Year | Insulation R-Value (m2-K/W) | Conditioned Floor Area (m2)/Unit | Occupancy/ Building System Type | # of Excluded Homes | Annual Average Natural Gas Use (kW h) of 49 Homes |
|---|---|---|---|---|---|
| 2009 | 2.13 (Exterior wall) 0.33 (Exterior window) 2.86 (Interior wall) 1.23 (Interior floor) | 142 | Various | 1 | 5070 |
| Interval Type | R2≥ | CV-RMSE (%) ≤ |
|---|---|---|
| Daily | 0.25 | 50 |
| Weekly | 0.475 | 40 |
| Monthly | 0.70 | 30 |
| Interval Type | NMBE (%) ≤ | CV-RMSE (%) ≤ |
|---|---|---|
| Hourly | ±10 | Not Applicable (NA) for this paper |
| Daily | ±8.33 | 50 |
| Weekly | ±6.67 | 40 |
| Monthly | ±5 | 30 |
| Starting Month | Ending Month | Period (Consecutive Months) | Average Difference (%) | Ranking |
|---|---|---|---|---|
| January | June, August, or November | 6, 8, or 11 months | −17.6, −60.4, or 17.6 | 6 |
| February | June, September, or December | 5, 8, or 11 months | −23.6, −3.3, or 49.5 | 4 |
| March | June or February | 4 or 12 months | −45.1 or Not Applicable (NA) | 10 |
| April | August, November, or February | 5, 8, or 11 months | −83.5, −51.6, or −16.5 | 5 |
| May | September or February | 5 or 10 months | −50.0 or −41.2 | 2 |
| June | October or February | 5 or 9 months | −70.9 or −35.2 | 1 |
| July | October, April, or December | 4, 10, or 12 months | −72.5, −63.7, or NA | 9 |
| August | October, April, or June | 3, 9, or 11 months | −62.4, −40.7, or 20.9 | 3 |
| September | October, June, or August | 2, 10, or 12 months | −1.1, 18.7, or NA | 8 |
| October | September | 12 months | NA | 12 |
| November | June or September | 8 or 11 months | −36.3 or −3.3 | 7 |
| December | July or December | 8 or 12 months | −16.5 or NA | 11 |
| Starting Month | Ending Month | Period (Consecutive Months) | Average Difference (%) | Ranking |
|---|---|---|---|---|
| January | November | 11 months | −1.17 | 8 |
| February | January | 12 months | Not Applicable (NA) | 9 |
| March | January | 11 months | 0.82 | 7 |
| April | January | 10 months | −0.41 | 3 |
| May | January | 9 months | 0.82 | 1 |
| June | May | 12 months | NA | 9 |
| July | June | 12 months | NA | 9 |
| August | June | 11 months | −0.12 | 5 |
| September | May | 9 months | −1.02 | 2 |
| October | September | 12 months | NA | 9 |
| November | September | 11 months | −0.23 | 6 |
| December | September | 10 months | −1.76 | 4 |
| Starting Month | Ending Month | Period (Consecutive Months) | Average Difference (%) | Ranking |
|---|---|---|---|---|
| January | September | 9 months | 0.00 | 2 |
| February | January | 12 months | Not Applicable (NA) | 8 |
| March | January | 11 months | 0.00 | 5 |
| April | January | 10 months | 0.00 | 4 |
| May | April | 12 months | NA | 8 |
| June | May | 12 months | NA | 8 |
| July | June | 12 months | NA | 8 |
| August | June | 11 months | 0.00 | 5 |
| September | December or May | 4 or 9 months | −1.55 or 1.07 | 1 |
| October | September | 12 months | NA | 8 |
| November | September | 11 months | 0.00 | 5 |
| December | July or September | 8 or 10 months | 1.97 or 0.00 | 3 |
| Start Month | End Month | Period | Overall Average Difference (%) | Ranking |
|---|---|---|---|---|
| January | November | 11 months | 5.47 | 2 |
| February | January | 12 months | Not Applicable (NA) | 5 |
| March | February | 12 months | NA | 5 |
| April | February | 12 months | NA | 5 |
| May | April | 12 months | NA | 5 |
| June | May | 12 months | NA | 5 |
| July | June | 12 months | NA | 5 |
| August | June | 11 months | 6.92 | 3 |
| September | June or August (except July) | 10 or 12 months | 6.19 or NA | 4 |
| October | September | 12 months | NA | 5 |
| November | September | 11 months | −1.18 | 1 |
| December | November | 12 months | NA | 5 |
| Category | Coefficient | Ranking from #602 | Applied Starting Month | Applied Ending Month | Applied Period | #301 Difference (%) | #304 Difference (%) | #503 Difference (%) | #601 Difference (%) |
|---|---|---|---|---|---|---|---|---|---|
| Individual | 1 | June | February | 9 months | −16.4 | −67.3 | −111.5 | −26.7 | |
| 2 | May | February | 10 months | −149.2 | |||||
| 3 | August | June | 11 months | 16.4 | |||||
| 1 | May | January | 9 months | 1.6 | 3.5 | 5.8 | 1.7 | ||
| 2 | September | May | 9 months | −1.2 | −0.8 | ||||
| 1 | September | May | 9 months | 0.4 | −0.4 | 0.4 | 1.7 | ||
| Overall | 1 | November | September | 11 months | 46.2 | −6.7 | −80.5 | −5.8 | |
| 13.3 | 0.1 | 4.6 | −3.1 | ||||||
| −12.2 | 0.0 | −4.1 | 3.4 | ||||||
| 2 | January | November | 11 months | 3.5 | −107.1 | −40.0 | |||
| −1.5 | −8.7 | 1.2 | |||||||
| 0.0 | 4.1 | 0.0 | |||||||
| 3 | August | June | 11 months | 16.4 | |||||
| −0.1 | |||||||||
| 0.0 |
| Residence | Category | Applied Starting Month | Applied Ending Month | Difference (%) | R2 | CV-RMSE (%) | NMBE (%) | Monitored Annual Natural Gas (NG) Use (kW h) | Predicted Annual NG Use (kW h) | Annual Difference (%) | ||
|---|---|---|---|---|---|---|---|---|---|---|---|---|
| #602 | Baseline | January | December | Not Appli-cable (NA) | NA | NA | 0.89 | 31.7 | 0.6 | 3541.5 | 3468.2 | −2.1 |
| Best period (Ranking #1) | November | September | −3.3 | −0.2 | 0.0 | 0.89 | 31.8 | 0.9 | 3541.5 | 3458.6 | −2.3 | |
| #301 | Baseline | January | December | NA | NA | NA | 0.92 | 32.6 | 0.2 | 6833.9 | 6873.5 | 0.6 |
| Best period (Ranking #2) | January | November | 3.5 | −1.5 | 0 | 0.92 | 32.7 | 1.7 | 6833.9 | 6775.3 | −0.9 | |
| #304 | Baseline | January | December | NA | NA | NA | 0.95 | 22.7 | −0.2 | 6006.7 | 5988.7 | −0.3 |
| Best period (Ranking #1) | November | September | −6.7 | 0.1 | 0 | 0.95 | 22.8 | −0.1 | 6006.7 | 5982.6 | −0.4 | |
| #503 | Baseline | January | December | NA | NA | NA | 0.92 | 32.9 | −0.1 | 6859.5 | 6914.9 | 0.8 |
| Best period (Ranking #3) | August | June | 16.4 | −0.1 | 0 | 0.92 | 32.8 | −0.3 | 6859.5 | 6925.8 | 1.0 | |
| #601 | Baseline | January | December | NA | NA | NA | 0.93 | 26.1 | −0.2 | 4496.3 | 4553.5 | 1.3 |
| Best period (Ranking #2) | January | November | −40 | 1.2 | 0 | 0.93 | 26.4 | −1.1 | 4496.3 | 4590.8 | 2.1 | |
© 2020 by the authors. Licensee MDPI, Basel, Switzerland. This article is an open access article distributed under the terms and conditions of the Creative Commons Attribution (CC BY) license (http://creativecommons.org/licenses/by/4.0/).
Share and Cite
Oh, S.; Kim, C.; Heo, J.; Do, S.L.; Kim, K.H. Heating Performance Analysis for Short-Term Energy Monitoring and Prediction Using Multi-Family Residential Energy Consumption Data. Energies 2020, 13, 3189. https://doi.org/10.3390/en13123189
Oh S, Kim C, Heo J, Do SL, Kim KH. Heating Performance Analysis for Short-Term Energy Monitoring and Prediction Using Multi-Family Residential Energy Consumption Data. Energies. 2020; 13(12):3189. https://doi.org/10.3390/en13123189
Chicago/Turabian StyleOh, Sukjoon, Chul Kim, Joonghyeok Heo, Sung Lok Do, and Kee Han Kim. 2020. "Heating Performance Analysis for Short-Term Energy Monitoring and Prediction Using Multi-Family Residential Energy Consumption Data" Energies 13, no. 12: 3189. https://doi.org/10.3390/en13123189
APA StyleOh, S., Kim, C., Heo, J., Do, S. L., & Kim, K. H. (2020). Heating Performance Analysis for Short-Term Energy Monitoring and Prediction Using Multi-Family Residential Energy Consumption Data. Energies, 13(12), 3189. https://doi.org/10.3390/en13123189

