Experimental Investigation on a Vapor Injection Heat Pump System with a Single-Stage Compressor
Abstract
1. Introduction
2. Experimental Apparatus and Test Procedure
2.1. Experimental Setup
2.1.1. Description of the Experimental Setup
2.1.2. Instrumentation and Measurement
2.2. Test Procedure
3. Results and Discussion
3.1. Performance of Conventional Heat Pump without Vapor Injection
3.1.1. The Heating COPavg and the Heating Capacity Qc,avg Variations with the Compressor Frequency and Primary Temperature of the Conventional Heat Pump
3.1.2. The Compressor Discharge Temperature and the Compression Ratio Variations with the Compressor Frequency and Primary Temperature in the Conventional Heat Pump
3.2. Performance of the Developed Vapor Injection Heat Pump
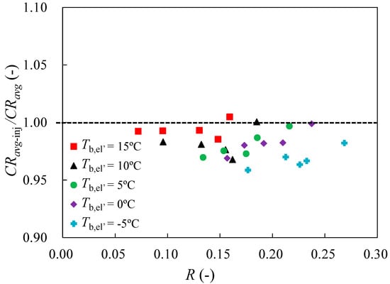
3.2.1. The Effects of Vapor Injection on the Heating COPavg and the Heating Capacity Qc,avg
3.2.2. The Effects of Vapor Injection on the Discharge Temperature, the Compression Ratio of Compressor and Refrigerant Mass Flow Rate
4. Conclusions
- (1)
- The vapor injection heat pump cycle can slightly increase the heat pump system’s heating capacity Qc and heating COP by 1.5–4% when the injection ratio R falls within the range 0.16–0.17.
- (2)
- The mass flow rate of the refrigerant can be increased in the vapor injection heat pump cycle due to a decreased specific volume of the suction refrigerant.
- (3)
- The power consumption of the vapor injection heat pump cycle almost keeps the same with that of the conventional heat pump cycle due to the increased refrigerant mass flow rate and the decreased compression ratio CR.
- (4)
- It is found that the developed vapor injection cycle in this study is preferable to decrease the compressor’s discharge temperature.
- (5)
- The lower injection pressure Pinj is likely to get a higher injection ratio R, which is effective to enhance the heating performance of the heat pump.
Author Contributions
Funding
Acknowledgments
Conflicts of Interest
Abbreviation
| COP | Coefficient of performance |
| FTVI | Flash tank vapor injection |
| IHXVI | Internal heat exchanger vapor injection |
Symbols
| CP | Specific heat capacity (kJ/(kg∙K)) |
| G | Volumetric flow rate (m3/s) |
| h | Specific enthalpy (J/kg) |
| Mass flow rate of refrigerant (kg/h) | |
| P | Pressure (kPa) |
| Q | Heat transfer (kW) |
| R | Injection ratio (-) |
| T | Temperature (K) |
| W | Compressor electric consumption (kW) |
| x | Quality (-) |
| ΔP | Pressure drop (kPa) |
| ρ | Density (kg/m3) |
| τ | Time (s) |
Subscripts
| avg | Average |
| b | Brine |
| c | Condenser |
| e | Evaporator |
| inj | Injection |
| r | Refrigerant |
| 1,2,3,3′,4,5,6,6′,1′ | Junction number |
References
- U.S. Energy Information Administration. International Energy Outlook 2019; U.S. Energy Information Administration: Washington, DC, USA, 2019.
- IEA Online Data Services. Available online: https://www.iea.org/reports/key-world-energy-statistics-2019 (accessed on 9 September 2019).
- Hundy, G.F.; Trott, A.R.; Welch, T.C. Chapter 25—Heat Pumps and Integrated Systems. In Refrigeration, Air Conditioning and Heat Pumps, 5th ed.; Hundy, G.F., Trott, A.R., Welch, T.C., Eds.; Butterworth-Heinemann: Oxford, UK, 2016; pp. 393–408. [Google Scholar]
- Neave, A. Heat pumps and their applications. In Plant Engineer’s Reference Book; Elsevier BV: Amsterdam, The Nederland, 2002; pp. 1–41. [Google Scholar]
- Blanco, D.L.; Nagano, K.; Morimoto, M. Impact of control schemes of a monovalent inverter-driven water-to-water heat pump with a desuperheater in continental and subtropical climates through simulation. Appl. Energy 2013, 109, 374–386. [Google Scholar] [CrossRef]
- Omer, A.M. Ground-source heat pumps systems and applications. Renew. Sustain. Energy Rev. 2008, 12, 344–371. [Google Scholar] [CrossRef]
- Zheng, N.; Wei, J. Performance analysis of a novel vapor injection cycle enhanced by cascade condenser for zeotropic mixtures. Appl. Therm. Eng. 2018, 139, 166–176. [Google Scholar] [CrossRef]
- Sun, J.; Zhu, D.; Yin, Y.; Li, X. Experimental investigation of the heating performance of refrigerant injection heat pump with a single-cylinder inverter-driven rotary compressor. J. Therm. Anal. Calorim. 2018, 133, 1579–1588. [Google Scholar] [CrossRef]
- Qi, H.; Liu, F.; Yu, J. Performance analysis of a novel hybrid vapor injection cycle with subcooler and flash tank for air-source heat pumps. Int. J. Refrig. 2017, 74, 540–549. [Google Scholar] [CrossRef]
- Lai, J.-C.; Luo, W.-J.; Wu, J.-Y. Performance analysis of single-stage air source heat pump utilizing indirect vapor injection design. Adv. Mech. Eng. 2018, 10, 1–12. [Google Scholar] [CrossRef]
- Xu, X.; Hwang, Y.; Radermacher, R. Performance comparison of R410A and R32 in vapor injection cycles. Int. J. Refrig. 2013, 36, 892–903. [Google Scholar] [CrossRef]
- Xu, X.; Hwang, Y.; Radermacher, R. Refrigerant injection for heat pumping/air conditioning systems: Literature review and challenges discussions. Int. J. Refrig. 2011, 34, 402–415. [Google Scholar] [CrossRef]
- Roh, C.W.; Kim, M.S. Comparison of the heating performance of an inverter-driven heat pump system using R410A vapor-injection into accumulator and compressor. Int. J. Refrig. 2012, 35, 434–444. [Google Scholar] [CrossRef]
- Cho, I.Y.; Seo, H.; Kim, N.; Kim, Y. Performance comparison between R410A and R32 multi-heat pumps with a sub-cooler vapor injection in the heating and cooling modes. Energy 2016, 112, 179–187. [Google Scholar] [CrossRef]
- Wang, X.; Hwang, Y.; Radermacher, R. Two-stage heat pump system with vapor-injected scroll compressor using R410A as a refrigerant. Int. J. Refrig. 2009, 32, 1442–1451. [Google Scholar] [CrossRef]
- Wang, X. Performance Investigation of Two-Stage Heat Pump System with Vapor-Injected Scroll Compressor. Doctorial Dissertation, University of Maryland, College Park, MD, USA, 2008. [Google Scholar]
- Wang, X.; Yu, J.; Xing, M. Performance analysis of a new ejector enhanced vapor injection heat pump cycle. Energy Convers. Manag. 2015, 100, 242–248. [Google Scholar] [CrossRef]
- Ma, G.-Y.; Chai, Q.-H. Characteristics of an improved heat-pump cycle for cold regions. Appl. Energy 2004, 77, 235–247. [Google Scholar] [CrossRef]
- Ma, G.-Y.; Zhao, H.-X. Experimental study of a heat pump system with flash-tank coupled with scroll compressor. Energy Build. 2008, 40, 697–701. [Google Scholar] [CrossRef]
- Heo, J.; Jeong, M.W.; Kim, Y. Effects of flash tank vapor injection on the heating performance of an inverter-driven heat pump for cold regions. Int. J. Refrig. 2010, 33, 848–855. [Google Scholar] [CrossRef]
- Yan, G.; Jia, Q.; Bai, T. Experimental investigation on vapor injection heat pump with a newly designed twin rotary variable speed compressor for cold regions. Int. J. Refrig. 2016, 62, 232–241. [Google Scholar] [CrossRef]
- Zhang, N.; Li, J.; Nan, J.; Wang, L. Thermal performance prediction and analysis on the economized vapor injection air-source heat pump in cold climate region of China. Sustain. Energy Technol. Assess. 2016, 18, 127–133. [Google Scholar] [CrossRef]
- Roh, C.W.; Kim, M.S. Effects of intermediate pressure on the heating performance of a heat pump system using R410A vapor-injection technique. Int. J. Refrig. 2011, 34, 1911–1921. [Google Scholar] [CrossRef]
- Heo, J.; Jeong, M.W.; Baek, C.; Kim, Y. Comparison of the heating performance of air-source heat pumps using various types of refrigerant injection. Int. J. Refrig. 2011, 34, 444–453. [Google Scholar] [CrossRef]
- Xu, S.; Niu, J.; Cui, Z.; Ma, G.; Shuxue, X.; Jianhui, N.; Zengyan, C.; Guoyuan, M. Experimental research on vapor-injected heat pump using injection subcooling. Appl. Therm. Eng. 2018, 136, 674–681. [Google Scholar] [CrossRef]
- Lee, D.; Seong, K.J.; Lee, J. Performance investigation of vapor and liquid injection on a refrigeration system operating at high compression ratio. Int. J. Refrig. 2015, 53, 115–125. [Google Scholar] [CrossRef]
- Blanco, D.L.; Nagano, K.; Morimoto, M. Experimental study on a monovalent inverter-driven water-to-water heat pump with a desuperheater for low energy houses. Appl. Therm. Eng. 2013, 50, 826–836. [Google Scholar] [CrossRef]




















| Component | Type | Manufacturer | Specification |
|---|---|---|---|
| Compressor | Rotary type, inverter drive | Toshiba,Tokyo, Japan | W < 2 kW, 900–7200 rpm, T < 200 °C |
| Condenser/evaporator | Brazed plate heat exchanger | Alfa Laval, Stockholm Sweden | P < 4.5 MPa, 528 × 112 × 106 a, Ac, Ae = 1.9 m2 |
| Expansion valve | Electronic, bi-flow | Saginomiya, Tokyo, Japan | 0 to 4.2 MPa, full opening: 5.5 mm, step controlled, 0–480 |
| Gas–liquid separator | Surface tension type | Nichirei Industries, Tochigi, Japan | Resin type |
| Component | Type | Properties |
|---|---|---|
| Temperature sensor | Pt100 | In-tube installation, −30 < T < 200 °C, ±0.03% |
| Pressure sensor | Digital pressure indicator | In-tube installation, 0< P < 4 MPa (0 < P < 1 MPa for low pressure side), ±1.0% full scale |
| Mass flow meter | Coriolis effect | Gr < 100 L/h, −40 °C < T < 127 °C, ±0.5% |
| Component | Type | Properties |
|---|---|---|
| Temperature | Pt100 | −30 °C < T < 200 °C, ±0.15 °C |
| Flow meter | Electromagnetic flow meter | Gr < 50 L/min, T < 120 °C, ±0.25% of span |
| Power meter | Digital power meter | 10 kW, ±0.1% of reading |
| Data logger | Digital measuring station | Sample rate = 125 ms, ±0.05% |
| Parameters | Values | ||||
|---|---|---|---|---|---|
| Outlet temperature of secondary fluid Tb,c2 (°C) | 35 | ||||
| Inlet temperature of primary fluid Tb,e1′ (°C) | −5 | 0 | 5 | 10 | 15 |
| Compressor frequency (Hz) | 30 | 50 | 60 | 75 | 90 |
© 2020 by the authors. Licensee MDPI, Basel, Switzerland. This article is an open access article distributed under the terms and conditions of the Creative Commons Attribution (CC BY) license (http://creativecommons.org/licenses/by/4.0/).
Share and Cite
Liu, H.; Nagano, K.; Katsura, T.; Han, Y. Experimental Investigation on a Vapor Injection Heat Pump System with a Single-Stage Compressor. Energies 2020, 13, 3133. https://doi.org/10.3390/en13123133
Liu H, Nagano K, Katsura T, Han Y. Experimental Investigation on a Vapor Injection Heat Pump System with a Single-Stage Compressor. Energies. 2020; 13(12):3133. https://doi.org/10.3390/en13123133
Chicago/Turabian StyleLiu, Hongzhi, Katsunori Nagano, Takao Katsura, and Yue Han. 2020. "Experimental Investigation on a Vapor Injection Heat Pump System with a Single-Stage Compressor" Energies 13, no. 12: 3133. https://doi.org/10.3390/en13123133
APA StyleLiu, H., Nagano, K., Katsura, T., & Han, Y. (2020). Experimental Investigation on a Vapor Injection Heat Pump System with a Single-Stage Compressor. Energies, 13(12), 3133. https://doi.org/10.3390/en13123133

