Abstract
This study investigates the influence of moisture content on the potential oxidation efficiency of methane (CH4) of biofiltration systems treating landfill gas containing high oxygen concentrations. Column tests filled with compost with different moisture contents (20%, 30%, and 40%) loaded with different methane flows were set up on a laboratory scale. Analyzing the results the following evidences can be summarized: With low methane load (<100 g CH4 m−2 d−1), a moisture content of 20% was not enough to support bacterial activity, while a moisture content of 40% advantaged the compost respiration assisting it to become the dominating process; with higher methane load (100–300 g CH4 m−2 d−1), a moisture content of 30% resulted in an optimal value to support methanotrophic activity showing the highest CH4 concentration reduction; moving on to a CH4 load above 300 g CH4 m−2 d−1, the inhibition of methanotrophic activity emerged independently to the moisture content of the filter media. The optimal configuration is obtained for a moisture content of 30% and in the case of flows below 200 g CH4 m−2 d−1 for which the oxidation efficiency results higher than 80%.
1. Introduction
Methane (CH4) and carbon dioxide (CO2) are the main components of gas produced in landfills containing biodegradable waste [1,2]. Therefore, landfills are significant contributors to anthropogenic methane emissions by promoting climate change [3]. However, landfills at the end of their life or landfills with low organic waste content can have a low percentage of methane in the gas, and this phenomenon does not allow to treat the gas with flares [4] and ensure the absence of toxic pollutants after thermal treatment [5,6]. Alternatives to flare-heat treatment are systems based on microbiological methane oxidation, such as biocovers, biowindows, or biofilters [7,8,9,10]. Previous experiences show that biofiltration systems have high methane oxidation efficiencies in the presence of oxygen (O2), which is a limiting factor of the biological oxidation process [8,11]. More in detail, experimental tests showed that biological CH4 oxidation is absent for an O2 supply ranging from 0% to 1%, is limited between 1% to 3%, while the highest CH4 oxidation rates occur when O2 concentrations are above 7% [12]. In this regard, the air-filled porosity of the filter became a control parameter of the O2 penetration depth and is recommended to be around 0.35 to achieve high CH4 oxidation rates [12]. In addition to oxygen, the limiting factors of the biological process are the moisture content of the filter media and the presence of nutrients [12,13,14].
Since in old landfills gas production decreases over time, the atmospheric air dilutes landfill gas, penetrating in the waste body through the leachate and the gas collection systems in the absence of overpressure generated by the production of biodegradation gas of the organic matter [14,15,16,17]. For this, as a consequence, it is possible to treat the landfill gas diluted with air with methane concentrations lower than 30% in the filtration systems [18,19].
Some experiences have shown good efficiencies by treating diluted landfill gas with a high oxygen concentration (5–13 %v/v) both in column tests and in pilot experiences of both biocover and biofilters [8,20]. Few studies have tried to define the relationship between the efficiency of biofiltration systems and the input loads and some intrinsic factors of the filter media, such as humidity [21].
To the best of our knowledge, in biofiltration systems treating diluted landfill gas, a relationship between CH4 load, CH4 oxidation efficiency, and moisture content of the filter media is missing. For this reason, this study aims to investigate the potential oxidation efficiency of methane in biofiltration systems with different moisture contents treating diluted gas containing high oxygen concentrations. To achieve this objective, column tests filled with compost with different moisture contents (20%, 30%, and 40%) loaded with different methane flows (<100, 100–200, 200–300, <300 g CH4 m−2 d−1) were set up on a laboratory scale.
2. Materials and Methods
2.1. Filter Media Characterization and Sampling
The oxidizing layer used in the experimental tests was a sample of 100 kg of filter media taken from a full-scale biofilter by core drilling. The filter media was made of a mixture of compost and sand (volumetric ratio 5:1). Compost (defined as CMC 3 according to the European Fertilizers Regulation [22]) was obtained from the source-sorted organic fraction of food waste, yard waste, and agro-industrial waste in the composting plants of Poggio alla Billa and Le Cortine owned by the waste management company Sienambiente Spa (Siena, Italy). Sand was added as a structural material to achieve a good porosity, to avoid compaction, and to ensure an even distribution of the gas from the bottom to the top of the reactors [23]. Total solids (TS), moisture content, and total volatile solids (TVS) were determined by gravimetrical analysis after heating the samples for 24 h at 105 °C and for 3 h at 550 °C, respectively [24]. In addition, the respiration activity of the compost was assessed performing the dynamic respirometric index (DRI) test in accordance with UNI 11184:2016 [25].
After the preliminary characterization, the filter media was divided into three parts, and the moisture content was regulated to 20, 30, and 40 %w/w (wet weight), applying a mass balance of solid and water content. Finally, the bulk density (ρd), the total porosity (nt), and the water-filled porosity (nw) of the three fractions were determined using the equations reported by Thomasen et al., 2019 [26]. In this study, as specific particle compost density was considered 2020 kg m−3 (ρs,c) and as specific particle sand density was considered 1520 kg m−3 (ρs,s). The gas-filled porosity (na) was measured by the difference between nt and nw [26].
2.2. Batch Incubation Tests
To assess the potential CH4 oxidation rates of the compost, two batch incubation tests were performed. The experimental measurements run separately on consecutive days in a stainless-steel vessel of 6000 mL (Cavalzani Inox Srl, Calenzano, Italy). About 1000 g of sample was introduced in the vessel, while another fraction was characterized in terms of TS, TVS, and pH. Then, the incubation vessel was sealed gas-tight using a steel lever closure specifically designed for this purpose.
Using a plastic syringe without a needle, 436 mL of CH4 was introduced in the vessel to pre-treat the compost and to obtain a more rapid activation of methanotrophic bacteria [19,26]. After 12 h of pre-treatment, the vessel was re-opened to be aerated. At that moment, 436 mL of CH4 was re-injected in the vessel, and the initial composition of the gas was measured performing gas chromatography measurements (See Section 2.5—Gas Analysis). During the conduction of the experiment, a gas sample of 30 mL was withdrawn from the reactor, and its composition was checked by gas chromatography (See Section 3.2) every 3 h. The tests ended when CH4 concentration in the gas mixture was completely used by the biological processes developed in the vessel. The duration of the methane oxidation tests was 9 h on average. Both tests were performed at an average daily room temperature of 23.8 °C [27].
2.3. Columns Experimental Design and Setup
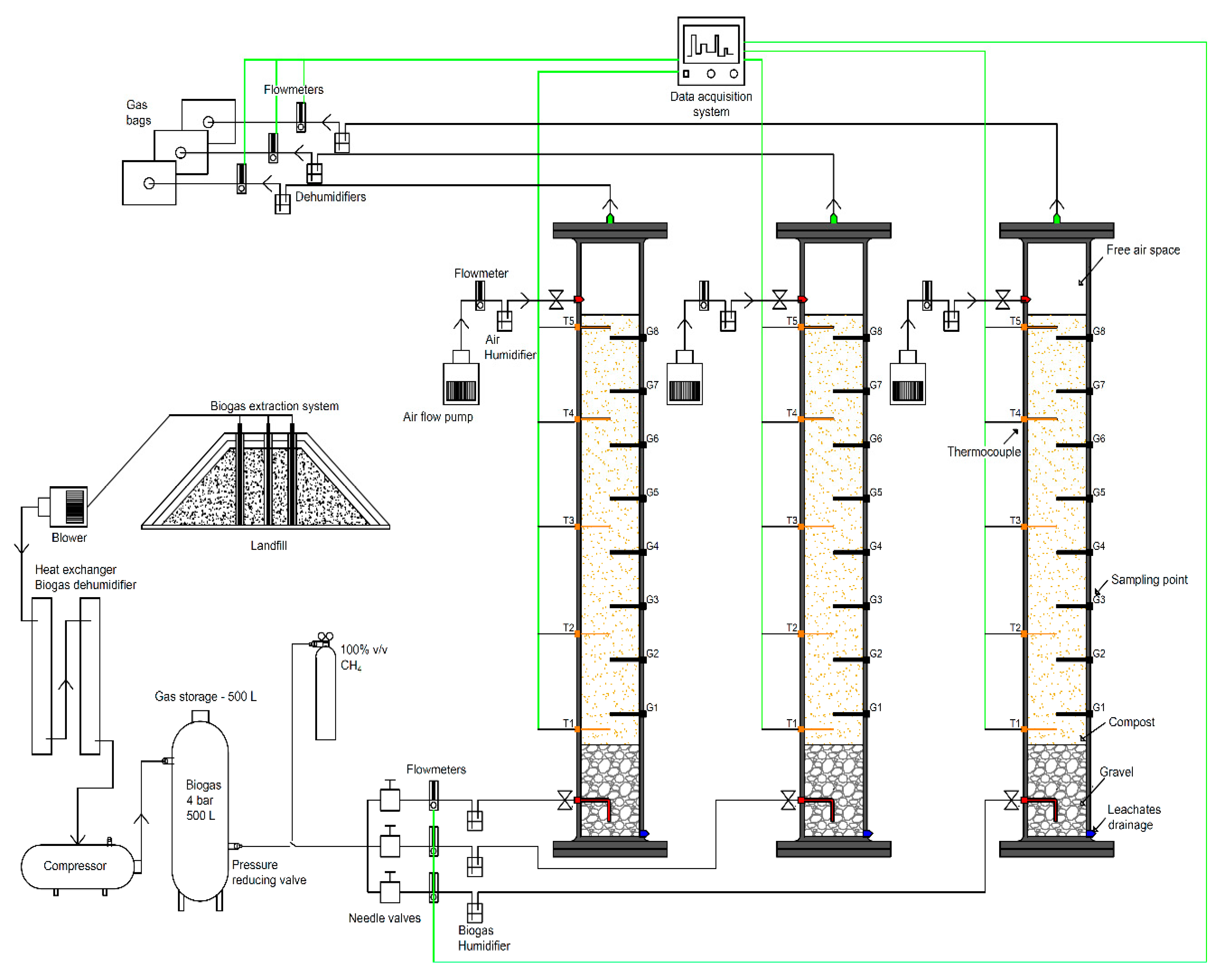
Three high-density polyethylene (HDPE) column reactors (H = 200 cm, i.d. = 2.5 cm) were set up to simulate a full-scale biofilter for CH4 oxidation. From the bottom to the top, the columns were packed with 30 cm of gravel, 140 cm of filter media (compost and sand as previously described), and 30 cm of headspace. The gravel ensured an even distribution of the inlet gas, the filter media provided the suitable environment for the methanotrophic bacteria and from the headspace, simulating an open biofilter, air diffused in the underlying layer of the filter media.
Steel flanges and nitrile rubber seals at the bottom and at top of the reactors ensure a gas-tight fit (proof tested at 2 bar for 15 min). In the top flange, an inlet for the air and an outlet for the gas were realized. In the headspace, air was supplied using a membrane pump (SCHEGO Schemel and Goetz GmbH and Co KG 2016, Offenbach, Germany) and the air inlet flow was kept constant and continuously measured using a ball-flow meter (Sho-Rate Glass Tube Flow Meter, BROOKS INSTRUMENT, Hatfield, PA, USA). At the outlet, the gas flow rate was measured continuously by a thermal mass flow meter (SLA5800 Series, BROOKS INSTRUMENT, Hatfield, PA, USA), and for each monitoring campaign, a sample of the outlet gas was collected. On the right side of the columns, 8 sampling ports equally distant one another (17.5 cm) were realized to obtain gas concentration profiles: The soil gas samples were collected in Tedlar bags, and then the gas composition was analyzed by gas chromatography (See Section 3.3). On the left side, 5 type T thermocouples (405-618, TC Direct, Torino, Italy) continuously monitored the temperature of the filter media. Above each bottom flange, on the front side, a gas inlet was realized to feed the reactors.
Four experimental configurations of CH4 load were studied to assess the methane oxidation efficiency of each column. Further details on the experimental run are reported in Section 2.4.
Figure 1 illustrates the experimental setup. Concerning the equipment, in the first configuration, the inlet gas was pure CH4 (99.99 %v/v, SAPIO, Italy). For the other configurations, the inlet gas was landfill gas (LFG) collected from the suction station located in front of the experimental cabin. Before being compressed by a piston-compressor (Adicomp Srl, Vicenza, Italy), a blower conveyed the LFG to a condenser (a two-phase tube and shell heat exchanger developed for a previous research), to cool and to condensate the water vapor. Then, the compressed LFG was stored in a 500 L stainless-steel tank setup at 4 bar and controlled by a manometer. The outlet LFG flow rate was regulated by a needle valve, a sampling port allowed the evaluation of LFG quality, and a quick-connect fitting (i.d. = 5 mm) connected a rislan tube to a three-way valve flow divider. Subsequently, three needle valves regulated the inlet LFG flows to the reactors. The actual LFG flow rate was continuously monitored by three thermal mass flow meter (SLA5800 Series, BROOKS INSTRUMENT, Hatfield, PA, USA). Finally, the inlet LFG passed throughout a bubble humidifier before entering the gravel layer at the bottom of each column. The mass flow meters and the thermocouples were connected to a portable paperless recorder (SMARTDAC + GX10, Yokogawa Electric Corporation, Tokyo, Japan) to register continuous inlet flow rate, outlet flow rate, and temperature of the filter media. In addition, CH4 and CO2 inlet and outlet flow were evaluated, applying the static flux chamber methodology using the equipment and environmental correlation parameters developed by [28]. At the same time, the composition in terms of CH4, CO2, and O2 was analyzed using an infrared instrument (ECOPROBE 5, RS DYNAMICS, Prague, Czech Republic). The water produced in the biological oxidation was collected at the bottom of the gravel layer and eventually removed after checking once a week.
Figure 1.
Setup of columns.
To interpreter the results, the retention time of the gas (RTa) in the columns (hours) was evaluated in accordance with the following equation, proposed by [26]:
where na is the gas-filled porosity, Vc is the volume of packed compost, and QLFG is the inlet LFG flow rate.
RTa = (na Vc)/QLFG
2.4. Column Experimental Run
The experimental schedule was developed with the aim to find a relationship between CH4 load, CH4 oxidation efficiency, and moisture content of the filter media and, consequently, to identify the optimal working condition of the full-scale open biofilter. For the reasons previously reported, the inlet CH4 loads of 0–100, 100–200, 200–300, >300 g CH4 m−2 d−1 were tested, and the results discussed considering the relative RTa. Starting from the lower CH4 load (0–100 g CH4 m−2 d−1), each configuration was maintained for 30 days, and routine monitoring was performed once a week except for the configuration >300 g CH4 m−2 d−1 that was sampled two times. The first sampling campaign was performed after a period of three times the RTa to achieve the steady-state of microbial activity, and at least 4 sampling campaigns were performed.
During the routine monitoring, the gas composition was analyzed by collecting gas samples from the inlet, the outlet, and from the 8 sampling ports. Inlet and outlet flows were obtained from the paperless recorder, but CH4 and CO2 fluxes were also measured using the static chamber method. CH4 mass balances were applied to evaluate the global CH4 oxidation efficiency (Effox_mb), while CO2 mass balances were applied to estimate the CO2 produced by the respiration activity of the compost (CO2,resp) as reported in the Equations (1) and (2).
where Effox_mb was the CH4 oxidation efficiency (%), CH4in, CH4out, CO2in, and CO2out were inlet and outlet flow (mol m−1 d−1) evaluated using the flux chamber method.
From the soil gas composition (CH4, CO2 e O2) at each sampling port, the share of oxidized CH4 was evaluated by applying Equation (3) [13]:
where x = share of oxidized CH4 %(v/v), [CO2]LFG = concentration of CO2 in inlet LFG %(v/v) and [CH4]LFG = concentration of CH4 in inlet LFG %(v/v), [CO2]i = concentration of CO2 at depth i %(v/v), [CH4]i = concentration of CH4 at depth i %(v/v).
Consequently, the punctual CH4 oxidation efficiency, Effox (%), at depth i was evaluated through Equation (4), and the efficiency profiles for the reactors developed.
2.5. Gas Analysis
A specific experimental sampling system was developed to take the soil gas samples. Stainless-steel ball valves M/F 1/4″ gas, sealed with Teflon tape, were installed in each sampling port. During the sampling, a male–female thread gas nozzle was inserted into the sampling ports. Then, a three-way valve connected the gas nozzle and two plastic syringes without the needle. First, one syringe purged the connection inert tube; second, a foil bag (Supel™-Inert Multi-Layer Foil, 0.6 L Screw Cap Valve (SCV), Supelco, Darmstadt, Germany) was connected to the valve, and, finally, by the second syringe, a 20 mL of gas sampled was taken and collected in the foil bag. The 20 mL gas samples were analyzed within 3 h by gas chromatography in terms of CH4, O2, CO2, and N2 (Micro GC Gas Analyzer, INFICON, Basel, Switzerland), according to the procedures described by Baldi et al. (2019) [29,30].
3. Results and Discussion
3.1. Compost Material Characteristics
Table 1 shows the results of the characterization of the initial filter media and the samples of the oxidizing layer with which each column was packed.
Table 1.
Compost characteristics.
The initial filter media had a gravimetric water content of 16.71 %TS, and, as a result, was outside the suitable range of 50–130 %TS for methanotrophic bacteria development [23]. A TVS content of 29.6 %TS, namely loss on ignition LOI [23,26], was favorable for the bacterial activity and higher than the 24.4 %TS found in [26]. However, DRI indicated an O2 consumption of 884 mg O2 kg TVS−1 h−1 and a CO2 production of 570 mg CO2 kg TVS−1 h−1, revealing incomplete maturity of the compost. The bulk density of the initial filter media was 0.506 kg TS L−1 which was in line with the value of 0.553 reported in a recent study [26], but lower than the optimal values ranging from 0.8 to 1.1 kg TS L−1 [23]. The total porosity was 0.74, and gas-filled porosity was 0.65, and the result was higher than those reported by [26] and recommended by [23]. Thus, the compost showed good physical characteristics to support the diffusion of the gas in the filter media pores and, consequently, O2 supply in deep layers.
After the moisture content regulation, an average water content of 17.66%, 32.60%, and 40.53% was measured. The bulk density decreased with increasing levels of humidity, resulting in 0.48, 0.39, 0.35 kg TS L−1 for Column A, Column B, and Column C, respectively, and, consequently, decreased the gas-filled porosity, but the values were always above the recommend literature range [23].
3.2. Batch Experiments—Compost CH4 Oxidation Potential
This section reports the average CH4 potential oxidation rates, O2 consumption rates, and CO2 production rates achieved in the experimental tests. The average CH4 potential oxidation rates of 53.92 ± 9.74 µg CH4 g TS−1 h−1 were slightly higher than the 32.2–33.8 µg CH4 g TS−1 h−1 achieved in batch incubation tests of 100 g of compost [26] and 26 ± 0.5–5 ± 1.5 µg CH4 g TS−1 h−1 resulted from batch tests performed at 20–30 °C [19]. The average O2 consumption rate were 141.04 ± 67.68 µg O2 g TS−1 h−1 which was higher than the 98.3 µg O2 g TS−1 h−1 obtained by [26] and 27 ± 2–76 ± 19 µg O2 g TS−1 h−1 [19]. Finally, the average CO2 production rate was 37.43 ± 13.93 µg CO2 g TS−1 h−1 in line with those reported in [19,26].
3.3. Column Test—Gas Concentration Profiles
Figure 2 presents average gas concentrations of CH4, CO2, O2 and temperature profiles for each configuration. As described in the experimental design, the configuration 0–100 g CH4 m−2 d−1 had pure CH4 as the inlet gas, while the other configurations had LFG as the inlet gas. For this reason, the gas profiles of the first configuration may be qualitatively and quantitatively different from the others.
Figure 2.
Average gas concentrations and temperature profiles. CH4 Load Range: (a) 0–100 g CH4 m−2 d−1, (b) 100–200 g CH4 m−2 d−1, (c) 200–300 g CH4 m−2 d−1, (d) >300 g CH4 m−2 d−1.
With regard to configuration 0–100 g CH4 m−2 d−1 (see Figure 2a), CH4 was completely oxidized above 10 cm in Column B and Column C. Differently, CH4 was 0.33 %v/v at the top of Column A showing an oxidation efficiency lower than the other reactors. Column C showed the highest CH4 levels and the highest standard deviations. Along the sampling height, CO2 levels were stable between 130 cm and 25 cm of depth, resulting in an average of 13.6 ± 1.7 %v/v, 14.4 ± 1.4 %v/v, 21.0 ± 2.4 %v/v for Column A, Column B, and Column C, respectively. More in detail, the highest CO2 level of 22.5 ± 2.1 %v/v was detected at 77.5 cm for Colum C: The column with the highest moisture content. Therefore, it may be reasonable that a share of CO2 was produced by the compost respiration activity. Probably, a moisture content of 40 %w/w is too high for methanotrophic bacteria, while it is optimal for aerobic bacteria responsible for compost respiration [3,12]. The average O2 level in the columns was 2.4 ± 0.3 %v/v from 165 cm up to 42.5 cm. In the upper layers, O2 increased, and Column A showed the maximum O2 level of 7.0 ± 2.5 %v/v at 25 cm in accordance with the high gas-filled porosity of 0.645. In the headspace, O2 reached the maximum values of 13.3 ± 1.4 %v/v > 12.4 ± 2.0 %v/v > 10.5 ± 1.5 %v/v, resulting in Column A > Column C > Column B. Considering the previous evidences, CH4 oxidation, and compost respiration contributed to the low levels of O2 in the bottom and middle layers, while the diffusion of oxygen from the atmospheric air contributed to higher levels in the top layers. However, O2 was never a limiting factor for methane oxidation, even in the deepest layers [6,13].
Moving on to the configuration 100–200 g CH4 m−2 d−1 (see Figure 2b), the bottom CH4 levels of 51.5 ± 1.8 %v/v, 51.7 ± 1.5 %v/v, 52.1 ± 1.9 %v/v for Column A, Column B, and Column C, respectively, indicated an equal distribution of LFG. In contrast to the first configuration, CH4 was detected in all columns at 25 cm of depth, showing a concentration of 3.1 ± 3.9, 4.0 ± 6.9, 7.8 ± 9.1 %v/v for Column A, Column B, and Column C, respectively. Then, CH4 decreased, reaching 0.5 ± 1.1, 0.4 ± 0.7, 0.3 ± 0.4 %v/v for Column A, Column B, and Column C at the top. These results indicated a high CH4 reduction and an intense methanotrophic activity in the top layers (0–40 cm) that effectively is the most suitable depth for the CH4 oxidation because neither CH4 or O2 are limiting factors for the biological process [12]. In Figure 2b, temperature profiles ranged from 18.6 °C to 26.8 °C showing the presence of methanotrophic activity [12]. For Column B, the highest temperature of 25.2 ± 1.1 °C at 34.5 cm confirmed that 20–50 cm was the most active layer. Furthermore, the results indicated that CH4 was mainly removed in the middle layers, as found in a previous work on bioscrubber optimization [31]. CO2 results were comparable at the bottom of the three reactors and were equal to 34.2 ± 1.0, 34.2 ± 1.3, 34.3 ± 1.2 %v/v for Column A, Column B, and Column C, respectively. Between 130–25 cm of depth CO2 decreased to 19.8 ± 3.0, 17.0 ± 3.4, 19.7 ± 3.1 %v/v for Column A, Column B, Colum C, respectively, and the average CO2 at the top of the reactors resulted in 10.5 ± 0.9 %v/v. Here, the highest CO2 level of 11.5 ± 1.9 %v/v was detected for Column C. In the inlet gas, O2 levels were quite low (2.3 ± 0.3, 2.4 ± 0.3, 2.2 ± 0.4 %v/v for Column A, Column B, and Column C, respectively). In the middle layers, O2 was consumed probably both for respiration and for methane oxidation, and in the top layers, O2 increased due to the diffusion of atmospheric air. Despite the high CH4 load and the low O2 supply, we can state that O2 was never a limiting factor for CH4 oxidation resulting higher than the limit of 1.3 %v/v [26,32]. An average RTa of 52.62 ± 1.7 h was enough for the complete oxidation of the inlet CH4 load. The high RTa was probably caused by the height of the oxidizing media that was higher than those usually tested in previous studies [26].
With regard to the third configuration of 200–300 g CH4 m−2 d−1 (see Figure 2c), CH4 was detected in the headspace of each column, and the results were 2.5 ± 2.3, 3.0 ± 2.3, 3.1 ± 2.0 %v/v for Column A, Column C, and Column B, respectively, highlighting an incomplete removal of the inlet CH4 (54.7 ± 2.1, 54.7 ± 2.1, 54.3 ± 2.2 %v/v on average for Column A, Column B, and Column C, respectively). The average RTa of 35.46 ± 0.5 %v/v was not enough to completely oxidize the inlet CH4. Focusing on Column B, although CH4 oxidation was incomplete, the profile of CO2 had the characteristic shape of those reported in previous studies on CH4 oxidation [13,26], indicating the development of methanotrophic bacteria. Precisely, starting from a depth of 130 cm, CO2 concentration was 24.9% ± 4.6 %v/v, then reached a maximum of 27.2 ± 0.9 %v/v at 95 cm, and finally, the minimum of 13.65 %v/v in the outlet gas. On the contrary, for Column C, CO2 decreased almost linearly from the bottom to the top layers, and O2 showed an average concentration of 3.8 ± 0.8 %v/v between 25–130 cm. As a consequence, the behavior of Column C could indicate an inhibition of CH4 oxidation due mainly to the high methane load and not due to the low levels of O2. Temperature profiles appeared to confirm this hypothesis: The highest temperature (27.7 ± 2.7 °C) was at the top of the column and not in the middle filtering layers in which methanotrophic bacteria should be active [12].
Focusing on the highest CH4 load of the experimental design (see Figure 2d), the inlet CH4 was 57.8 ± 1.2, 57.8 ± 1.2, 57.4 ± 1.1 %v/v; while, in the headspace, CH4 was 8.2 ± 1.8, 9.9 ± 2.4, 7.4 ± 1.7 %v/v, CO2 was 14.3 ± 0.1, 15.5 ± 0.0, 14.4 ± 0.7 %v/v and O2 was 6.9 ± 1.1, 5.8 ± 0.9, 6.3 ± 0.4 %v/v for Column A, Column B, and Column C, respectively. The high CH4 concentration levels in the headspace indicated that the CH4 load was too high to support the biological oxidation and provide complete CH4 oxidation. These evidences were shown by the gas profiles especially for Column A and C. Indeed, the shape of CO2 decreased almost linearly from the bottom to the top of the reactors, even if O2 was not limiting the process (O2 > 1.3 %v/v except for the sampling port at 165 cm in which was 1.1 ± 0.1% v/v on average). The average temperatures were higher than the other configurations but remained constant along the sampling height and throughout the monitoring period. Therefore, supporting the hypothesis of inhibition of bacterial activity as other authors confirmed [26].
Finally, analyzing the results in light of the different moisture content, we can summarize the following evidences: With a methane load below 100 g CH4 m−2 d−1, a moisture content of 20% was not enough to support bacterial activity, while a moisture content of 40 %w/w advantaged the compost respiration that became the dominating process; with methane load ranging from 100 to 300 g CH4 m−2 d−1), a moisture content of 30 %w/w resulted in an optimal value to support methanotrophic activity showing the highest CH4 concentration reduction; moving on to a CH4 load above 300 g CH4 m−2 d−1, the inhibition of methanotrophic activity emerged independently to the moisture content of the filter media probably because this range is outside the suitable load for methanotrophic bacterial activity.
3.4. Column Test—Oxidation Rate and Efficiency
Figure 3 presents the average methane oxidation profiles of Column A, Column B, and Column C for each CH4 configuration load. On the other hand, Table 2 provides an overview of the averages of biogas inlet flow, CH4 concentration in the inlet biogas, the global CH4 oxidation efficiency, CH4 oxidation rate, a mass balance on CH4 and CO2 for the systems, and CO2,resp.
Figure 3.
Average methane oxidation profiles for each CH4 configuration load.
Table 2.
Overview of columns setup showing configurations, average inlet flow, average retention time, average CH4 load, average efficiency, average CH4 oxidation rate, and mass balance.
Starting from the lowest CH4 load, the shape of the average profiles was comparable for the three reactors. However, above 25 cm of depth, Column C showed a lower CH4 oxidation efficiency than Column A and Column B. CH4 oxidation efficiency increased in accordance with the vertical decrease in CH4 levels, as shown in the gas concentration profiles. More in detail, CH4 oxidation efficiency was always higher than 33.8% ± 8.2% found for Column C at 132.5 cm. At 12.5 cm of depth, the maximum value of 100.0% ± 0.0% was found for Column B. At the top, Column A showed the lowest CH4 oxidation efficiency of 94.8% ± 4.7%. Column B and Column C showed the highest oxidation rate of 68.9 ± 15.2 g CH4 m−2 d−1 and 44.82 g CH4 m−2 d−1, respectively. By comparison, CH4 oxidation rates were slightly higher than the average 21.3 ± 14.2 g CH4 m−2 d−1 found for column tests working in the same range of CH4 load [26]. Considering the different moisture content of the filter media, the results suggested a positive effect on CH4 oxidation for a moisture content of 30–40 %w/w.
Moving to the other configurations, the results suggested less dependence between moisture content and CH4 oxidation efficiency. Hence, a strict dependence between CH4 oxidation efficiency and CH4 load emerged [33,34]. In other words, with increasing the CH4 load, the profiles of CH4 oxidation efficiency moved on the left side of the graph, indicating lower efficiency at all depths.
In the configuration 100–200 g CH4 m−2 d−1, the biological processes showed the most intense activity between 20–60 cm, as indicated by the steepness of the efficiency profile. The global CH4 oxidation efficiency was 92.7% ± 13.9%, 95.8% ± 7.7%, 88.1% ± 17.9% for Column A, Column B, and Column C, respectively. Column B showed the highest oxidation rate of 149.2 g CH4 m−2 d−1 with an average CH4 load of 155.7 ± 13.4 g CH4 m−2 d−1 in line with [26].
With regard to the configuration 200–300 g CH4 m−2 d−1, the global CH4 oxidation efficiency was 70.6% ± 10.3%, 61.2% ± 15.4%, 43.3% ± 23.5% for Column A, Column B, and Column C, respectively. The further increase in CH4 load resulted in lower oxidation rates. For example, Column C showed an average oxidation rate of 141.5 g CH4 m−2 d−1 with an average load of 160.6 ± 14.7 g CH4 m−2 d−1 and an average oxidation rate of 112.6 g CH4 m−2 d−1 with an average load of 260.2 ± 28.8 g CH4 m−2 d−1.
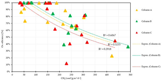
For a CH4 load above 300 g CH4 m−2 d−1, the global oxidation efficiency and the oxidation rate drastically decreased. The highest oxidation efficiency of 59.3% ± 32.70% and a methane oxidation rate of 237.1 g CH4 m−2 d−1 was found for Column B, which had an average inlet CH4 load of 399.9 ± 127.4 g CH4 m−2 d−1. These results suggested that Column B had the best performances among the reactors, but such a CH4 load seemed to inhibit the methanotrophic activity resulting in lower global performances. This result contrasted to those reported in a recent column study whose findings showed an average oxidation rate of 483 g CH4 m−2 d−1 with an average methane load of 488 g CH4 m−2 d−1 (99% oxidation efficiency) also indicating that a higher CH4 load could have been handled by the biological process [26]. Finally, the graph in Figure 4 illustrates the relationship between CH4 load, CH4 oxidation efficiency, and filter media moisture content. The results showed an exponential relationship between the variables with an R2 ranging from 0.52 to 0.60. More in detail, Column B showed the highest R2 of 0.6 and the best performances, while Column A showed the lowest R2 of 0.29, which was out of the optimal functional range. As a consequence, from the results previously discussed, and from the graph in Figure 4, a moisture content of 30 %w/w results in an optimal value to achieve the maximum oxidation efficiency for a methane load ranging from 49.6 to 300 g CH4 m−2 d−1.
Figure 4.
Relationship between methane load and oxidation efficiency for different filter media moisture content.
The trend line defines an oxidation efficiency similarly to Pecorini et al. (2020) [7]. In fact, to guarantee an oxidation efficiency of 80%, the CH4 load must be less than 6.5 g CH4 m−2 h−1 with an oxidation rate of 5.2 g CH4 m−2 h−1, or to guarantee an oxidation efficiency of 70%, the CH4 load must be less than 9.3 with an oxidation rate of 6.5 g CH4 m−2 h−1. This result is also confirmed by the findings of Dever et al. (2010) [21], which stated that the performance of a passive biofilter can decline once the landfill gas load exceeds 20 NLm−2 h−1 and the methane load exceeds 5 g CH4 m−2 h−1.
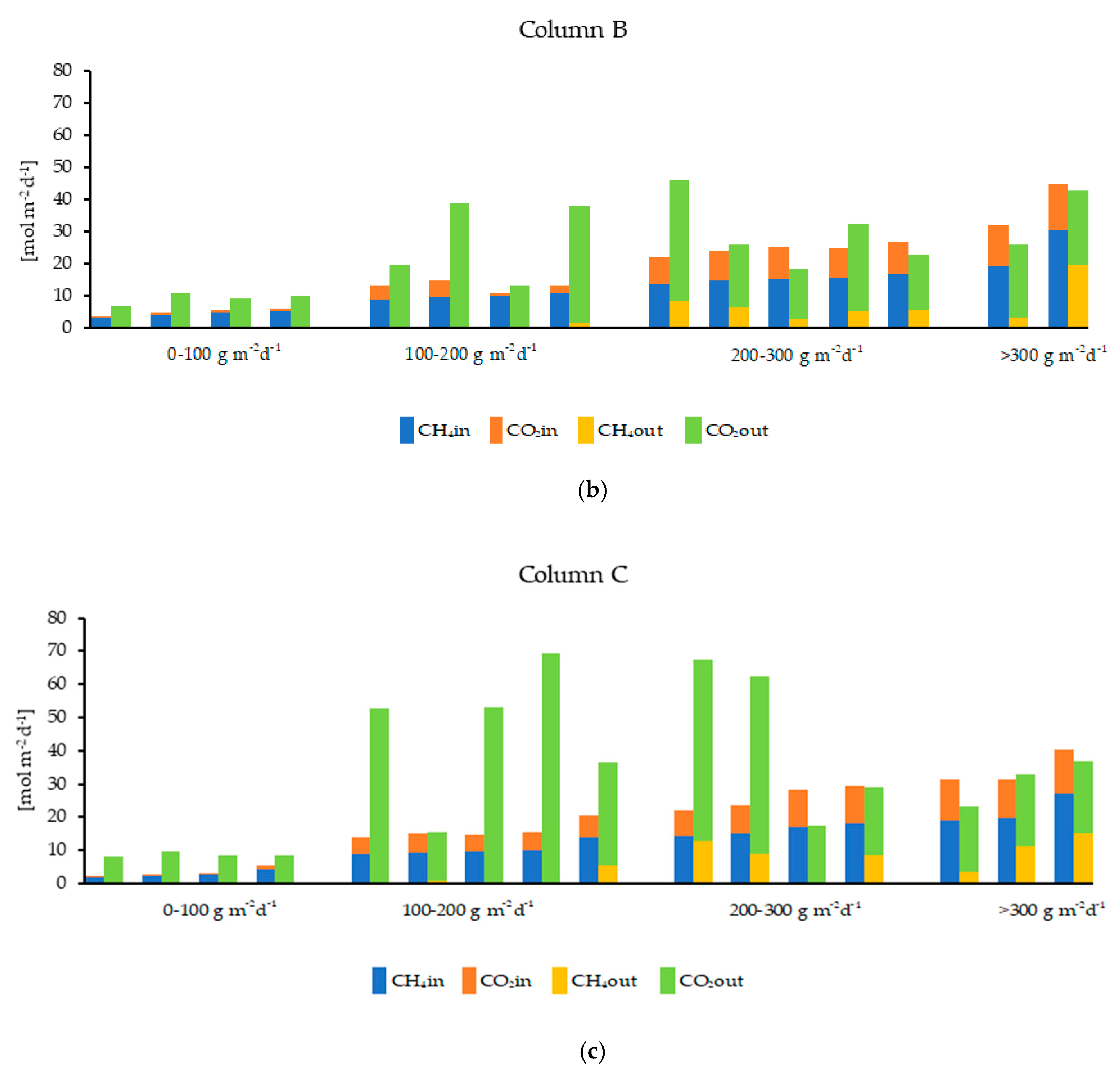
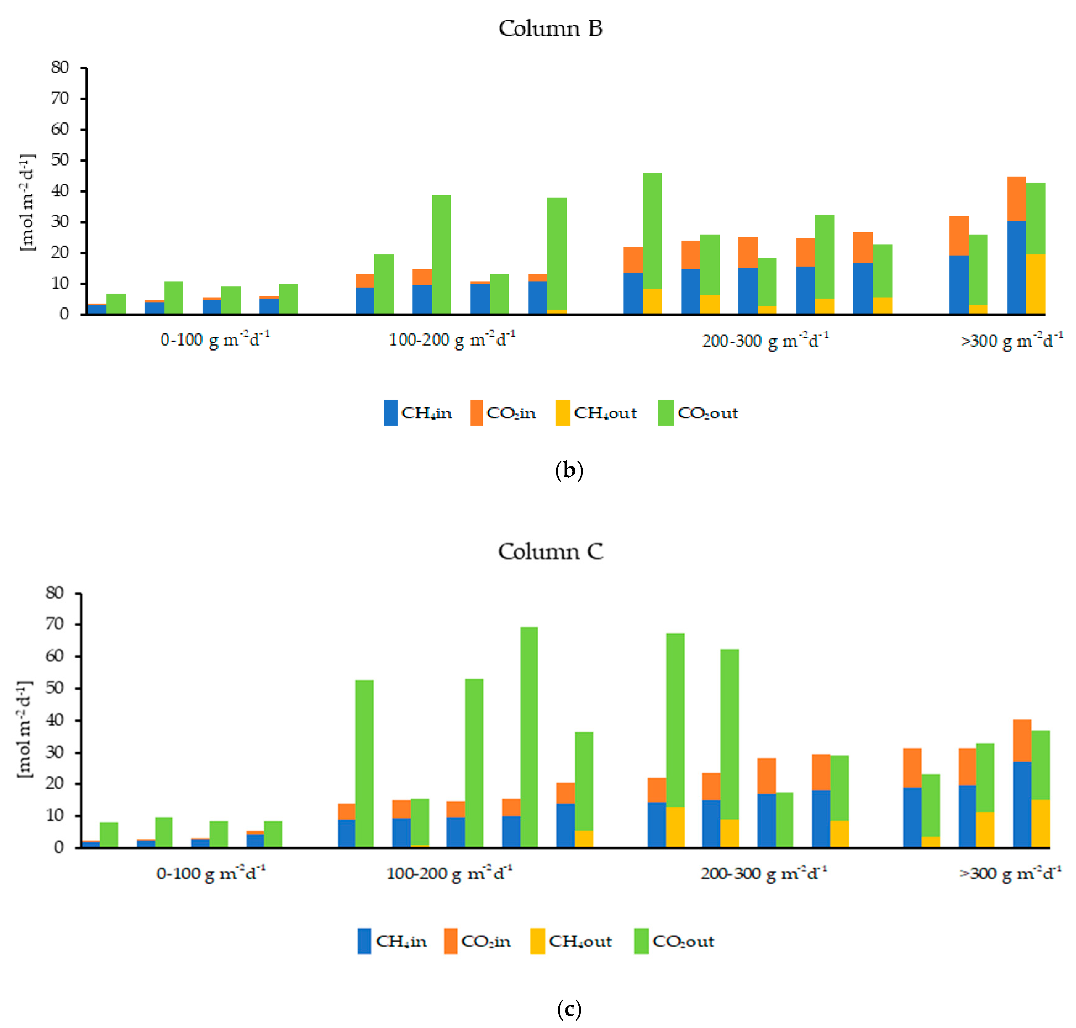
3.5. Column Test—Mass Balance
Figure 5a–c presents qualitatively the mass balances of CH4 and CO2 reported quantitatively in Table 2. In general, inlet fluxes showed a certain variability because of the low precision of the experimental equipment, specifically at low CH4 load. However, these uncertainties were considered acceptable for this kind of experimental setup.

Figure 5.
Mass balance between load and outflow of CH4 and CO2: (a) Column A; (b) Column B; (c) Column C.
Focusing on the configuration 0–100 g CH4 m−2 d−1, the graph showed a CO2out always higher than CH4in. Since CO2out is produced both by methane oxidation and compost respiration and CH4in was almost completely oxidized, the results indicated that a large share of CO2 was produced by respiration activity [35]. In detail, the average CO2,resp was 3.03 ± 1.22 mol m−2 d−1, which is in line with the value of 2.8 mol m−2 d−1 by Thomasen et al. [26].
Moving on to the configuration 100–200 g CH4 m−2 d−1, CO2out reached the highest value of 30.52 mol m−2 d−1 in campaign 4 of Column C. In this case, we can state that a share of CO2out was generated by the complete oxidation of CH4, a share was generated by the respiration of compost, and a share was related to the inlet LFG which is inert to the biological processes. For the higher CH4 load (CO2out declined. In other words, CH4 oxidation efficiency decreased resulting in CH4out > 0: The average maximum value of 9.2 mol m−2 d−1 was evaluated for Column C and CO2,resp decreased which resulted in 6.23 mol m−2 d−1 on average for Column B. The last configuration (>300 g CH4 m−2 d−1), highlighted high values of CH4out, showing a low methane oxidation efficiency highlighted in the previous sections. Finally, a proportional relation between the average CO2,resp, and the moisture content of the filter media within the reactor emerged.
4. Conclusions
This study aimed to investigate the potential oxidation efficiency of methane in biofiltration systems with different moisture content, treating diluted gas containing high oxygen concentrations. To achieve this objective, column tests filled with compost with different moisture contents (20%, 30%, and 40%) loaded with different methane flows (<100, 100–200, 200–300, <300 g CH4 m−2 d−1) were setup on a laboratory scale.
Analyzing the results, the following evidences can be summarized: With a low methane load (<100 g CH4 m−2 d−1), a moisture content of 20% was not enough to support methanotrophic activity, while a moisture content of 40% advantaged the compost respiration to become the dominating process; with a higher methane load (100–300 g CH4 m−2 d−1), a moisture content of 30 %w/w resulted in an optimal value to support methanotrophic activity showing the highest CH4 concentration reduction; moving on to a CH4 load above 300 g CH4 m−2 d−1, the inhibition of methanotrophic activity emerged independently to the moisture content of the filter media. The optimal configuration is obtained for a moisture content of 30% and in the case of flows below 200 g CH4 m−2 d−1 for which the oxidation efficiency was higher than 80%.
Author Contributions
Conceptualization, I.P.; methodology, I.P.; software, N.F.; validation, I.P. and R.I.; formal analysis, I.P.; investigation, N.F.; resources, N.F., E.R., and I.P.; data curation, N.F.; writing—original draft preparation, N.F., E.R., and I.P.; writing—review and editing, I.P.; visualization, E.R.; supervision, I.P. and R.I.; project administration, I.P.; funding acquisition, I.P. All authors have read and agreed to the published version of the manuscript.
Funding
This research was funded by the EU LIFE Program “LIFE RE Mida-LIFE14 CCM/IT/000464”.
Acknowledgments
The authors would like to thank Donata Bacchi and Riccardo Bacci for their help during the field sampling. The authors would like to thank CSAI S.p.A. for hospitality and availability during sampling.
Conflicts of Interest
The authors declare no conflict of interest.
References
- Bacchi, D.; Bacci, R.; Ferrara, G.; Lombardi, L.; Pecorini, I.; Rossi, E. Life Cycle Assessment (LCA) of landfill gas management: Comparison between conventional technologies and microbial oxidation systems. Energy Procedia 2018, 148, 1066–1073. [Google Scholar] [CrossRef]
- Rossi, E.; Pecorini, I.; Iannelli, R. Risk assessment of a methane oxidizing biofilter for reducing landfill gas emissions from a post-closure landfill. Procedia Environ. Sci. Eng. Manag. 2019, 6, 209–219. [Google Scholar]
- Huber-Humer, M.; Gebert, J.; Hilger, H. Biotic systems to mitigate landfill methane emissions. Waste Manag. Res. 2008, 26, 33–46. [Google Scholar] [CrossRef] [PubMed]
- Rossi, E.; Pecorini, I.; Iannelli, R. Methane oxidation of residual landfill gas in a full-scale biofilter: Human health risk assessment of volatile and malodours compound emissions. In Environmental Science and Pollution Research; Spinger: Berlin, Germany, 2020. [Google Scholar]
- Lombardi, L.; Carnevale, E.A.; Pecorini, I. Experimental evaluation of two different types of reactors for CO2 removal from gaseous stream by bottom ash accelerated carbonation. Waste Manag. 2016, 58, 287–298. [Google Scholar] [CrossRef]
- Pecorini, I.; Bacchi, D.; Ferrara, G.; Rossi, E.; Caselli, R.L.; Zipoli, L.; Menghetti, F. Biofiltration prototyes for methane oxidation in landfill aftercare and abatement of NMVOCs and odorous compounds. Procedia Environ. Sci. Eng. Manag. 2017, 4, 173–181. [Google Scholar]
- Pecorini, I.; Rossi, E.; Iannelli, R. Mitigation of Methane, NMVOCs and Odor Emissions in Active and Passive Biofiltration Systems at Municipal Solid Waste Landfills. Sustainability 2020, 12, 3203. [Google Scholar] [CrossRef]
- Fjelsted, L.; Scheutz, C.; Christensen, A.G.; Larsen, J.E.; Kjeldsen, P. Biofiltration of diluted landfill gas in an active loaded open-bed compost filter. Waste Manag. 2020, 103, 1–11. [Google Scholar] [CrossRef]
- Jung, H.; Oh, K.-C.; Ryu, H.-W.; Jeon, J.-M.; Cho, K.-S. Simultaneous mitigation of methane and odors in a biowindow using a pipe network. Waste Manag. 2019, 100, 45–56. [Google Scholar] [CrossRef]
- Pecorini, I.; Iannelli, R. Landfill GHG Reduction through Different Microbial Methane Oxidation Biocovers. Processes 2020, 8, 591. [Google Scholar] [CrossRef]
- Cassini, F.; Scheutz, C.; Skov, B.H.; Mou, Z.; Kjeldsen, P. Mitigation of methane emissions in a pilot-scale biocover system at the AV Miljø Landfill, Denmark: 1. System design and gas distribution. Waste Manag. 2017, 63, 213–225. [Google Scholar] [CrossRef]
- Scheutz, C.; Kjeldsen, P.; Bogner, J.E.; De Visscher, A.; Gebert, J.; Hilger, H.A.; Huber-Humer, M.; Spokas, K. Microbial methane oxidation processes and technologies for mitigation of landfill gas emissions. Waste Manag. Res. 2009, 27, 409–455. [Google Scholar] [CrossRef] [PubMed]
- Gebert, J.; Röwer, I.U.; Scharff, H.; Roncato, C.D.L.; Cabral, A.R. Can soil gas profiles be used to assess microbial CH4 oxidation in landfill covers? Waste Manag. 2011, 31, 987–994. [Google Scholar] [CrossRef] [PubMed]
- Rossi, E.; Frasi, N.; Pecorini, I.; Ferrara, G. Methane oxidation efficiency and NMVOCs reduction in a full-scale passive bioifltration system for the treatment of residual landfill gas. Procedia Environ. Sci. Eng. Manag. 2018, 5, 147–152. [Google Scholar]
- Fredenslund, A.M.; Scheutz, C.; Kjeldsen, P. Tracer method to measure landfill gas emissions from leachate collection systems. Waste Manag. 2010, 30, 2146–2152. [Google Scholar] [CrossRef] [PubMed]
- Wu, C.; Liu, J.; Zhao, P.; Li, W.; Yan, L.; Piringer, M.; Schauberger, G. Evaluation of the chemical composition and correlation between the calculated and measured odour concentration of odorous gases from a landfill in Beijing, China. Atmos. Environ. 2017, 164, 337–347. [Google Scholar] [CrossRef]
- Pecorini, I.; Baldi, F.; Bacchi, D.; Carnevale, E.A.; Corti, A. Leaching behaviour of hazardous waste under the impact of different ambient conditions. Waste Manag. 2017, 63, 96–106. [Google Scholar] [CrossRef]
- Haubrichs, R.; Widmann, R. Evaluation of aerated biofilter systems for microbial methane oxidation of poor landfill gas. Waste Manag. 2006, 26, 408–416. [Google Scholar] [CrossRef]
- Scheutz, C.; Cassini, F.; De Schoenmaeker, J.; Kjeldsen, P. Mitigation of methane emissions in a pilot-scale biocover system at the AV Miljø Landfill, Denmark: 2. Methane oxidation. Waste Manag. 2017, 63, 203–212. [Google Scholar] [CrossRef]
- Alvarenga, P.; Mourinha, C.; Farto, M.; Santos, T.; Palma, P.; Sengo, J.; Morais, M.-C.; Cunha-Queda, C. Sewage sludge, compost and other representative organic wastes as agricultural soil amendments: Benefits versus limiting factors. Waste Manag. 2015, 40, 44–52. [Google Scholar] [CrossRef]
- Dever, S.; Swarbrick, G.E.; Stuetz, R.M. Handbook for the Design, Construction, Operation, Monitoring and Maintenance of a Passive Landfill Gas Drainage and Biofiltration System. 2019. Available online: https://www.researchgate.net/publication/239998633_Handbook_for_the_design_construction_operation_monitoring_and_maintenance_of_a_passive_landfill_gas_drainage_and_biofiltration_system (accessed on 20 March 2020).
- EU. Regulation (EU) 2019/1009 of the European Parliament and of the Council of 5 June 2019 Laying down Rules on the Making Available on the Market of EU Fertilising Products and Amending Regulations (EC) No 1069/2009 and (EC) No 1107/2009 and Repealing Regulation (EC) No 2003/2003. Available online: https://eur-lex.europa.eu/eli/reg/2019/1009/oj (accessed on 27 April 2020).
- Huber-Humer, M.; Röder, S.; Lechner, P. Approaches to assess biocover performance on landfills. Waste Manag. 2009, 29, 2092–2104. [Google Scholar] [CrossRef]
- Pecorini, I.; Bacchi, D.; Iannelli, R. Biodrying of the Light Fraction from Anaerobic Digestion Pretreatment in Order to Increase the Total Recovery Rate. Processes 2020, 8, 276. [Google Scholar] [CrossRef]
- Albini, E.; Pecorini, I.; Ferrara, G. Evaluation of biological processes performances using different stability indices. Procedia Environ. Sci. Eng. Manag. 2019, 6, 1–10. [Google Scholar]
- Thomasen, T.B.; Scheutz, C.; Kjeldsen, P. Treatment of landfill gas with low methane content by biocover systems. Waste Manag. 2019, 84, 29–37. [Google Scholar] [CrossRef] [PubMed]
- CFR. CENTRO FUNZIONALE. Available online: http://www.cfr.toscana.it/ (accessed on 9 May 2020).
- Pecorini, I. Sistemi di Monitoraggio delle Emissioni Diffuse di Biogas da Discarica per la Ottimizzazione del Sistema di Gestione. Ph.D. Thesis, University of Florence, Florence, Italy, 2010. [Google Scholar]
- Baldi, F.; Iannelli, R.; Pecorini, I.; Polettini, A.; Pomi, R.; Rossi, A. Influence of the pH control strategy and reactor volume on batch fermentative hydrogen production from the organic fraction of municipal solid waste. Waste Manag. Res. 2019, 37, 478–485. [Google Scholar] [CrossRef] [PubMed]
- Baldi, F.; Pecorini, I.; Iannelli, R. Comparison of single-stage and two-stage anaerobic co-digestion of food waste and activated sludge for hydrogen and methane production. Renew. Energy 2019, 143, 1755–1765. [Google Scholar] [CrossRef]
- Liu, F.; Fiencke, C.; Guo, J.; Lyu, T.; Dong, R.; Pfeiffer, E.-M. Optimisation of bioscrubber systems to simultaneously remove methane and purify wastewater from intensive pig farms. Environ. Sci. Pollut. Res. 2019, 26, 15847–15856. [Google Scholar] [CrossRef]
- Gebert, J.; Groengroeft, A.; Miehlich, G. Kinetics of microbial landfill methane oxidation in biofilters. Waste Manag. 2003, 23, 609–619. [Google Scholar] [CrossRef]
- Kjeldsen, P.; Scheutz, C. Landfill Gas Management by Methane Oxidation. In Solid Waste Landfilling; Elsevier: London, UK, 2018; pp. 477–497. ISBN 978-0-12-818336-6. [Google Scholar]
- Scheutz, C.; Pedersen, R.B.; Petersen, P.H.; Jørgensen, J.H.B.; Ucendo, I.M.B.; Mønster, J.G.; Samuelsson, J.; Kjeldsen, P. Mitigation of methane emission from an old unlined landfill in Klintholm, Denmark using a passive biocover system. Waste Manag. 2014, 34, 1179–1190. [Google Scholar] [CrossRef]
- Capanema, M.A.; Cabral, A.R. Evaluating Methane Oxidation Efficiencies in Experimental Landfill Biocovers by Mass Balance and Carbon Stable Isotopes. Water. Air. Soil Pollut. 2012, 223, 5623–5635. [Google Scholar] [CrossRef]
© 2020 by the authors. Licensee MDPI, Basel, Switzerland. This article is an open access article distributed under the terms and conditions of the Creative Commons Attribution (CC BY) license (http://creativecommons.org/licenses/by/4.0/).





