A Fuzzy Synthetic Evaluation Method of Flame Stability Based on Time–Frequency Analysis and Higher-Order Statistics
Abstract
:1. Introduction
2. Methods
2.1. Bi-Spectrum Analysis
2.1.1. Bi-Spectrum Definition and Phase Information
2.1.2. Parameterized Bi-Spectral Estimation
2.2. Fuzzy Synthetic Evaluation
- (1)
- determining the factor set, the evaluation set, and the weight set;
- (2)
- fuzzy evaluation of single factor;
- (3)
- synthetic evaluation.
2.2.1. Establishment of Fuzzy Sets
2.2.2. Fuzzy Evaluation of a Single Factor
2.2.3. Synthetic Evaluation
3. Experimental Setup and Process
3.1. Signal Acquisition System
3.2. Combustion Experimental System
4. Characteristics Parameters Extraction
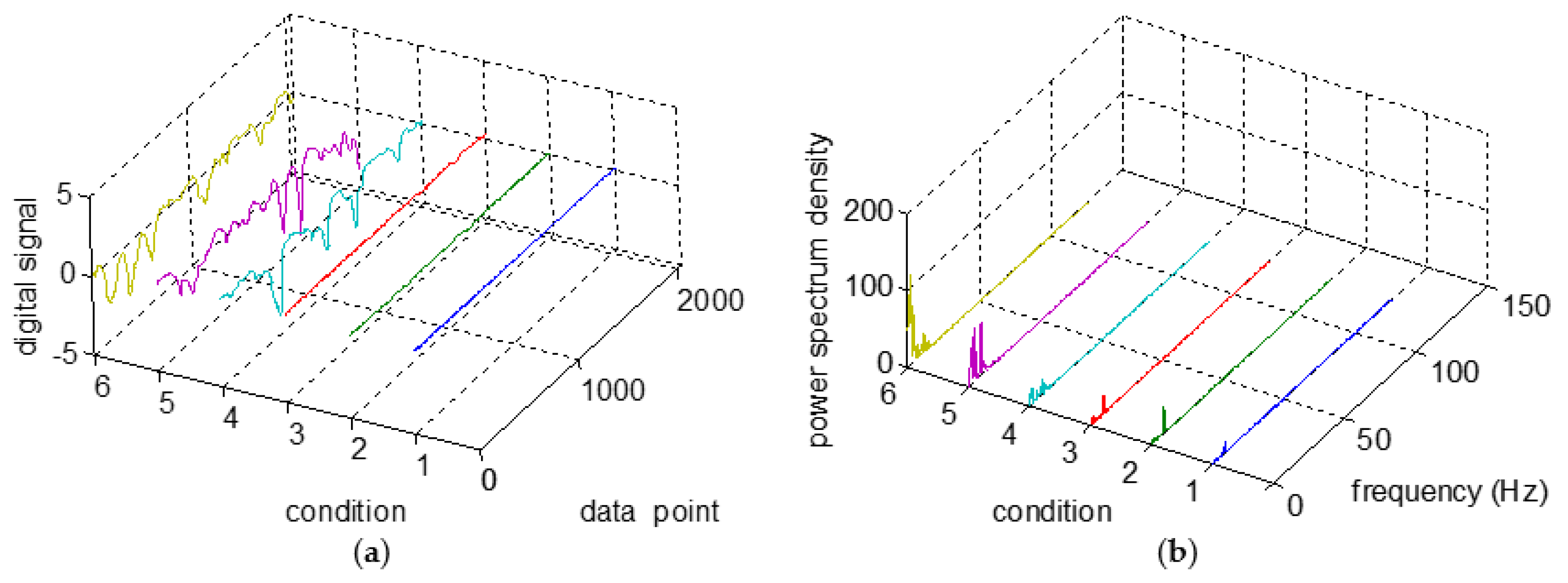
4.1. Time–Frequency Statistics
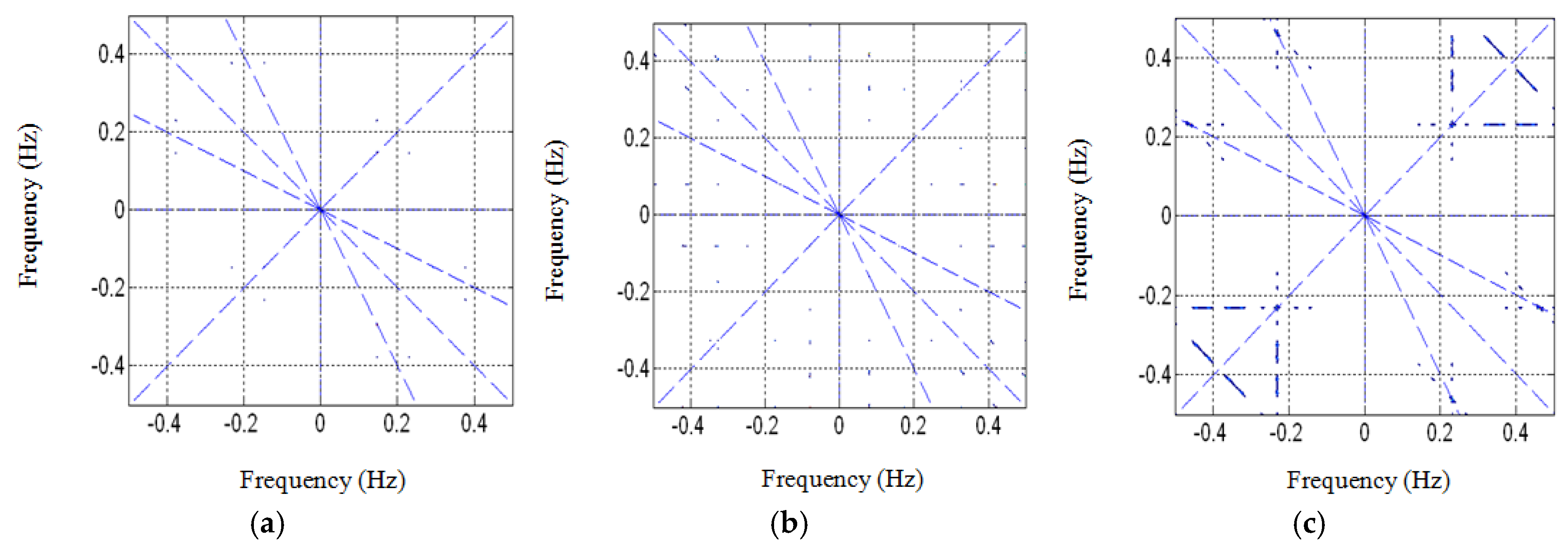
4.2. Bi-Spectrum Analysis Statistics
5. Fuzzy Synthetic Evaluation on Flame Instability
6. Conclusions
Author Contributions
Funding
Conflicts of Interest
References
- Yan, B.; Li, B.; Baudoin, E.; Liu, C.; Sun, Z.W.; Li, Z.S.; Bai, X.S.; Aldén, M.; Chen, G.; Mansour, M.S. Structures and Stabilization of Low Calorific Value Gas Turbulent Partially Premixed Flames in a Conical Burner. Exp. Therm. Fluid Sci. 2010, 34, 412–419. [Google Scholar] [CrossRef]
- Moore, J.; Risha, G.; Kuo, K.; Zhang, B. Stability of Methane/Oxygen Coaxial Diffusion Flame. In Proceedings of the 39th AIAA/ASME/SAE/ASEE Joint Propulsion Conference and Exhibit, Huntsville, AL, USA, 20–23 July 2003. [Google Scholar]
- Komarek, T.; Polifke, W. Impact of Swirl Fluctuation on the Flame Response of a Perfectly Premixed Swirl Burner. J. Eng. Gas Turb. Power 2009, 132, 845–853. [Google Scholar]
- Lilleberg, B.; Ertesvag, I.S.; Rian, K.E. Modeling Instabilities in Lean Premixed Turbulent Combustors Using Detailed Chemical Kinetics. Combust. Sci. Technol. 2009, 181, 1107–1122. [Google Scholar] [CrossRef]
- Voigt, T.; Habisreuther, P.; Zarzalis, N. Simulation of Vorticity Driven Flame Instability Using a Flame Surface Density Approach Including Markstein Number Effects. In Proceedings of the ASME Turbo Expo 2009: Power for Land, Sea, and Air, Orlando, FL, USA, 8–12 June 2009. [Google Scholar]
- Huang, Y.; Yan, Y.; Lu, G.; Reed, A. Online Flicker Measurement of gaseous Flame by Image Processing and Spectral Analysis. Meas. Sci. Technol. 1999, 10, 726–733. [Google Scholar] [CrossRef]
- Xu, L.; Yan, Y.; Cornwell, S.; Riley, G. Online Fuel Identification Using Digital Signal Processing and Soft-Computing Techniques. In Proceedings of the IMTC2003, Vail, CO, USA, 20–22 May 2003; pp. 1114–1118. [Google Scholar]
- Li, J.; Liu, S.; Lei, J.; Huang, Y.; Li, Z.; Wang, F.; Wang, Z. Compositive Assessment Model of Flame Combustion Stability Based on Grey Theory. In Proceedings of the 2010 International Conference on Optoelectronics and Image Processing, Hainan, China, 11–12 November 2010. [Google Scholar]
- Sahu, K.B.; Kundu, A.; Ganguly, R.; Datta, A. Effects of Fuel Type and Equivalence Ratios on the Flickering of Triple Flames. Combust. Flame 2009, 156, 484–493. [Google Scholar] [CrossRef]
- Spector, Y.; Jacobson, E. Novel technology for flame and gas detection in the petrochemical industry. Proc. SPIE 1999, 3538, 256–268. [Google Scholar] [CrossRef]
- Huang, Y.; Liu, S.; Li, J.; Lei, J. The Identification of the Flame Combustion Stability Based on the Mahalanobis Distance. Appl. Mech. Mater. 2011, 48–49, 1256–1260. [Google Scholar] [CrossRef]
- Zhou, G.; Qin, J.; Sun, Y.; Li, Z.; Luo, Z.; Zhou, H. Experimental Detection of Radiative Energy Signal From a Supercharged Marine Boiler and Simulation on its Application in Control of Drum Water Level. Appl. Eng. 2011, 31, 3168–3175. [Google Scholar]
- Lv, Z.Z.; Shen, J. Flame Detection and Combustion Diagnosis Technique for Utility Boiler. Boil. Technol. 1997, 5, 8–14. (In Chinese) [Google Scholar]
- Ma, J.; Yu, Y.F.; Fan, H.J. Research on Flame Detection and Combustion Diagnosis Based on Spectrum Analysis and with Self Organized Neural Networks. Power Eng. 2004, 6, 2020–2025. (In Chinese) [Google Scholar]
- Ao, L.M.; Li, J.H.; Song, X. An Investigation of the Flame Detection Method based on Self-Adaptive Wavelet Conversion. J. Eng. Therm. Energy Power 2006, 21, 594–601. (In Chinese) [Google Scholar]
- Chi, T.; Zhang, H. On-line Tracking of Pulverized Coal and Biomass Fuels Through Flame Spectrum Analysis. Chin. J. Sci. Instrum. 2007, 28, 2008–2013. (In Chinese) [Google Scholar]
- Shang, H.; Li, J. The Evaluation of Industrial Group’s Synergetic Capacity Based on Multi-layer Fuzzy Synthetic Model. J. Converg. Inf. Technol. 2011, 6, 58–66. [Google Scholar]
- Huang, S.; Yang, Y. A Study on Evaluation System of Bridge Technical Condition Based on Fuzzy Synthetic Judgment. In Proceedings of the 2011 International Conference on Electric Technology and Civil Engineering, Lushan, China, 22–24 April 2011; pp. 4755–4758. [Google Scholar]
- Swami, A.; Mendel, J.M.; Nikias, C.L. Higher-Order Spectral Analysis Toolbox User’s Guide; The Math Works Inc.: Natick, MA, USA, 1998. [Google Scholar]
- Hickey, D.; Worden, K.; Platten, M.F.; Wright, J.R.; Cooper, J.E. Higher-order Spectra for Identification of Nonlinear Modal Coupling. Mech. Syst. Signal Process. 2009, 23, 1037–1061. [Google Scholar]
- Choudhury, M.S.; Shah, S.L.; Thornhill, N.F. Diagnosis of Poor Control-loop Performance Using Higher-order Statistics. Automatica 2004, 40, 1719–1728. [Google Scholar]
- Zadeh, L.A. Fuzzy Sets and Fuzzy Information-Granulation Theory: Key Selected Papers by; Beijing Normal University Press: Beijing, China, 2005. [Google Scholar]
- Zang, C.W.; Huang, H.W.; Zhang, Z.X. Forecasting the Strata Condition of a Long Road Tunnel by Using Fuzzy Synthetic Judgment. Int. J. Rock Mech. Min. Sci. 2004, 41, 1–6. [Google Scholar] [CrossRef]
- Xu, L.; Yan, Y.; Cornwell, S.; Riley, G. On-line Fuel Identification Using Digital Signal Processing and Fuzzy Inference Techniques. IEEE Trans. Instrum. Meas. 2004, 53, 1316–1320. [Google Scholar] [CrossRef]
- Xu, L.; Yan, Y.; Cornwell, S.; Riley, G. Online Fuel Tracking by Combining Principal Component Analysis and Neural Network Techniques. IEEE Trans. Instrum. Meas. 2005, 54, 1640–1645. [Google Scholar] [CrossRef]
- Hua, Y.P.; Zou, Y.; Lv, Z.Z. A Comprehensive Survey of Flame Detection Techniques Used in Modern Coal-fired Utility Boilers. J. Eng. Therm. Energy Power 2001, 16, 1–5. (In Chinese) [Google Scholar]
- Cai, G.; Zhu, M. Moment Inequality and Complete Convergence of ρ Mixing Sequences. J. Chongqing Univ. 2001, 29, 44–47. (In Chinese) [Google Scholar]










| Threshold | q1 | q2 | q3 |
|---|---|---|---|
| value | 0.8 | 0.475 | 0.1 |
| Parameter | Specific Variance (E-4) | Flicker Frequency (Hz) | Bi-Spectral Phase (E-13) (rad) |
|---|---|---|---|
| p1 | 3.53 | 17.58 | 2. 322 |
| p3 | 820.92 | 8.45 | 82. 97 |
| p5 | 1232.07 | 6.37 | 278.96 |
| p7 | 3737.55 | 2.23 | 1185.7 |
| p2(=(p1+p3)/2) | 412.23 | 13.01 | 42.64 |
| p4(=(p3+p5)/2) | 1026.50 | 7.41 | 180.96 |
| p6(=(p5+p7)/2) | 2484.81 | 4.30 | 732.33 |
| Score | >80 | 60–80 | 40–60 | <40 | Score |
|---|---|---|---|---|---|
| combustion grade | highly stable | slightly stable | slightly unstable | highly unstable | combustion grade |
| Condition Number | First | Second | Third | Fourth |
|---|---|---|---|---|
| flame pattern | ![]() | ![]() | ![]() | ![]() |
| specific variance (E-4) | 3.53 | 699.68 | 1033.54 | 3738.29 |
| flicker frequency (Hz) | 13.41 | 5.84 | 6.16 | 3.70 |
| bi-spectral phase(E-13) (rad) | 62.59 | 127.26 | 62.14 | 551.05 |
| evaluation matrix | (0.9091 0.0884 0.0025) | (0.3845 0.4195 0.1960) | (0.1368 0.6412 0.2220) | (0.0020 0.0737 0.9243) |
| evaluation score | 87.20 | 65.66 | 57.44 | 32.33 |
| combustion grade | highly stable | slightly stable | slightly unstable | highly unstable |
© 2019 by the authors. Licensee MDPI, Basel, Switzerland. This article is an open access article distributed under the terms and conditions of the Creative Commons Attribution (CC BY) license (http://creativecommons.org/licenses/by/4.0/).
Share and Cite
Zhang, H.; Zhou, M.; Lan, X. A Fuzzy Synthetic Evaluation Method of Flame Stability Based on Time–Frequency Analysis and Higher-Order Statistics. Energies 2019, 12, 1196. https://doi.org/10.3390/en12071196
Zhang H, Zhou M, Lan X. A Fuzzy Synthetic Evaluation Method of Flame Stability Based on Time–Frequency Analysis and Higher-Order Statistics. Energies. 2019; 12(7):1196. https://doi.org/10.3390/en12071196
Chicago/Turabian StyleZhang, Haitao, Ming Zhou, and Xudong Lan. 2019. "A Fuzzy Synthetic Evaluation Method of Flame Stability Based on Time–Frequency Analysis and Higher-Order Statistics" Energies 12, no. 7: 1196. https://doi.org/10.3390/en12071196
APA StyleZhang, H., Zhou, M., & Lan, X. (2019). A Fuzzy Synthetic Evaluation Method of Flame Stability Based on Time–Frequency Analysis and Higher-Order Statistics. Energies, 12(7), 1196. https://doi.org/10.3390/en12071196




