Characterization of Pore Throat Size Distribution in Tight Sandstones with Nuclear Magnetic Resonance and High-Pressure Mercury Intrusion
Abstract
1. Introduction
2. Methodology Description
2.1. Linear Conversion Method
2.2. Nonlinear Conversion Method
3. Experiments
3.1. Core Samples
3.2. QUEMSCAN, NMR, and HPMI Measurements
4. PTSD Analysis with NMR, HPMI, and QUEMSCAN
5. PTSD Conversion Results
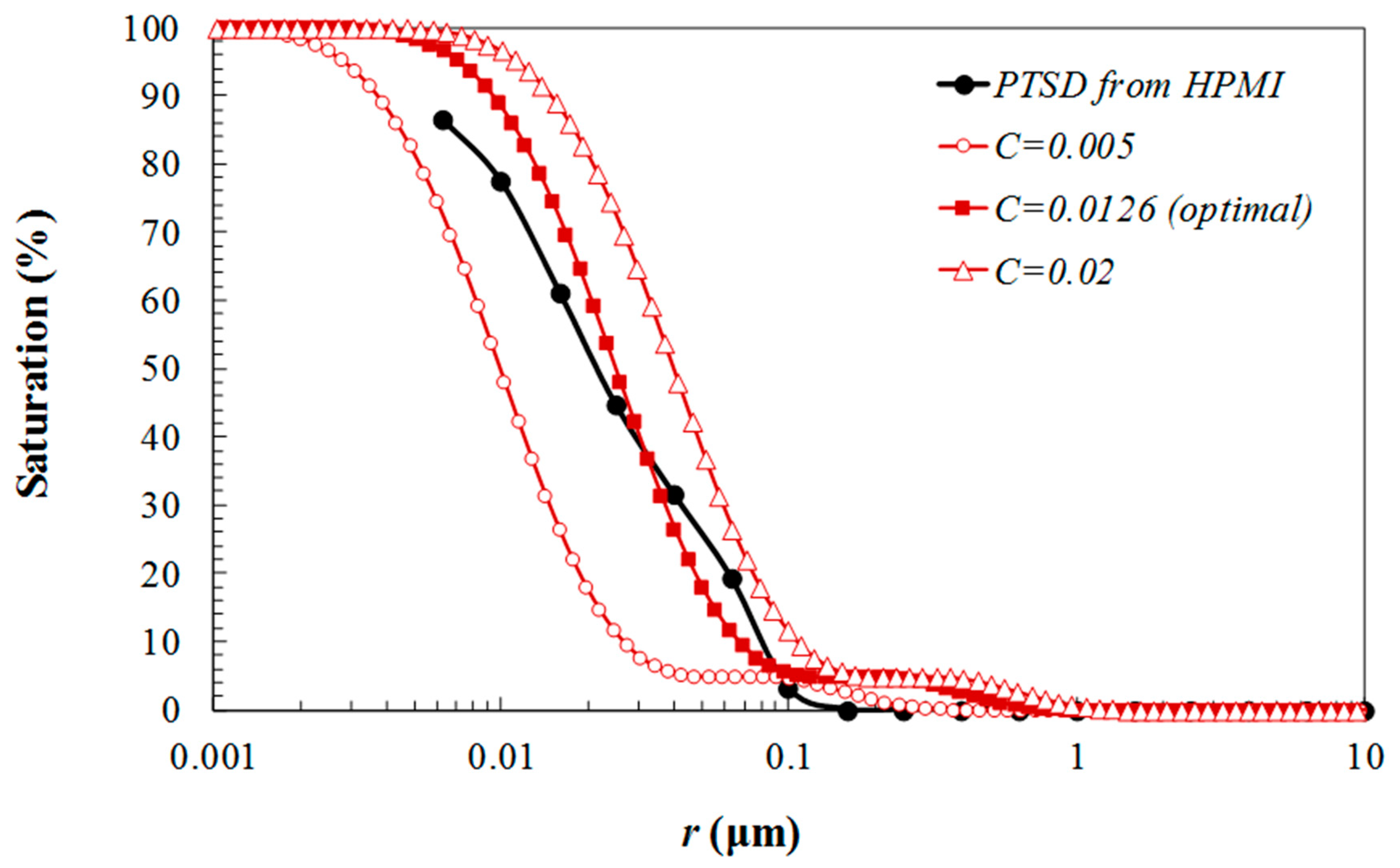
5.1. Linear Conversion Results
5.2. Nonlinear Conversion Results
5.3. Discussions
6. Case Study
7. Conclusions
- The obtained linear conversion coefficients for tight sandstone core plugs studied in this paper vary from 0.0068 μm/ms to 0.0266 μm/ms, with an average value of 0.0133 μm/ms.
- The nonlinear conversion coefficients vary from 0.0028 μm/ms to 0.0249 μm/ms with an average value of 0.0093 μm/ms, and the exponents change from 0.37 to 0.89 with an average value of 0.725. With RQI increasing, the exponents increase logarithmically and approach to 1.
- The PTSD obtained from NMR spectra by the nonlinear conversion method is wider than that obtained from linear conversion method, but the nonlinear conversion method can retain some special characteristics of PTSD, such as bi-modal distribution.
Author Contributions
Funding
Acknowledgments
Conflicts of Interest
References
- Jia, C.; Zou, C.; Li, J.; Li, D.; Zheng, M. Assessment criteria, main types, basic features and resource prospects of the tight oil in China. Acta Pet. Sin. 2012, 33, 343–350. [Google Scholar]
- Zou, C.; Zhu, R.; Bai, B.; Yang, Z.; Hou, L.; Zha, M.; Fu, J.; Shao, Y.; Liu, K.; Cao, H.; et al. Significance, Geologic Characteristics, Resource Potential and Future Challenges of Tight Oil and Shale Oil. Bull. Mineral. Petrol. Geochem. 2015, 34, 3–17. [Google Scholar]
- Wang, F.; Zhao, J. A mathematical model for co-current spontaneous water imbibition into oil-saturated tight sandstone: Upscaling from pore-scale to core-scale with fractal approach. J. Pet. Sci. Eng. 2019, 17, 376–388. [Google Scholar] [CrossRef]
- Wanniarachchi, W.; Ranjith, P.G.; Perera, M.; Lashin, A.; Al Arifi, N.; Li, J.C. Current opinions on foam-based hydro-fracturing in deep geological reservoirs. Geomech. Geophys. Geo-Energy Geo-Resour. 2015, 1, 121–134. [Google Scholar] [CrossRef]
- Wang, F.; Yang, K.; Cai, J. Fractal Characterization of Tight Oil Reservoir Pore Structure Using Nuclear Magnetic Resonance and Mercury Intrusion Porosimetry. Fractals 2018, 26, 1840017. [Google Scholar] [CrossRef]
- Ngo, V.T.; Lu, V.D.; Le, V.M. A comparison of permeability prediction methods using core analysis data for sandstone and carbonate reservoirs. Geomech. Geophys. Geo-Energy Geo-Resour. 2018, 4, 129–139. [Google Scholar] [CrossRef]
- Yao, Y.; Liu, D. Comparison of low-field NMR and mercury intrusion porosimetry in characterizing pore size distributions of coals. Fuel 2012, 95, 152–158. [Google Scholar] [CrossRef]
- Fang, T.; Zhang, L.; Liu, N.; Zhang, L.; Wang, W.; Yu, L.; Li, C.; Lei, Y. Quantitative characterization of pore structure of the Carboniferous–Permian tight sandstone gas reservoirs in eastern Linqing depression by using NMR technique. Pet. Res. 2018, 3, 110–123. [Google Scholar] [CrossRef]
- Anovitz, L.M.; Cole, D.R. Characterization and Analysis of Porosity and Pore Structures. Rev. Mineral. Geochem. 2015, 80, 61–164. [Google Scholar] [CrossRef]
- Wang, F.; Jiao, L.; Liu, Z.; Tan, X.; Wang, C.; Gao, J. Fractal Analysis of Pore Structures in Low Permeability Sandstones Using Mercury Intrusion Porosimetry. J. Porous Media 2018, 21, 1097–1119. [Google Scholar] [CrossRef]
- Wu, H.; Zhang, C.; Ji, Y.; Liu, R.; Cao, S.; Chen, S.; Zhang, Y.; Wang, Y.; Du, W.; Liu, G. Pore throat characteristics of tight sandstone of Yanchang Formation in eastern Gansu, Ordos Basin. Pet. Res. 2018, 3, 33–43. [Google Scholar] [CrossRef]
- Wang, F.; Lian, P.; Jiao, L.; Liu, Z.; Zhao, J.; Gao, J. Fractal Analysis of Microscale and Nanoscale Pore Structures in Carbonates Using High-Pressure Mercury Intrusion. Geofluids 2018, 2018, 4023150. [Google Scholar] [CrossRef]
- Gane, P.A.C.; Ridgway, C.J.; Lehtinen, E.; Valiullin, R.; Furó, I.; Schoelkopf, J.; Paulapuro, H.; Daicic, J. Comparison of NMR Cryoporometry, Mercury Intrusion Porosimetry, and DSC Thermoporosimetry in Characterizing Pore Size Distributions of Compressed Finely Ground Calcium Carbonate Structures. Ind. Eng. Chem. Res. 2004, 43, 7920–7927. [Google Scholar] [CrossRef]
- Mao, Z.Q.; Yu-Dan, H.E.; Ren, X.J. An Improved Method of Using NMR T2 Distribution to Evaluate Pore Size Distribution. Chin. J. Geophys. 2005, 48, 412–418. [Google Scholar] [CrossRef]
- Daigle, H.; Johnson, A. Combining Mercury Intrusion and Nuclear Magnetic Resonance Measurements Using Percolation Theory. Transp. Porous Media 2016, 111, 669–679. [Google Scholar] [CrossRef]
- Gong, Y.; Liu, S.; Zhao, M.; Xie, H.; Liu, K. Characterization of micro pore throat radius distribution in tight oil reservoirs by NMR and high pressure mercury injection. Pet. Geol. Exp. 2016, 38, 389–394. [Google Scholar]
- Li, X.; Kang, Y.; Haghighi, M. Investigation of pore size distributions of coals with different structures by nuclear magnetic resonance (NMR) and mercury intrusion porosimetry (MIP). Measurement 2018, 116, 122–128. [Google Scholar] [CrossRef]
- Marschall, D.; Gardner, J.S.; Mardon, D.; Coates, G.R. Method for correlating NMR relaxometry and mercury injection data. In Proceedings of the Transactions of the 1995 Symposium SCA, San Francisco, CA, USA, 12–14 September 1995. Paper 9511. [Google Scholar]
- Volokitin, Y.; Looyestijn, W.J.; Slijkerman, W.F.J.; Hofman, J.P. A practical approach to obtain primary drainage capillary pressure curves from NMR core and log data. Petrophysics 2001, 42, 334–343. [Google Scholar]
- Wang, X.W.; Yang, Z.M.; Hai-Bo, L.I.; Guo, H.K. Experimental study on pore structure of low permeability core with NMR spectra. J. Southwest Pet. Univ. 2010, 32, 69–72. [Google Scholar]
- Li, A.; Ren, X.; Wang, G.; Wang, Y.; Jiang, K. Characterization of pore structure of low permeability reservoirs using a nuclear magnetic resonance method. J. China Univ. Pet. 2015, 6, 92–98. [Google Scholar]
- Xiao, L.; Zou, C.; Mao, Z.; Jin, Y.; Zhu, J. A new technique for synthetizing capillary pressure (Pc) curves using NMR logs in tight gas sandstone reservoirs. J. Pet. Sci. Eng. 2016, 145, 493–501. [Google Scholar] [CrossRef]
- Washburn, E.W. The dynamics of capillary flow. Phys. Rev. 1921, 17, 273. [Google Scholar] [CrossRef]
- Coates, G.R.; Xiao, L.; Prammer, M.G. NMR Logging: Principles and Applications; Haliburton Energy Services Houston: Houston, TX, USA, 1999. [Google Scholar]
- Hiller, T.; Klitzsch, N. Joint inversion of nuclear magnetic resonance data from partially saturated rocks using a triangular pore model. Geophysics 2018, 83, JM15–JM28. [Google Scholar] [CrossRef]
- Amaefule, J.O.; Altunbay, M.; Tiab, D.; Kersey, D.G.; Keelan, D.K. Enhanced Reservoir Description: Using Core and Log Data to Identify Hydraulic (Flow) Units and Predict Permeability in Uncored Intervals/Wells. In Proceedings of the SPE Annual Technical Conference and Exhibition, Houston, TX, USA, 3–6 October 1993. [Google Scholar]
- Soeder, D.J.; Randolph, P.L. Porosity, Permeability, and Pore Structure of the Tight Mesaverde Sandstone, Piceance Basin, Colorado. SPE Form. Eval. 1987, 2, 129–136. [Google Scholar] [CrossRef]














| Zone | Core No. | Porosity (%) | (mD) | (ms) | (μm) | RQI (μm) | FZI (μm) | |
|---|---|---|---|---|---|---|---|---|
| A | A24 | 8.500 | 8.500 | 0.062 | 8.264 | 0.142 | 0.027 | 0.289 |
| A48 | 7.400 | 6.700 | 0.097 | 18.649 | 0.176 | 0.036 | 0.450 | |
| A51 | 7.300 | 6.800 | 0.098 | 15.052 | 0.176 | 0.036 | 0.462 | |
| A58 | 7.700 | 7.100 | 0.099 | 17.262 | 0.209 | 0.036 | 0.427 | |
| Max | 8.500 | 8.500 | 0.099 | 18.649 | 0.209 | 0.036 | 0.462 | |
| Min | 7.300 | 6.700 | 0.062 | 8.264 | 0.142 | 0.027 | 0.289 | |
| Avrg | 7.725 | 7.275 | 0.089 | 14.807 | 0.176 | 0.034 | 0.407 | |
| B | B17 | 8.100 | 8.100 | 0.037 | 4.891 | 0.095 | 0.021 | 0.241 |
| B19 | 7.100 | 6.600 | 0.028 | 3.311 | 0.073 | 0.020 | 0.258 | |
| B45 | 11.500 | 10.900 | 0.217 | 8.772 | 0.187 | 0.043 | 0.332 | |
| B114 | 2.100 | 1.900 | 0.003 | 1.436 | - | 0.012 | 0.553 | |
| Max | 11.500 | 10.900 | 0.217 | 8.772 | 0.187 | 0.043 | 0.553 | |
| Min | 2.100 | 1.900 | 0.003 | 1.436 | 0.073 | 0.012 | 0.241 | |
| Avrg | 7.200 | 6.875 | 0.071 | 4.603 | 0.118 | 0.024 | 0.346 | |
| H | H66 | 5.200 | 5.200 | 0.031 | 7.250 | 0.183 | 0.024 | 0.442 |
| H90 | 6.200 | 6.000 | 0.103 | 11.595 | 0.266 | 0.040 | 0.612 | |
| H91 | 9.400 | 9.400 | 0.214 | 22.273 | 0.422 | 0.047 | 0.457 | |
| H94 | 10.000 | 9.900 | 0.262 | 17.148 | 0.384 | 0.051 | 0.457 | |
| Max | 10.000 | 9.900 | 0.262 | 22.273 | 0.422 | 0.051 | 0.612 | |
| Min | 5.200 | 5.200 | 0.031 | 7.250 | 0.183 | 0.024 | 0.442 | |
| Avrg | 7.700 | 7.625 | 0.153 | 14.567 | 0.314 | 0.041 | 0.492 | |
| Y | Y15 | 11.200 | 10.900 | 0.105 | 8.147 | 0.149 | 0.030 | 0.241 |
| Y53 | 11.000 | 10.400 | 0.115 | 7.071 | 0.163 | 0.032 | 0.260 | |
| Y64 | 9.700 | 7.600 | 0.008 | 3.218 | 0.061 | 0.009 | 0.084 | |
| Y75 | 12.200 | 11.800 | 0.075 | 6.462 | 0.118 | 0.025 | 0.177 | |
| Max | 12.200 | 11.800 | 0.115 | 8.147 | 0.163 | 0.032 | 0.260 | |
| Min | 9.700 | 7.600 | 0.008 | 3.218 | 0.061 | 0.009 | 0.084 | |
| Avrg | 11.025 | 10.175 | 0.076 | 6.225 | 0.123 | 0.024 | 0.191 | |
| Z | Z33 | 7.900 | 7.700 | 0.044 | 3.544 | 0.097 | 0.023 | 0.273 |
| Z39 | 3.700 | 3.100 | 0.007 | 2.227 | 0.032 | 0.014 | 0.355 | |
| Z47 | 4.700 | 4.300 | 0.005 | 1.971 | 0.040 | 0.010 | 0.208 | |
| Z92 | 4.900 | 4.600 | 0.005 | 1.277 | 0.028 | 0.010 | 0.195 | |
| Max | 7.900 | 7.700 | 0.044 | 3.544 | 0.097 | 0.023 | 0.355 | |
| Min | 3.700 | 3.100 | 0.005 | 1.277 | 0.028 | 0.010 | 0.195 | |
| Avrg | 5.300 | 4.925 | 0.015 | 2.255 | 0.049 | 0.014 | 0.258 | |
| Mineral | Content (%) | ||||
|---|---|---|---|---|---|
| A24 | B19 | H90 | Y15 | Z33 | |
| quartz | 30.92 | 52.09 | 30.37 | 53.43 | 33.54 |
| albite | 31.22 | 14.5 | 30.02 | 14.63 | 25.88 |
| illite | 3.07 | 9.48 | 4.36 | 7.47 | 9.2 |
| K-feldspar | 8.68 | 7.18 | 13.8 | 5.31 | 9.58 |
| chlorite | 9.39 | 3.68 | 6.08 | 2.44 | 9.86 |
| muscovite | 1.17 | 2.74 | 1.05 | 2.45 | 2.22 |
| dolomite | 0.01 | 2.61 | 0.01 | 4.05 | 2.61 |
| biotite | 1.43 | 1.24 | 2.01 | 0.78 | 1.91 |
| siderite | 0 | 1.25 | 0 | 0.97 | 0 |
| kaolinite | 7.62 | 1.2 | 1.92 | 1.04 | 0.57 |
| calcite | 4.14 | 2.41 | 8.25 | 1.73 | 3.06 |
| rutile | 0.56 | 0.3 | 0.12 | 0.27 | 0.32 |
| apatite | 0.43 | 0.23 | 0.18 | 0.18 | 0.27 |
| smectite | 0.13 | 0.14 | 0.14 | 0.14 | 0.13 |
| paragonite | 0.03 | 0.04 | 0.01 | 0.03 | 0.01 |
| ankerite | 0 | 0.05 | 0 | 0.07 | 0 |
| pyrite | 0.03 | 0.03 | 0.02 | 0.03 | 0.03 |
| gypsum/anhydrite | 0.01 | 0 | 0 | 0 | 0 |
| andesine | 0 | 0.01 | 0.01 | 0.01 | 0.01 |
| other | 1.16 | 0.82 | 1.65 | 4.97 | 0.8 |
| Core No. | Optimal C (μm/ms) | Total Error (μm) |
|---|---|---|
| A24 | 0.0101 | 6.48 |
| A48 | 0.0068 | 8.27 |
| A51 | 0.0072 | 7.43 |
| A58 | 0.0071 | 6.98 |
| B17 | 0.0153 | 6.12 |
| B19 | 0.0185 | 5.96 |
| B45 | 0.0143 | 7.08 |
| H66 | 0.0266 | 7.04 |
| H90 | 0.0113 | 6.06 |
| H91 | 0.0077 | 5.47 |
| H94 | 0.0091 | 6.89 |
| Y15 | 0.0123 | 9.78 |
| Y53 | 0.0151 | 10.15 |
| Y64 | 0.0105 | 6.31 |
| Y75 | 0.0116 | 9.46 |
| Z33 | 0.0225 | 4.4 |
| Z39 | 0.0126 | 6.9 |
| Z47 | 0.0198 | 7.83 |
| Z92 | 0.0152 | 8.92 |
| Core No. | Nonlinear Conversion Coefficient | Exponent | Determination Coefficient |
|---|---|---|---|
| A24 | 0.0059 | 0.787 | 0.91 |
| A48 | 0.0028 | 0.787 | 0.92 |
| A51 | 0.0050 | 0.896 | 0.93 |
| A58 | 0.0028 | 0.771 | 0.93 |
| B17 | 0.0103 | 0.755 | 0.90 |
| B19 | 0.0130 | 0.766 | 0.89 |
| B45 | 0.0095 | 0.754 | 0.91 |
| H66 | 0.0104 | 0.805 | 0.93 |
| H90 | 0.0039 | 0.723 | 0.95 |
| H91 | 0.0034 | 0.837 | 0.96 |
| H94 | 0.0058 | 0.852 | 0.94 |
| Y15 | 0.0103 | 0.767 | 0.89 |
| Y53 | 0.0117 | 0.797 | 0.89 |
| Y64 | 0.0062 | 0.710 | 0.89 |
| Y75 | 0.0129 | 0.819 | 0.87 |
| Z33 | 0.0114 | 0.643 | 0.93 |
| Z39 | 0.0053 | 0.403 | 0.91 |
| Z47 | 0.0249 | 0.534 | 0.75 |
| Z92 | 0.0206 | 0.370 | 0.68 |
| Core No. | Derived from HPMI (μm) | Linear Conversion Results | Nonlinear Conversion Results | ||
|---|---|---|---|---|---|
| (μm) | Error (%) | (μm) | Error (%) | ||
| A48 | 0.176 | 0.149 | 15.0 | 0.185 | 5.3 |
| B17 | 0.095 | 0.099 | 4.0 | 0.101 | 6.7 |
| Z33 | 0.095 | 0.092 | 3.6 | 0.094 | 0.7 |
| Z39 | 0.032 | 0.025 | 23.5 | 0.039 | 21.8 |
© 2019 by the authors. Licensee MDPI, Basel, Switzerland. This article is an open access article distributed under the terms and conditions of the Creative Commons Attribution (CC BY) license (http://creativecommons.org/licenses/by/4.0/).
Share and Cite
Xu, H.; Fan, Y.; Hu, F.; Li, C.; Yu, J.; Liu, Z.; Wang, F. Characterization of Pore Throat Size Distribution in Tight Sandstones with Nuclear Magnetic Resonance and High-Pressure Mercury Intrusion. Energies 2019, 12, 1528. https://doi.org/10.3390/en12081528
Xu H, Fan Y, Hu F, Li C, Yu J, Liu Z, Wang F. Characterization of Pore Throat Size Distribution in Tight Sandstones with Nuclear Magnetic Resonance and High-Pressure Mercury Intrusion. Energies. 2019; 12(8):1528. https://doi.org/10.3390/en12081528
Chicago/Turabian StyleXu, Hongjun, Yiren Fan, Falong Hu, Changxi Li, Jun Yu, Zhichao Liu, and Fuyong Wang. 2019. "Characterization of Pore Throat Size Distribution in Tight Sandstones with Nuclear Magnetic Resonance and High-Pressure Mercury Intrusion" Energies 12, no. 8: 1528. https://doi.org/10.3390/en12081528
APA StyleXu, H., Fan, Y., Hu, F., Li, C., Yu, J., Liu, Z., & Wang, F. (2019). Characterization of Pore Throat Size Distribution in Tight Sandstones with Nuclear Magnetic Resonance and High-Pressure Mercury Intrusion. Energies, 12(8), 1528. https://doi.org/10.3390/en12081528
