A Three-Zone Scavenging Model for Large Two-Stroke Uniflow Marine Engines Using Results from CFD Scavenging Simulations
Abstract
:1. Introduction
2. The Three-Zone Scavenging Model
3. Scope of Work
4. The Zero-Dimensional Engine Simulation Code
5. Implementation of the CFD Model
5.1. Numerical Procedure
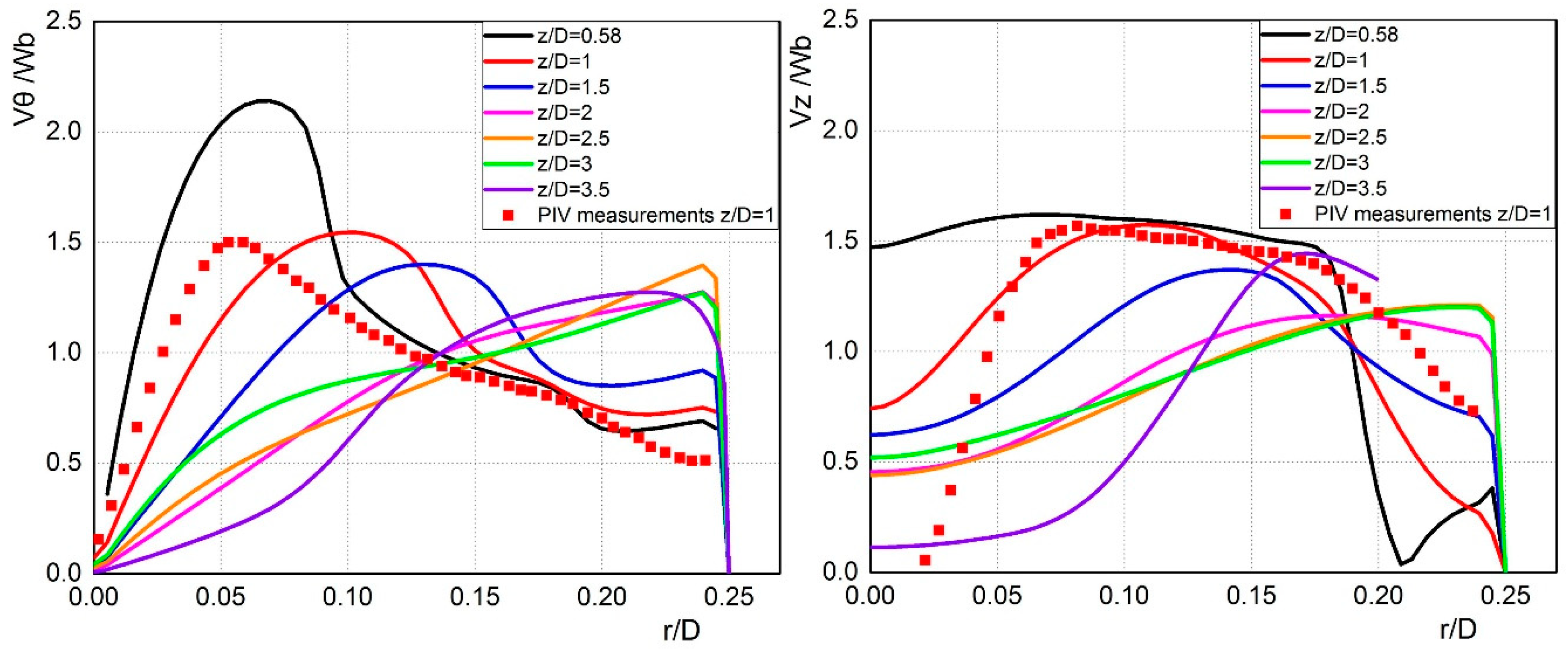
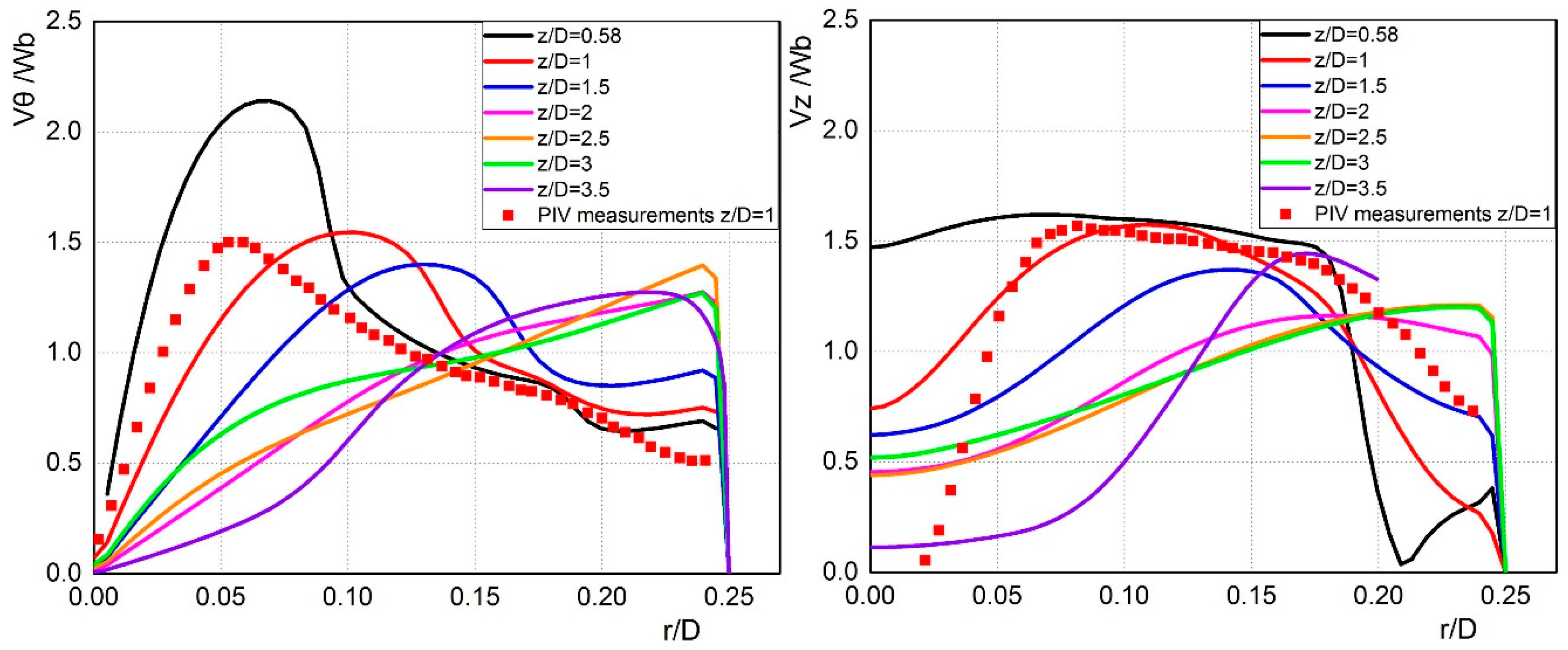
5.2. Initial and Boundary Conditions—Validation
5.3. Calculation of Zone Masses Based on CFD Results
6. CFD Results
- The jet impingement of air into the cylinder through the inlet ports
- Diffusion between exhaust gas and air at the interface between the two zones
- Flow separation at the inlet port’s edges and formation of recirculation zones.
6.1. Effect of Engine Load
6.2. Effect of Inlet Port Angle
6.3. Effect of Inlet Port Covering in Part by the Piston Crown
7. The Updated Three-Zone Scavenging Model
7.1. Air Penetration Coefficient
7.1.1. Parameter a
7.1.2. Parameter b
7.1.3. Parameter d
7.1.4. Parameter
7.2. Gas Penetration Coefficient
7.2.1. Parameter σ
7.2.2. Parameter kg
8. Validation of the Updated Three-Zone Model Against CFD Results
9. Conclusions
Author Contributions
Funding
Conflicts of Interest
Nomenclature
| Area, m2 | |
| Air penetration coefficientarameter | |
| Bottom de center | |
| Air penetration coefficientarameter | |
| Percentage of the inlet port area covered by the piston own | |
| Crank ang degrees | |
| Propeller law coefficient | |
| Air penetration coefficientarameter | |
| Exhaust gas recirculation | |
| Specific enthalpy, J/kg | |
| Inlet port oning | |
| Gas penetration coefficient parameter | |
| Mass flow rate, kg/sec | |
| Maximum continuous rating, kW | |
| Engine rotational speed, RPM | |
| Number of inlet ports | |
| Pressure, r | |
| Power, kW | |
| Heat flow, J | |
| Sm | Swirl number |
| Selective catalytic reduction | |
| Temperature, K | |
| Top dead center | |
| Specific energy, J/kg | |
| Volume, m3 | |
| Vθ | Tangential velocity component, m/s |
| Vz | Axial velocity component, m/s |
| Wb | Mean velocity at the axial position, m/s |
| Greek Characters | |
| Propeller law exponent | |
| Charging efficiency | |
| Scavenging efficiency | |
| Trapping efficiency | |
| Inlet port angle, ° | |
| Constant of the original three-zone model | |
| Constant of the original three-zone model | |
| Mixing coefficient | |
| Constant of the original three-zone model | |
| Density, kg/m3 | |
| Gas penetration coefficient parameter | |
| Dimensionless scavenging time | |
| Normalized scavenging time for second phase of mixing of air | |
| Normalized scavenging time for second phase of mixing of burnt gas | |
| End of first mixing phase for the air | |
| End of first mixing phase for the exhaust gas | |
| Crank angle, ° | |
| Geometric swirl numr | |
| Subscripts | |
| Air | |
| Airetained | |
| Air delivered | |
| Trapped cylinder charge | |
| Cylinder | |
| End of backflow | |
| End of first mixing phase | |
| Exhst receiver | |
| Exhaust valve | |
| Exhaust Gas | |
| Inlet port closing | |
| Different entries to the control volume | |
| Maximum continuous rating, kW | |
| Scavenge receiver | |
| Surfaces with different rates of heat traner | |
| Inleports | |
References
- MAN Diesel & Turbo. MAN B&W S50MC-C8.2 Tier II Project Guide; MAN Diesel & Turbo: Copenhagen, Denmark, 2014. [Google Scholar]
- Ferro, A. Investigation by means of models into the scavenging of the two-stroke internal combustion engines. Eng. Dig. 1958, 19, 512–522. [Google Scholar]
- Percival, W.H. Method of Scavenging Analysis for 2-Stroke-Cycle Diesel Cylinders. SAE Trans. 1995, 63, 737–751. [Google Scholar] [CrossRef]
- Sher, E.; Hossain, I.; Zhang, Q.; Winterbone, D. Calculations and measurements in the cylinder of a two-stroke uniflow-scavenged engine under steady flow conditions. Exp. Therm. Fluid Sci. 1991, 4, 418–431. [Google Scholar] [CrossRef]
- Litke, B. The influence of inlet angles in inlet ports on the scavenging process in two-stroke uniflow-scavenged engine. Trans. Built Environ. 1999, 45, 247–252. [Google Scholar]
- Wang, X.; Ma, J.; Zhao, H. Analysis of scavenge port designs and exhaust valve profiles on the in-cylinder flow and scavenging performance in a two-stroke boosted uniflow scavenged direct injection gasoline engine. Int. J. Engine Res. 2017, 19, 509–527. [Google Scholar] [CrossRef]
- Sher, E. Scavenging the two-stroke engine. Prog. Energy Combust. Sci. 1990, 16, 95–124. [Google Scholar] [CrossRef]
- Heywood, J.B.; Sher, E. Two-Stroke Cycle Engine: It’s Development, Operation and Design; Taylor & Francis Group: New York, NY, USA, 1999. [Google Scholar]
- Sigurdsson, E.; Ingvorsen, K.; Jensen, M.; Mayer, S.; Matlok, S.; Walther, J. Numerical analysis of the scavenge flow and convective heat transfer in large two-stroke marine diesel engines. Appl. Energy 2014, 123, 37–46. [Google Scholar] [CrossRef]
- Lamas, M.; Vidal, C.G.R. Computational Fluid Dynamics Analysis of the Scavenging Process in the MAN B&W 7S50MC Two-Stroke Marine Diesel Engine. J. Ship Res. 2012, 56, 154–161. [Google Scholar]
- Andersen, F.H.; Mayer, S. Parametric Study of the Scavenging Process in Marine Two-Stroke Diesel Engines. In Proceedings of the ASME Internal Combustion Engine Division Fall Technical Conference, Houston, TX, USA, 8–11 November 2015. [Google Scholar]
- Andersen, F.H.; Hult, J.; Nogenmyr, K.-J.; Mayer, S. CFD Analysis of the Scavenging Process in Marine Two-Stroke Diesel Engines. In Proceedings of the ASME Internal Combustion Engine Division Fall Technical Conference, Columbus, IN, USA, 19–22 October 2014. [Google Scholar]
- Sigurdsson, E. Scavenging Flow in a Two-Stroke Diesel Engine. Master’s Thesis, Technical University of Denmark, Copenhagen, Denmark, 2011. [Google Scholar]
- Obeidat, A.; Schnipper, T.; Ingvorsen, K.M.; Haider, S.; Meyer, K.E.; Mayer, S.; Walther, J.H. Large eddy simulations of the influence of piston position on the swirling flow in a model two-stroke diesel engine. Int. J. Numer. Methods Heat Fluid Flow 2014, 24, 325–341. [Google Scholar] [CrossRef]
- Kyrtatos, N.P.; Koumbarelis, I. A three-Zone scavenging model for two-stroke uniflow engines. J. Eng. Gas Turbines Power 1988, 110, 531–537. [Google Scholar] [CrossRef]
- Foteinos, M.; Konstantinidis, S.; Kyrtatos, N.; Busk, K.V. Simulation of the transient thermal response of a high pressure SCR aftertreatment system for a Tier III two-stroke marine diesel engine ASME. J. Eng. Gas Turbines Power 2019, 141. [Google Scholar] [CrossRef]
- Llamas, X.; Eriksson, L. Control-oriented modeling of two-stroke diesel engines with EGR for marine applications. Proc. Inst. Mech. Eng. Part M J. Eng. Marit. Environ. 2018, 1–24. [Google Scholar] [CrossRef]
- Chybowski, L.; Laskowski, R.; Gawdzińska, K. An overview of systems supplying water into the combustion chamber of diesel engines to decrease the amount of nitrogen oxides in exhaust gas. J. Mar. Sci. Technol. 2015, 20, 393–405. [Google Scholar] [CrossRef]
- Kyrtatos, N.; Koumbarelis, I. Performance prediction of next generation slow speed diesel engines during ship manoeuvres. Trans. Inst. Mar. Eng. 1994, 106, 1–26. [Google Scholar]
- Livanos, A.; Theotokatos, G.; Kyrtatos, N. Simulation of large marine two-stroke diesel engine operation during fire in the scavenging air receiver. J. Mar. Eng. Technol. 2003, A3, 9–16. [Google Scholar] [CrossRef]
- Theotokatos, G.; Kyrtatos, N.P. Diesel engine transient operation with turbocharger compressor surging. In Proceedings of the SAE 2001 World Congress, Detroit, MI, USA, 5–8 March 2001. [Google Scholar]
- Kyrtatos, N.; Theotokatos, G.; Xiros, N.; Marec, K.; Duge, R. Transient operation of large-bore two-stroke marine diesel engine powerplants: measurements and simulations. In Proceedings of the 23rd CIMAC World Congress, Hamburg, Germany, 7–10 May 2001. [Google Scholar]
- Anderson, J.D. Computational Fluid Dynamics; McGraw-Hill: New York, NY, USA, 1995. [Google Scholar]
- Ferziger, J.H.; Peric, M. Computarional Methods for Fluid Dynamics; Springer: New York, NY, USA, 2002. [Google Scholar]
- ANSYS, Inc. ANSYS Fluent Theory Guide (Release 15.0); ANSYS, Inc.: Canonsburg, PA, USA, 2013. [Google Scholar]
- ANSYS, Inc. ANSYS ICEM CFD User’s Manual (Release 17.0); ANSYS Inc.: Canonsburg, PA, USA, 2016. [Google Scholar]
- Foteinos, M.I.; Tzanos, E.I.; Kyrtatos, N.P. Ship Hull Fouling Estimation Using Shipboard Measurements, Models for Resistance Components, and Shaft Torque Calculation Using Engine Model. J. Ship Res. 2017, 61, 64–74. [Google Scholar] [CrossRef]
- Kyrtatos, N.; Tzanos, E.; Coustas, J.; Vastarouhas, D.; Rizos, E. Shipboard engine performance assessment by comparing actual measured data to nominal values produced by detailed engine simulations. In Proceedings of the CIMAC Congress, Bregen, Norway, 14–17 June 2010. [Google Scholar]
- Kyrtatos, N.; Glaros, S.; Tzanos, E.; Hatzigrigoris, S.; Dalmyras, F. Systematic evaluation of performance of VLCC engine, comparing service monitored data and thermodynamic model predictions. In Proceedings of the 27th CIMAC World Congress on Combustion Engine Technology, Shanghai, China, 13–16 May 2013. [Google Scholar]
- Andersen, F.H. Integrated Analysis of the Scavenging Process in Marine Two-Stroke Diesel Engines; DTU Mechanical Engineering: Copenhagen, Denmark, 2015. [Google Scholar]
- Ingvorsen, K.M.; Meyer, K.E.; Schnipper, T.; Jens, H.; Mayer, S. Swirling flow in model of large two-stroke diesel engine. In Proceedings of the 16th International Symposium on Applications of Laser Techniques to Fluid Mechanics, Lisbon, Portugal, 9–12 July 2012. [Google Scholar]
- Luca-Negro, O.; Doherty, T.O. Vortex breakdown: A review. Prog. Energy Combust. Sci. 2001, 27, 431–481. [Google Scholar] [CrossRef]
- Haider, S.; Schnipper, T.; Obeidat, A.; Meyer, K.E.; Okulov, V.L.; Mayer, S.; Walther, J.H. PIV study of the effect of piston position on the in-cylinder swirling flow during the scavenging process in large two-stroke marine diesel engines. J. Mar. Sci. Technol. 2013, 18, 133–143. [Google Scholar] [CrossRef]

















| Engine Model | MAN B&W 6S50ME | |
|---|---|---|
| Bore | 500 | mm |
| Stroke | 2000 | mm |
| No. of Cylinders | 6 | - |
| PMCR | 7620 | kW |
| NMCR | 115 | RPM |
| Scavenging | Uniflow | |
| Ports per cylinder | 30 | |
| Engine Load | 100% | 75% | 50% | 25% |
|---|---|---|---|---|
| N [RPM] | 115.3 | 105 | 91.5 | 73 |
| pcyl at 76° CA [bar] | 14.8 | 11.7 | 8.81 | 5.6 |
| Tcyl at 76° CA [K] | 1239 | 1186 | 1163 | 1020 |
| pscav [bar] | 3.90 | 3.15 | 2.20 | 1.48 |
| pexh [bar] | 3.80 | 3.08 | 2.15 | 1.45 |
| CO2 mass fraction | 0.133 | 0.129 | 0.129 | 0.115 |
| H2O mass fraction | 0.049 | 0.0475 | 0.0475 | 0.0423 |
| Air mass fraction | 0.358 | 0.376 | 0.376 | 0.444 |
| Engine Load | 100% | 75% | 50% | 25% |
|---|---|---|---|---|
| N [RPM] | 115.3 | 105 | 91.5 | 73 |
| P [kW] | 7620 | 5710 | 3800 | 1900 |
| pscav [bar] | 3.90 | 3.15 | 2.20 | 1.48 |
| pexh [bar] | 3.80 | 3.08 | 2.15 | 1.45 |
| Δp [bar] | 0.1 | 0.07 | 0.05 | 0.03 |
| ρscav [kg/m3] | 4.34 | 3.54 | 2.47 | 1.66 |
| Scavenging time with reference to 25% load | 0.63 | 0.7 | 0.8 | 1 |
© 2019 by the authors. Licensee MDPI, Basel, Switzerland. This article is an open access article distributed under the terms and conditions of the Creative Commons Attribution (CC BY) license (http://creativecommons.org/licenses/by/4.0/).
Share and Cite
Foteinos, M.I.; Papazoglou, A.; Kyrtatos, N.P.; Stamatelos, A.; Zogou, O.; Stamatellou, A.-M. A Three-Zone Scavenging Model for Large Two-Stroke Uniflow Marine Engines Using Results from CFD Scavenging Simulations. Energies 2019, 12, 1719. https://doi.org/10.3390/en12091719
Foteinos MI, Papazoglou A, Kyrtatos NP, Stamatelos A, Zogou O, Stamatellou A-M. A Three-Zone Scavenging Model for Large Two-Stroke Uniflow Marine Engines Using Results from CFD Scavenging Simulations. Energies. 2019; 12(9):1719. https://doi.org/10.3390/en12091719
Chicago/Turabian StyleFoteinos, Michael I., Alexandros Papazoglou, Nikolaos P. Kyrtatos, Anastassios Stamatelos, Olympia Zogou, and Antiopi-Malvina Stamatellou. 2019. "A Three-Zone Scavenging Model for Large Two-Stroke Uniflow Marine Engines Using Results from CFD Scavenging Simulations" Energies 12, no. 9: 1719. https://doi.org/10.3390/en12091719
APA StyleFoteinos, M. I., Papazoglou, A., Kyrtatos, N. P., Stamatelos, A., Zogou, O., & Stamatellou, A.-M. (2019). A Three-Zone Scavenging Model for Large Two-Stroke Uniflow Marine Engines Using Results from CFD Scavenging Simulations. Energies, 12(9), 1719. https://doi.org/10.3390/en12091719

