Prediction Modeling and Analysis of Knocking Combustion using an Improved 0D RGF Model and Supervised Deep Learning
Abstract
:1. Introduction
1.1. Determination of Knock Onset
1.2. Zero-Dimensional Residual Gas Fraction Models
1.3. Knock Prediction Models
2. Experimental Configuration
3. Knock Propensity and Onset
3.1. Knock Detection Using an In-Cylinder Pressure Sensor
3.2. Smart Knock Onset Model
4. Cycle Analysis for Knocking Combustion
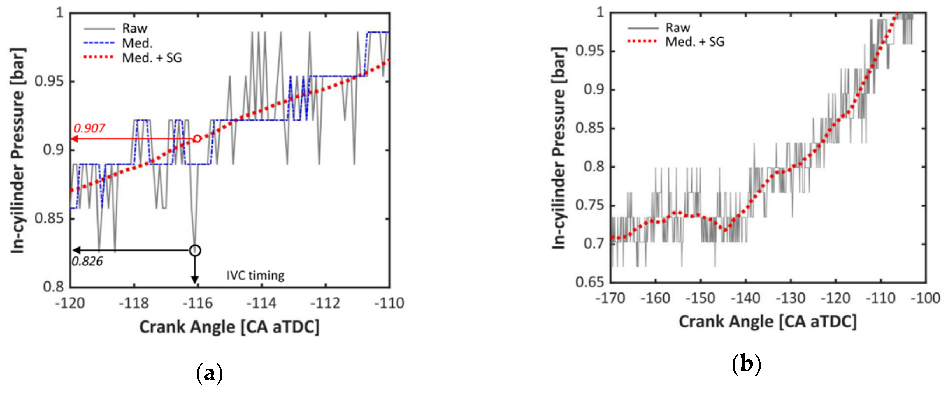
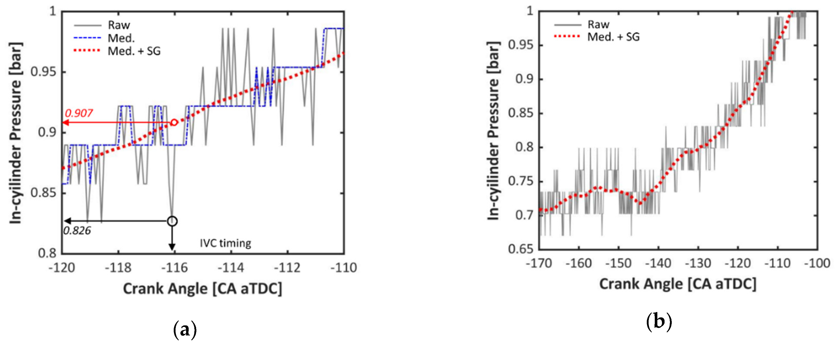
4.1. Signal Processing of In-Cylinder Pressure
4.2. Residual Gas Fraction
4.2.1. One-Dimensional Simulation
4.2.2. Improved RGF Model
4.3. Characterization of IVC State
4.4. Unburned Gas Temperature
5. Knock Prediction Model
6. An Insight into the Knock Intensity
6.1. Experimental Result
6.2. Model-Based Approach
7. Conclusions
Author Contributions
Funding
Acknowledgments
Conflicts of Interest
Abbreviations
| 0D | Zero-dimensional |
| 1D | One-dimensional |
| AHRR | Accumulated heat release rate |
| ANN | Artificial neural network |
| aTDC | After top dead left |
| BDC | Bottom dead left |
| bTDC | Before top dead left |
| CA | Crank angle |
| DoE | Design of experiment |
| ECU | Engine control unit |
| EOC | End of combustion |
| EVC | Exhaust valve closing |
| EVO | Exhaust valve opening |
| ISPO | Integral of squared pressure oscillation |
| ITE | Indicated thermal efficiency |
| IVC | Intake valve closing |
| IVO | Intake valve opening |
| MAPO | Maximum amplitude of pressure oscillation |
| MFB | Mass fraction burned |
| NTC | Negative temperature coefficient |
| NVO | Negative valve overlap |
| ODE | Ordinary differential equation |
| OF | Overlap factor |
| Probability density function | |
| PFI | Port fuel injection |
| RMSE | Root mean squared error |
| RON | Research octane number |
| SER | Signal energy ratio |
| SOI | Start of injection |
| SSE | Sum of squared error |
| TDC | Top dead left |
| TVE | Threshold value exceeded |
| VVT | Variable valve timing |
Appendix A
- Assured earth grounding for all equipment is required.
- Qualitative wires with shields or groundings are necessary.
- The sensor should be located far away from high-voltage, high-current components such as ignition coils, injectors and high-pressure fuel pumps. The sensor wires should also be isolated from the components.
- Use a stable power source such as linear power. Switching mode power supply (SMPS) is not recommended: the switching frequency causes noise and signal superposition.
- The installation of a line reactor is recommended if there is a high-capacity motor or pump. Noise can be generated by the phase shifting of the inverter depending on the method of grounding and setup. The application of an active harmonic filter is also a favorable option but costly.
References
- Heywood, J.B. Internal Combustion Engine Fundamentals; McGraw-Hill: New York, NY, USA, 1988. [Google Scholar]
- Zhen, X.; Wang, Y.; Xu, S.; Zhu, Y.; Tao, C.; Xu, T.; Song, M. The engine knock analysis–An overview. Appl. Energy 2012, 92, 628–636. [Google Scholar] [CrossRef]
- Wang, Z.; Liu, H.; Reitz, R.D. Knocking combustion in spark-ignition engines. Prog. Energy Combust. Sci. 2017, 61, 78–112. [Google Scholar] [CrossRef]
- Nates, R.; Yates, A. Knock Damage Mechanisms in Spark-Ignition Engines. In SAE Technical Paper 942064; SAE International: Warrendale, PA, USA; Troy, MI, USA, 1994. [Google Scholar]
- Fitton, J.; Nates, R. Knock Erosion in Spark-ignition Engines. In SAE Technical Paper 962102; SAE International: Warrendale, PA, USA; Troy, MI, USA, 1996. [Google Scholar]
- Kalghatgi, G.; Algunaibet, I.; Morganti, K. On knock intensity and superknock in SI engines. SAE Int. J. Engines 2017, 10, 1051–1063. [Google Scholar] [CrossRef]
- Kalghatgi, G.; Morganti, K.; Algunaibet, I. Some Insights on the Stochastic Nature of Knock and the Evolution of Hot Spots in the End-Gas During the Engine Cycle from Experimental Measurements of Knock Onset and Knock Intensity. In SAE Technical Paper 2017-01-2233; SAE International: Warrendale, PA, USA; Troy, MI, USA, 2017. [Google Scholar]
- Worret, R.; Bernhardt, S.; Schwarz, F.; Spicher, U. Application of Different Cylinder Pressure Based Knock Detection Methods in Spark Ignition Engines. In SAE Technical Paper 2002-01-1668; SAE International: Warrendale, PA, USA; Troy, MI, USA, 2002. [Google Scholar]
- Lee, J.-H.; Hwang, S.-H.; Lim, J.-S.; Jeon, D.-C.; Cho, Y.-S. A New Knock-Detection Method using Cylinder Pressure, Block Vibration and Sound Pressure Signals from a SI Engine. In SAE Technical Paper 981436; SAE International: Warrendale, PA, USA; Troy, MI, USA, 1998. [Google Scholar]
- Shahlari, A.J.; Ghandhi, J.B. A Comparison of Engine Knock Metrics. In SAE Technical Paper 2012-32-0037; SAE International: Warrendale, PA, USA; Troy, MI, USA, 2012. [Google Scholar]
- Kim, K.S. Study of Engine Knock Using A Monte Carlo Method; The University of Wisconsin-Madison: Madison, WI, USA, 2015. [Google Scholar]
- Yun, H.; Mirsky, W. Schlieren-Streak Measurements of Instantaneous Exhaust Gas Velocities from a Spark-Ignition Engine. In SAE Technical Paper 7410252; SAE International: Warrendale, PA, USA; Troy, MI, USA, 1974. [Google Scholar]
- Guardiola, C.; Triantopoulos, V.; Bares, P.; Bohac, S.; Stefanopoulou, A. Simultaneous estimation of intake and residual mass using in-cylinder pressure in an engine with negative valve overlap. IFAC-PapersOnLine 2016, 49, 461–468. [Google Scholar] [CrossRef]
- Fitzgerald, R.P.; Steeper, R.; Snyder, J.; Hanson, R.; Hessel, R. Determination of Cycle Temperatures and Residual Gas Fraction for HCCI Negative Valve Overlap Operation. SAE Int. J. Engines 2010, 3, 124–141. [Google Scholar] [CrossRef]
- Fox, J.W.; Cheng, W.K.; Heywood, J.B. A Model for Predicting Residual Gas Fraction in Spark-Ignition Engines; SAE International: Warrendale, PA, USA; Troy, MI, USA, 1993. [Google Scholar]
- Kale, V.; Yeliana, Y.; Worm, J.; Naber, J. Development of an Improved Residuals Estimation Model for Dual Independent Cam Phasing Spark-Ignition Engines; SAE International: Warrendale, PA, USA; Troy, MI, USA, 2013. [Google Scholar]
- Chen, L.; Li, T.; Yin, T.; Zheng, B. A predictive model for knock onset in spark-ignition engines with cooled EGR. Energy Convers. Manag. 2014, 87, 946–955. [Google Scholar] [CrossRef]
- Moses, E.; Yarin, A.L.; Bar-Yoseph, P. On knocking prediction in spark ignition engines. Combust. Flame 1995, 101, 239–261. [Google Scholar] [CrossRef]
- Sazhin, S.; Sazhina, E.; Heikal, M.; Marooney, C.; Mikhalovsky, S. The Shell autoignition model: A new mathematical formulation. Combust. Flame 1999, 117, 529–540. [Google Scholar] [CrossRef]
- Sazhina, E.; Sazhin, S.; Heikal, M.; Marooney, C. The Shell autoignition model: Applications to gasoline and diesel fuels. Fuel 1999, 78, 389–401. [Google Scholar] [CrossRef]
- Livengood, J.; Wu, P. Correlation of autoignition phenomena in internal combustion engines and rapid compression machines. Symposium (Int.) Combust. 1955, 5, 347–356. [Google Scholar] [CrossRef]
- Douaud, A.; Eyzat, P. Four-Octane-Number Method for Predicting the Anti-Knock Behavior of Fuels and Engines. In SAE Technical Paper 780080; SAE International: Warrendale, PA, USA; Troy, MI, USA, 1978. [Google Scholar]
- Mittal, V.; Revier, B.M.; Heywood, J.B. Phenomena that Determine Knock Onset in Spark-Ignition Engines. In SAE Technical Paper 2007-01-0007; SAE International: Warrendale, PA, USA; Troy, MI, USA, 2007. [Google Scholar]
- Kasseris, E.; Heywood, J.B. Charge cooling effects on knock limits in si di engines using gasoline/ethanol blends: Part 2-effective octane numbers. SAE Int. J. Fuels Lubr. 2012, 5, 844–854. [Google Scholar] [CrossRef]
- Siokos, K.; He, Z.; Prucka, R. Assessment of Model-Based Knock Prediction Methods for Spark-Ignition Engines. In SAE Technical Paper 2017-01-0791; SAE International: Warrendale, PA, USA; Troy, MI, USA, 2017. [Google Scholar]
- Burluka, A.; Liu, K.; Sheppard, C.; Smallbone, A.; Woolley, R. The Influence of Simulated Residual and NO Concentrations on Knock Onset for PRFs and Gasolines. In SAE Technical Paper 2004-01-2998; SAE International: Warrendale, PA, USA; Troy, MI, USA, 2004. [Google Scholar]
- Wayne, W.S.; Clark, N.N.; Atkinson, C.M. Numerical Prediction of Knock in a Bi-Fuel Engine. In SAE Technical Paper 982533; SAE International: Warrendale, PA, USA; Troy, MI, USA, 1998. [Google Scholar]
- Pipitone, E.; Beccari, S. Calibration of a knock prediction model for the combustion of gasoline-natural gas mixtures. In Proceedings of the ASME 2009 Internal Combustion Engine Division Fall Technical Conference, Lucerne, Switzerland, 27–30 September 2009; pp. 191–197. [Google Scholar]
- Hoepke, B.; Jannsen, S.; Kasseris, E.; Cheng, W.K. EGR effects on boosted SI engine operation and knock integral correlation. SAE Int. J. Engines 2012, 5, 547–559. [Google Scholar] [CrossRef]
- McKenzie, J.; Cheng, W.K. Ignition Delay Correlation for Engine Operating with Lean and with Rich Fuel-Air Mixtures. In SAE Technical Paper 2016-01-0699; SAE International: Warrendale, PA, USA; Troy, MI, USA, 2016. [Google Scholar]
- Asif, M.; Giles, K.; Lewis, A.; Akehurst, S.; Turner, N. Influence of Coolant Temperature and Flow Rate, and Air Flow on Knock Performance of a Downsized, Highly Boosted, Direct-Injection Spark Ignition Engine. In SAE Technical Paper 2017-01-0664; SAE International: Warrendale, PA, USA; Troy, MI, USA, 2017. [Google Scholar]
- Brunt, M.F.; Pond, C.R.; Biundo, J. Gasoline Engine Knock Analysis using Cylinder Pressure Data. In SAE Technical Paper 980896; SAE International: Warrendale, PA, USA; Troy, MI, USA, 1998. [Google Scholar]
- Bertola, A.; Stadler, J.; Walter, T.; Wolfer, P.; Gossweiler, C.; Rothe, M. Pressure indication during knocking conditions. In Proceedings of the Seventh International AVL Symposium on Internal Combustion Diagnostics, Baden-Baden, Germany, 18–19 May 2006. [Google Scholar]
- Lancaster, D.R.; Krieger, R.B.; Lienesch, J.H. Measurement and Analysis of Engine Pressure Data. In SAE Technical Paper 750028; SAE International: Warrendale, PA, USA; Troy, MI, USA, 1975. [Google Scholar]
- Brunt, M.F.; Lucas, G.G. The Effect of Crank Angle Resolution on Cylinder Pressure Analysis. In SAE Technical Paper 910041; SAE International: Warrendale, PA, USA; Troy, MI, USA, 1991. [Google Scholar]
- Millo, F.; Ferraro, C.V. Knock in S.I. Engines: A Comparison between Different Techniques for Detection and Control. In SAE Technical Paper 982477; SAE International: Warrendale, PA, USA; Troy, MI, USA, 1998. [Google Scholar]
- Sjöberg, M.; Vuilleumier, D.; Yokoo, N.; Nakata, K. Effects of Gasoline Composition and Octane Sensitivity on the Response of DISI Engine Knock to Variations of Fuel-Air Equivalence Ratio. In Proceedings of the International Symposium on Diagnostics and Modeling of Combustion in Internal Combustion Engines, Okayapa, Japan, 25–28 July 2017; p. B307. [Google Scholar]
- Borg, J.M.; Alkidas, A.C. Cylinder-pressure-based methods for sensing spark-ignition engine knock. Int. J. Veh. Des. 2007, 45, 222–241. [Google Scholar] [CrossRef]
- McCulloch, W.S.; Pitts, W. A logical calculus of the ideas immanent in nervous activity. J. Bull. Math. Biophys. 1943, 5, 115–133. [Google Scholar] [CrossRef]
- Rumelhart, D.E.; Mcclelland, J.L. Parallel Distributed Processing: Explorations in the Microstructure of Cognition. Volume 1. Foundations; MIT Press: Cambridge, MA, USA, 1986; p. 564. [Google Scholar]
- Savitzky, A.; Golay, M.J. Smoothing and differentiation of data by simplified least squares procedures. Anal. Chem. 1964, 36, 1627–1639. [Google Scholar] [CrossRef]
- Kim, N.; Ko, I.; Min, K. Development of a zero-dimensional turbulence model for a spark ignition engine. Int. J. Engine Res. 2018. [Google Scholar] [CrossRef]
- Ferguson, C.R.; Green, R.M.; Lucht, R.P. Unburned Gas Temperatures in an Internal Combustion Engine. II:Heat Release Computations AU—Ferguson, Colin R. Combust. Sci. Technol. 1987, 55, 63–81. [Google Scholar] [CrossRef]
- Catania, A.; Misul, D.; Mittica, A.; Spessa, E. A refined two-zone heat release model for combustion analysis in SI engines. JSME Int. J. Ser. B Fluids Thermal Eng. 2003, 46, 75–85. [Google Scholar] [CrossRef]
- Ferguson, C.R.; Kirkpatrick, A.T. Internal Combustion Engines: Applied Thermosciences; John Wiley & Sons: Hoboken, NJ, USA, 1986. [Google Scholar]
- Goodwin, D.G.; Speth, R.L.; Moffat, H.K.; Weer, B.W. Cantera: An Object-Oriented Software Toolkit for Chemical Kinetics, Thermodynamics, and Transport Processes. Available online: http://www.cantera.org (accessed on 7 February 2019).
- Ryan, T.W.; Callahan, T.J. Engine and Constant Volume Bomb Studies of Diesel ignition and Combustion; SAE International: Warrendale, PA, USA; Troy, MI, USA, 1988. [Google Scholar]
- Finesso, R.; Spessa, E. Ignition delay prediction of multiple injections in diesel engines. Fuel 2014, 119, 170–190. [Google Scholar] [CrossRef]
















| Reference | Formulation | Considerations |
|---|---|---|
| Douaud and Eyzat [22] | Octane number | |
| Hoepke et al. [29] | Cooled exhaust gas recirculation (EGR) | |
| Chen et al. [17] | Cooled EGR Air-fuel ratio | |
| McKenzie et al. [30] | where | Cooled EGR Residual gas Air-fuel ratio |
| Type of Engine | Single-Cylinder w/Dual VVT |
|---|---|
| Displacement (cc) | 499.8 |
| Stroke (mm) | 97 |
| Bore (mm) | 81 |
| Length of connecting rod (mm) | 150.9 |
| Compression ratio | 11.89 |
| SOI (CA bTDC) | 540 |
| Injection pressure (bar) | 3.5 |
| EVO 1 | 68 CA bBDC |
| EVC 1 | 1 CA aTDC |
| IVO 1 | 10 CA aTDC |
| IVC 1 | 67 CA aBDC |
| Number of valves | 4 |
| Maximum valve lift (mm) | 10 |
| Engine speed (rpm) | 1500 - 2000 |
| Intake pressure (bar) | 0.65 – 1.01 |
| Spark timing | 27.4 CA bTDC – 4 CA aTDC |
| Valve overlap (CA) | -3 (NVO) – 47 CA |
| Air-fuel ratio (-) | Stoichiometric (λ = 1) |
| Coolant temperature (°C) | 85 ± 1 |
| Oil inlet pressure (bar) | 3.5 |
| Oil temperature (°C) | 75 ± 2 |
| Ambient temperature (°C) | 30 ± 0.5 |
| Fuel inlet temperature (°C) | 35 ± 2 |
| Fuel low heating value (MJ/kg) | 42.825 |
| Fuel research octane number (-) | 91.5 |
| Model | Multiplier | Optimized Value |
|---|---|---|
| Combustion (SITurb) | Flame Kernel Growth | 1.167 |
| Turbulent Flame Speed | 0.690 | |
| Taylor Length Scale | 0.703 | |
| Heat transfer (Woschni) | - | 0.7 |
| Sweep Parameter | Range |
|---|---|
| Engine speed (rpm) | 1500–3000 |
| Spark timing (CA bTDC) | 28–0 |
| Intake pressure (bar) | 0.2–1 |
| Intake valve timing | 0–40 adv. |
| Exhaust valve timing | 0–30 rtd. |
| Total 1200 cases | |
© 2019 by the authors. Licensee MDPI, Basel, Switzerland. This article is an open access article distributed under the terms and conditions of the Creative Commons Attribution (CC BY) license (http://creativecommons.org/licenses/by/4.0/).
Share and Cite
Cho, S.; Park, J.; Song, C.; Oh, S.; Lee, S.; Kim, M.; Min, K. Prediction Modeling and Analysis of Knocking Combustion using an Improved 0D RGF Model and Supervised Deep Learning. Energies 2019, 12, 844. https://doi.org/10.3390/en12050844
Cho S, Park J, Song C, Oh S, Lee S, Kim M, Min K. Prediction Modeling and Analysis of Knocking Combustion using an Improved 0D RGF Model and Supervised Deep Learning. Energies. 2019; 12(5):844. https://doi.org/10.3390/en12050844
Chicago/Turabian StyleCho, Seokwon, Jihwan Park, Chiheon Song, Sechul Oh, Sangyul Lee, Minjae Kim, and Kyoungdoug Min. 2019. "Prediction Modeling and Analysis of Knocking Combustion using an Improved 0D RGF Model and Supervised Deep Learning" Energies 12, no. 5: 844. https://doi.org/10.3390/en12050844
APA StyleCho, S., Park, J., Song, C., Oh, S., Lee, S., Kim, M., & Min, K. (2019). Prediction Modeling and Analysis of Knocking Combustion using an Improved 0D RGF Model and Supervised Deep Learning. Energies, 12(5), 844. https://doi.org/10.3390/en12050844

