You are currently viewing a new version of our website. To view the old version click .
Energies
  • Article
  • Open Access

9 December 2019

Methane Yield Potential of Miscanthus (Miscanthus × giganteus (Greef et Deuter)) Established under Maize (Zea mays L.)

,
,
and
1
Department of Biobased Products and Energy Crops (340b), Institute of Crop Science, University of Hohenheim, Fruwirthstr. 23, 70599 Stuttgart, Germany
2
College of Bioscience and Biotechnology, Hunan Agricultural University, Changsha 410128, China
*
Author to whom correspondence should be addressed.
This article belongs to the Special Issue Biomass for Energy Application

Abstract

This study reports on the effects of two rhizome-based establishment procedures ‘miscanthus under maize’ (MUM) and ‘reference’ (REF) on the methane yield per hectare (MYH) of miscanthus in a field trial in southwest Germany. The dry matter yield (DMY) of aboveground biomass was determined each year in autumn over four years (2016–2019). A biogas batch experiment and a fiber analysis were conducted using plant samples from 2016–2018. Overall, MUM outperformed REF due to a high MYH of maize in 2016 (7211 m3N CH4 ha−1). The MYH of miscanthus in MUM was significantly lower compared to REF in 2016 and 2017 due to a lower DMY. Earlier maturation of miscanthus in MUM caused higher ash and lignin contents compared with REF. However, the mean substrate-specific methane yield of miscanthus was similar across the treatments (281.2 and 276.2 lN kg−1 volatile solid−1). Non-significant differences in MYH 2018 (1624 and 1957 m3N CH4 ha−1) and in DMY 2019 (15.6 and 21.7 Mg ha−1) between MUM and REF indicate, that MUM recovered from biotic and abiotic stress during 2016. Consequently, MUM could be a promising approach to close the methane yield gap of miscanthus cultivation in the first year of establishment.

1. Introduction

Miscanthus (Miscanthus spp.) is a fast growing perennial C4-grass [1], which has the potential to deliver high biomass yields and to grow on marginal agricultural land [2,3,4,5]. A wide range of miscanthus genotypes have been screened for different marginality factors such as salinity [6] and erosion [7]. Miscanthus biomass has quality characteristics that allow it to be used to manifold ways: as a combustion fuel, [8,9,10], bioethanol [11,12,13], bedding material [10,14,15], building material [16,17,18,19,20] and in biogas production [21,22]. For example, low inorganic constituents and high lignin content is preferred for combustion [23], whereas low lignin is required for efficient biogas [24] as well as ethanol production [25]. Miscanthus can also be a feedstock to processes including pyrolysis that can produce hydrocarbon fuels such as gasoline, diesel and jet fuel [26]. The variety of available genotypes, which have been developed over the years offer the possibility of selecting genotypes with optimal quality characteristics for a specific end use [27]. This study focuses on the use of miscanthus biomass for biogas production as it is considered one of the foremost promising bioenergy pathways [28,29,30,31,32,33].
Currently, some of the major impeding factors for miscanthus production across Europe are (i) high initial establishment costs, (ii) a lack of harvestable biomass in the first year [34,35,36,37] and (iii) a comparatively long crop establishment period [10,38]. Initial establishment costs largely depend on the establishment procedure. Over the years, different establishment procedures such as rhizome plantation [39,40,41], micro-propagation [42], direct seed sowing [37,39] or the use of plantlets obtained from stems or rhizomes have been tested to optimize the establishment procedure [42]. The adoption of a certain method is largely dependent on initial cost and its compatibility with the existing farming system especially in terms of farm machinery. Currently, direct plantation of rhizomes, which is inexpensive, is the mostly widely practiced establishment procedure [42]. However, it does not fit well with existing agricultural mechanization and requires specific machinery [10]. The adapted plantation method not only influences the initial cost but also impacts crop development especially during crop establishment period [34,37,42,43,44]. For example, vegetatively (via rhizomes) propagated miscanthus developed better canopies during the establishment period compared to rhizome based plantation [45].
Over time, the development of new machinery and new planting techniques may facilitate miscanthus cultivation and contribute towards reducing the initial establishment cost [42]. However, the absence of harvestable biomass during the first year complemented by rather high initial establishment cost aggravates the issue of economic viability of the crop during establishment period, which is one reason why farmers are reluctant to cultivate miscanthus. Consequently, there is need to identify innovative solutions for an optimized establishment of miscanthus which will make the crop more economically viable especially during the establishment period.
This study explores the potential effects of a recently developed miscanthus establishment procedure ‘miscanthus under maize’ (Zea mays L.; MUM) [34] on both methane yield per hectare (MYH) and fiber composition of miscanthus during the establishment period. It is expected that there will be a trade-off between the achievement of high MYH of the intercropped plant stand (maize and miscanthus) in MUM in the first year and the achievement of high MYH of miscanthus from the second year onwards. This assumption is based on higher biotic (intercropping competition) and abiotic stress (e.g., drought) in the first year of establishment of miscanthus, which can significantly influence its morphological development and thus its suitability as a biogas substrate in the following years [46,47].

2. Materials and Methods

This section reported on where the plant material was collected, how the plant samples were prepared and analyzed and how the results were evaluated. The major focus was on the fiber analyses and the biogas batch-experiments. Here, however, only basic information about the origin of the plant material was presented. For detailed information on the field trial, such as soil type, plant material and cultivation technique, please refer to Von Cossel et al. [34].

2.1. Origin of Plant Material

The plant material was taken from a field trial with randomized block design (three replicates per treatment) located in Hohenheim (southwest Germany). The field trial was established in 2016 (Figure 1) and has run continuously until the present. In this field trial, two miscanthus establishment procedures were tested: sole establishment (REF) and MUM. For miscanthus, rhizome-based plantlets of Miscanthus × giganteus (Greef et Deuter) were used.
Figure 1. Plant stand of miscanthus (Miscanthus × giganteus Greef et Deuter) (1) established under maize (Zea mays L.) (2) in July 2016.

2.2. Fibre Analyses, Determination of C- and N-Content and Biogas Batch Experiment

The plant material was dried to constant weight at 60 °C to determine the dry matter content (DMC), which was used to calculate the DMY (Equation (1)). Afterwards, the samples were milled using a cutting mill (SM 200, Retsch, Haan, Germany) with a 1 mm sieve for further analysis. No other pre-treatments, e.g., enzymatic hydrolysis, were applied in the conversion process. The contents of ash, lignin, cellulose, hemicellulose, nitrogen (N) and carbon (C) were analyzed for all samples as follows: The ash content was estimated according to Kiesel and Lewandowski [46]. The contents of lignin, cellulose and hemicellulose were analyzed according to VDLUFA Method Book III, methods 6.5.1, 6.5.2 and 6.5.3 [48]. The contents of N and C were measured according to DIN ISO 5725 using the elemental analyzer ‘Vario Max CNS’ (Elementar Analysensysteme GmbH, Stuttgart, Germany).
Both biogas batchtest and fiber analysis were conducted according to Von Cossel et al. [49] and Kiesel and Lewandowski [46]. For the batchtest, 200 mg of organic dry matter of the plant samples was mixed with 30 g inoculum (4% DMC, origins from a biogas plant) in 100 ml air-tight bottles and kept at 39 °C for 35 days, a standard procedure according to VDI guideline 4630 [46,49,50]. Within this period, all digestible fractions of the plant samples, such as hemicellulose and cellulose, are to a large extend degraded by microorganisms and converted into biogas, which consists predominantly of CH4 and CO2 [46,51]. For each sample, there were four replicates within the batchtest. Gas was collected on the third, the 10th, the 22nd and final day of the batchtest (day 35). The gas production was measured via pressure increase using a hand-held pressure measuring devices for external pressure sensors (HND-P pressure meter, Kobold Messring GmbH, Hofheim, Germany). The frequency of these measurements decreased towards the end of the batchtest, because the biogas production also decreased. Therefore, the pressure increase was measured on a daily basis until day 7, every second day until day 17, and every third day until the end of the batchtest. In total, the pressure increase was measured 19 times during the batchtest. For each of these measurements, the surrounding air pressure was also documented to standardize the values (norm conditions: 0 °C and 1013 hPa). The accumulated substrate-specific biogas yield (SBY) was set in relation to the biogas production of the control (inoculum without plant material) and the daily air pressure of the room in which the batchtest was conducted. The methane content (MC) of the collected biogas was determined using a thermal conductivity detector at a detection temperature of 120 °C (GC-2014 gas chromatograph, Shimadzu, Kyoto). The substrate-specific methane yield (SMY) was calculated following Equation (1):
S M Y = S B Y × M C .

2.3. Dry Matter Yield Determination

The agronomic details are presented and discussed in Von Cossel et al. [34]. In addition to the dry matter yield (DMY) presented in [34], in this study the DMY (green harvest) from the vegetation period 2019 was also determined. Therefore, the DMY was calculated using the fresh matter yield (FMY) and the DMC as follows:
D M Y = F M Y × D M C .
Furthermore, the leaf:stem ratio of miscanthus (10 shoots per field replicate) was measured in 2018 and 2019. However, only plant material from the years 2016–2018 was used for the substrate analyses described in the following section.

2.4. Statistical Analyses

The biogas batch experiment was statistically analyzed as described in Von Cossel et al. [49], whereas outliers were omitted given a coefficient of variation of >5%. The F-tests for the effects of establishment under maize on both SMY and MYH were conducted as described in Von Cossel et al. [49]. The model is shown in Equation (3):
y i j k = μ + b k + ( b φ ) j k + τ i + φ j + ( τ φ ) i j + e i j k
where b k and ( b φ ) j k are the fixed across year and year-specific effect of the kth the pre-treatment, and μ is the intercept. e i j k is the error of observation y i j k with establishment procedure-specific variance. φ j , τ i and ( τ φ ) i j are the fixed effects for the jth year, the ith establishment procedure and their interaction effects. The influence of factors was tested via a global F test. If differences were found, a multiple t-test was performed to create a letter display [52]. The assumptions of normality and homogeneous error variance were checked graphically. The best model was selected via the Akaike information criterion (AIC) [53]. All analysis run using the PROC MIXED procedure of the SAS® Proprietary Software 9.4 TS level 1M5 (SAS Institute Inc., Cary, NC, USA). For the correlation matrix and SMY prediction, PROC CORR and PROC REG (SAS ® Proprietary Software 9.4 TS level 1M5, see above) were used (see Appendix A, Table A1). Both degrees of freedom and standard errors were approximated using the Kenward–Roger method [54].

3. Results and Discussion

One of the most important results of the field trial underlying this study was the successful establishment in both establishment procedures REF and MUM. This means that in both REF and MUM all plants survived the winter periods during 2016–2019. Across years and treatments, the morphological and physiological characteristics of all observations (Table A2) were in line with current literature [10,55].

3.1. Dry Matter Yield

In both systems significant increase in dry matter yield were observed between one and four after establishments, whereas the total DMY of MUM (including the proportion of total DMY of maize in 2016) was significantly higher than that of REF (Figure 2).
Figure 2. Stacked annual dry matter yields (DMY) of miscanthus (Miscanthus × giganteus Greef et Deuter) established under maize (Zea mays L.; MUM) and alone (REF) during 2016 and 2019. For MUM, the proportion of total annual DMY of maize in 2016 was also included. Different upper case letters denote for significant differences between the four-year accumulated DMY of MUM and REF; different lower case letters denote for significant differences between annual DMY within treatments.
The proportion of total DMY of miscanthus in MUM was significantly lower than in REF in 2016 and 2017 [34]. In the later years 2018 and 2019, however, there were no significant differences between REF and MUM [34]. This is in line with a finding from a recent study on intercropping miscanthus and legumes, in which similar effects were reported [47]. However, the potentially higher yielding variant REF was water limited in 2018 due to summer drought [34]. Therefore, a significantly higher dry matter yield could have been expected for REF than for MUM under normal precipitation conditions (>700 mm yr−1) in 2018 (Figure 2). The underlying agronomic aspects of this observation are further described and discussed in detail in Von Cossel et al. [34]. Another aspect that could be of great importance in the context of the expansion of miscanthus cultivation in the future is the susceptibility of miscanthus to the Barley Yellow Dwarf Virus (BYDV). BYDV can be transmitted to miscanthus by the corn leaf aphid (Rhopalosiphum maidis Fitch) [56]. According to Hugget et al. [56], an expansion of the cultivation of miscanthus could lead to a further spread of the BYDV, which would have to be taken into account in the plant protection management of winter cereals. This has already been observed in France in the course of the spread of maize (also a host crop for the BYDV) [56]. However, BYDV will spread less strongly in miscanthus plant stands harvested in autumn (for biogas production) than in miscanthus plant stands harvested in winter (winter harvest for combustion and other utilization pathways) [56]. This is because miscanthus, which is only harvested in winter, can serve as an intermediate host for the corn leaf aphid before they can infest the winter cereals [56]. However, in the following sections, aspects of DMY formation and the expansion of miscanthus cultivation are not further discussed, as the present study focuses on the effects of establishment procedures on the biogas substrate properties of miscanthus.

3.2. Methane Yield Potential

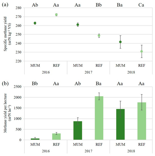
It was shown, that the accumulated MYH of a miscanthus biomass production system could be significantly improved during the first years of establishment through establishing miscanthus under maize. This was mainly caused by the high maize MYH in 2016 (Table A3). The MYH of MUM during the years 2016 and 2017 was significantly lower than REF due to an earlier maturation of the miscanthus plants in MUM and better development of miscanthus in REF. This could be explained by a slower development of the miscanthus plantlets in MUM starting from 2016 presumably due to both biotic (intercropping conditions) and abiotic (drought) stress conditions. Von Cossel et al. [34] point out that it must be carefully examined whether MUM starts catching up with REF table onwards. 2018 was a challenging year for both MUM and REF due to low precipitation. For REF, the water limitation was even more severe because the biophysical yield gap (the difference between potentially realizable and actual yield) is higher in REF than in MUM. Abiotic stress, especially drought is critical for defining the biogas substrate quality (BSQ) of miscanthus [46]. Therefore, it can be assumed that the low SMY of both treatments in 2018 (Table 1) was due to changes in biomass composition—especially an increase in lignin content as a response to drought stress. This hypothesis can be supported by the findings of numerous other studies, where lignin content increased under drought stress [57,58]. Furthermore, the results from the stepwise regression analysis show that lignin is the most important regressor for SMY-prediction models (Table 2 and Table A1). This is basically in line with the literature [51,59], and a validation of Model 1 (with lignin as sole regressor) based on an external dataset [51] supported the high correlation between lignin content and SMY of miscanthus biomass (Table 2). However, it should still be considered that the plant samples were milled for the biogas batch experiment, which increases the methane yield compared to coarsely chopped material [46]. Therefore, it is generally recommended to evaluate the effects of MUM on the specific methane yield of miscanthus under practical conditions at large scale.
Table 1. Year-specific estimates for qualitative and quantitative traits of the miscanthus biomass in the two establishment systems “miscanthus under maize (MUM)” and “sole establishment of miscanthus (REF)”. Different upper case letters denote for significant (p < 0.05) differences between establishment procedures within years, lower case letters for significant differences between years within establishment procedures.
Table 2. Models for predicting the SMY of miscanthus biomass during the years 2016–2018 (* = p < 0.05, ** = p < 0.01, *** = p < 0.001, n.s. = not significant, n.a. = not added to the model).
Here it was important to highlight that cellulose content was also highest during the year facing drought stress (2018), whereas hemicellulose content did not change to the same degree. Previous studies showed that (i) the efficiency of bioconversion was significantly influenced by the degree of cellulose crystallinity [60,61] and (ii) hemicellulose content was negatively correlated with cellulose crystallinity [62,63]. In addition, the correlation matrix supports this assumption: both cellulose and hemicellulose significantly correlated with the SMY (Table 3). From this it could be concluded that along with lignin content the ratio of hemicellulose to cellulose was crucial for an efficient bioconversion of miscanthus biomass. The ratio of hemicellulose to cellulose could be optimized to some extent through crop management practices such as adjusting harvesting time. For early green harvest, it was reported that (i) the contents of hemicellulose were higher, and (ii) the contents of cellulose and lignin were lower compared with late green harvest [46,64,65,66]. Furthermore, at early harvest a high N content is expected in the harvested biomass [8,67], which favors substrate digestion. This was also evident from the correlation matrix, where a highly significant positive correlation between SMY and N content is recorded (Table 3). Due to the earlier maturation, miscanthus biomass of MUM showed significantly lower N contents than REF in 2016. However, starting from 2017 the N contents between both variants were equal. The same applies for the C:N ratio. This indicates that the establishment of miscanthus under maize might not have a lasting effect on N content or the C:N ratio of miscanthus.
Table 3. Correlation matrix (* = p < 0.05, ** = p < 0.01, *** = p < 0.001, n.s. = not significant) of qualitative miscanthus biomass traits.
It has been reported that a high C:N ratio inhibits the digestion of biomass through production of volatile fatty acids [68,69,70,71]. Therefore, early harvest can contribute towards improving the hemicellulose to cellulose and C:N ratio as well, which will subsequently facilitate the bioconversion of biomass. However, it must be considered that the input demand of miscanthus is higher under green harvest regime crop because of poor relocation of nutrients back to rhizomes [67]. This in turn subsequently influences the environmental performance of miscanthus [3,72]. In the case of biogas production, to some extent it could be compensated by recycling nutrients through the application of digested material. Regarding the establishment procedure, this implies that earlier maturation in the first year of establishment increases the C:N ratio to the detriment of BSQ. On one hand, the DM content of miscanthus in the first year of establishment was negligible (Figure 2) and on the other hand earlier maturation had a positive effect on the back-shifting of nutrients (albeit with comparatively low quantitative relevance).
Additionally, the morphological development of miscanthus affects the SMY [73]. This was evident from results where cell wall components (lignin, cellulose and hemicellulose) varied between both stands, though the differences for some components were rather small (Table 1 and Table 4). Among morphological traits, leaf:stem ratio is important because the composition of biomass varies depending on plant fraction [73]. For example, high hemicellulose, low lignin and cellulose contents were reported in leaves compared with stems [55] and which is why biomass with high leaf share was easily digestible [53,55]. In addition, the better digestibility of miscanthus biomass with high leaf share is also attributed to lignin structural differences such as lower molecular weight of leaf derived lignin compared with stem derived lignin [56]. Therefore, leaf:stem ratio is critical to determine the BSQ and subsequently bioconversion efficiency. In this study, the morphological development of miscanthus plants was also influenced by prevailing stress conditions, whereby the establishment procedure had no significant effect on the leaf:stem ratio on miscanthus from 2018 onwards (Figure A1). However, during 2018, miscanthus leaves became senescent under drought conditions, which reduced their digestibility [74]. Furthermore, leaf:stem ratio varies from species to species [46,74] and also with time of harvesting [53,56,57]. Therefore, miscanthus genotypes with a higher leaf:stem ratio than Miscanthus × giganteus (Greef et Deuter) also provide a better BSQ. It remains unclear whether a longer retention time (>35 d) would have significantly increased the specific methane yield of miscanthus (Figure 3), which could be inferred from the research results of Sonwai et al [75]. However, the SMY values of the present study fit well with those of existing literature [46,64,76], which is why it could be assumed that the retention time of 35 d was sufficient to compare the SMYs of miscanthus from MUM and REF. However, it has been shown that there is a clear trade-off between BSQ and biomass yield [46,77].
Table 4. Three-year average qualitative and accumulated quantitative parameters of the miscanthus plant stands established under maize (MUM) and alone (REF). Different letters denote for significant differences between MUM and REF for those parameters without significant interactions between Establishment procedure × vegetation period (Table 5).
Figure 3. Development of the accumulated substrate-specific methane yields of miscanthus biomass from the two establishment procedures treatments ‘miscanthus under maize’ (MUM) and ‘reference’ (REF) during the biogas batch experiments. The error bars show the standard deviation (n = 6).
So far, the differences in yield and quality parameters of MUM have been shown and discussed only regarding the miscanthus biomass. Thus, the share of maize MYH of the total MYH in 2016 must also be considered for MUM to allow for a more holistic comparison of the long-term effects of the two miscanthus establishment procedures MUM and REF. The total three-year (2016–2018) accumulated MYH of MUM—including both miscanthus and maize—accounted for about 9906 m3N CH4 ha (Table 1, Table A3). This was approximately two and a half times as much as was reached by REF (about 4506 m3N CH4 ha−1; Table 1 and Table 4). Consequently, the establishment procedure increased the total MYH of the new establishment procedure MUM compared with REF, even though miscanthus in MUM showed a weaker morphological development of miscanthus (reduced number of shoots, smaller shoots, lower MYH, etc.) compared with REF in the second year after establishment (Table 1 and Table 5; Figure 4).
Table 5. Fixed effects of ‘Vegetation period’, ‘Establishment procedure’ and their two-fold interaction on yield and quality parameters of miscanthus as biogas substrate across years (* = p < 0.05, ** = p < 0.01, *** = p < 0.001, n.s. = not significant). The fixed effects of ‘Pre-crop 2015’ and ‘Pre-crop 2015 × vegetation period’ were non-significant for all parameters and therefore, not added in the table.
Figure 4. Overview of specific methane yields (a) and methane yields per hectare (MYH) of miscanthus biomass from the treatments under maize (MUM) and standard (REF) establishment. In 2016, only the proportion of total MYH of miscanthus is presented for MUM. The proportion of total MYH of maize in MUM 2016 are provided in Table A3. The error bars show the standard errors. Similar capital letters denote for non-significant (p < 0.05) differences within treatments between years; similar small letters refer to differences between treatments within years.
The establishment procedure MUM therefore provides a clear revenue advantage over the other establishment procedure REF within the first three years of establishment. Furthermore, the costs for soil tillage and herbicide measures should be virtually divided by two (maize cultivation and miscanthus cultivation). This reduces the costs for miscanthus establishment. Since the establishment costs commonly account for about a quarter of the total costs for 20 years of miscanthus cultivation [78] a reduction of the establishment costs may help to foster the implementation of miscanthus into existing farming systems.
However, the effects of both biotic (intercropping competition) and abiotic stress (e.g., drought) need to be further investigated with reference to marginal agricultural land utilization. This is because the cultivation of miscanthus should be promoted on marginal agricultural lands (rather than on favorable sites to avoid land use competition with food crop cultivation) [79,80,81]. The cultivation conditions on marginal agricultural lands can be challenging for miscanthus, which could worsen the recovery success of miscanthus. On the other hand, intercropping maize and miscanthus could reduce certain marginality constraints, such as wind and water erosion. Furthermore, the overall long-term performance of MUM for different end uses of miscanthus biomass should be evaluated in the future. This is because different end uses require different cultivation practices, which could affect the success of MUM in the long term. For example, a brown harvest (in winter) is usually applied for the end uses ‘combustion’ or ‘isobutanol production’. Brown harvest regimes imply a better nutrient translocation to the rhizomes than a green harvest regimes (in autumn) [46]. A better nutrient translocation may help miscanthus plants to recover much better from the stress during the first year of establishment. Hence, the establishment of miscanthus under maize may be even more suitable for the brown harvest regime of miscanthus, and it should therefore be further investigated in the future.

4. Conclusions

This study revealed new insights into the effects of a joint establishment of miscanthus (Miscanthus × giganteus Greef et Deuter) and maize (MUM) on the overall biogas yield of miscanthus for the establishment period (four years). While intercropping with maize in the first year significantly reduced the biogas yield of miscanthus in the second year after planting, no significant difference between the two establishment variants was observed in the third year after planting. In the fourth year, a non-significant difference in biomass yield indicated that miscanthus recovered from the stress of intercropping in the first year, so that no negative long-term effects on the yield level of miscanthus were to be expected due to the establishment under maize. Moreover, the high biogas yield from the maize proportion in the first year of MUM resulted in a significantly higher total biomass potential within the observation period of four years compared with the conventional establishment variant of miscanthus (REF). From this, it could be concluded that, compared to REF, MUM helped farmers to reduce the costs of miscanthus establishment by providing a first year’s revenue from maize biomass.

Author Contributions

Conceptualization, M.v.C.; Data curation, M.v.C.; Formal analysis, M.v.C., A.M. and Y.I.; Funding acquisition, I.L.; Investigation, M.v.C.; Methodology, M.v.C.; Project administration, M.v.C. and I.L.; Resources, M.v.C. and A.M.; Supervision, I.L.; Validation, M.v.C. and Y.I.; Visualization, M.v.C.; Writing—original draft, M.v.C., A.M., Y.I. and I.L.; Writing—review editing, M.v.C.

Funding

This research received funding from the European Union’s Horizon 2020 research and innovation program under grant agreement No 727698, and the German Federal Ministry of Education and Research (BMBF), project number: 03EK3525A. The article processing charge was funded by the University of Hohenheim.

Acknowledgments

The authors are thankful to the staff of the Agricultural Experiment Station of the University of Hohenheim for providing technical support for the field trials, and to Dagmar Metzger, Johanna Class, Friederike Selensky and Johannes Schümann for their assistance with laboratory and preparatory work. Special thanks go to Jens Hartung for his assistance with the statistical analysis.

Conflicts of Interest

The authors declare no conflict of interest. The funders had no role in the design of the study; in the collection, analyses, or interpretation of data; in the writing of the manuscript, or in the decision to publish the results.

Appendix A

Table A1. Setup of Models 1–3 for prediction of substrate-specific methane yield. For selection of regressors, stepwise selection (p < 0.15) was chosen.
Table A1. Setup of Models 1–3 for prediction of substrate-specific methane yield. For selection of regressors, stepwise selection (p < 0.15) was chosen.
ModelInput RegressorsSelected Regressors
1LigninLignin
2Ash, lignin, cellulose, hemicellulose, C, N, C:N ratioLignin, C:N ratio, hemicellulose
3Ash, lignin, cellulose, hemicellulose, C, N, C:N ratio, ash × ash, ash × lignin, ash × cellulose, ash × hemicellulose, ash × C, ash × N; ash × C:N ratio, lignin × lignin, lignin × cellulose, lignin × hemicellulose, lignin × C, lignin × N, lignin × C:N ratio, cellulose × cellulose, cellulose × hemicellulose, cellulose × C, cellulose × N, cellulose × C:N ratio, hemicellulose × hemicellulose, hemicellulose × C, hemicellulose × N, hemicellulose × C:N ratio, C × C, C × N, C × C:N ratio, N × N, N × C:N ratio, C:N ratio × C:N ratioLignin × hemicellulose
Table A2. Simple statistics of both quantitative and qualitative traits across establishment procedures.
Table A2. Simple statistics of both quantitative and qualitative traits across establishment procedures.
ParameterUnitMeanStandard DeviationMinimumMaximumn
Number of shoots per plant-21.712.15.041.018
Dry matter content% of fresh matter0.40.10.30.518
Dry matter yield aMg ha−18.17.30.226.424 a
Specific methane yieldlN kg−1 volatile solid−1278.715.1248.1301.018
Methane yield per hectarem3N ha−11200.0854.653.92506.018
Methane content of biogas produced%55.10.754.056.018
Ash% of dry matter4.92.01.97.718
Lignin% of dry matter8.91.96.011.918
Cellulose% of dry matter41.56.332.750.418
Hemicellulose% of dry matter28.22.224.732.218
Carbon% of dry matter46.61.045.348.418
Nitrogen% of dry matter0.70.40.21.318
a For the dry matter yield, also data from the vegetation period 2019 was available.
Table A3. Yield and quality parameters of maize in MUM 2016.
Table A3. Yield and quality parameters of maize in MUM 2016.
ParameterUnitValue
Dry matter yieldMg ha−121.6 ± 1.0
Dry matter content% of fresh matter34.5 ± 1.1
Specific methane yieldlN kg volatile solid−1333.2 ± 0.5
Methane yield per hectarem3N CH4 ha−17210.5 ± 348.4
Figure A1. Leaf:stem ratio (and standard error) of miscanthus from different rhizome-based establishment procedures ‘under maize’ (MUM) and ‘alone (REF) in 2018 and 2019 (the planting was conducted in 2016). Similar upper case letters denote for non-significant (p < 0.15) differences between treatments within years, lower case letters for non-significant differences between years within treatments.

References

  1. Brosse, N.; Dufour, A.; Meng, X.; Sun, Q.; Ragauskas, A. Miscanthus: A fast-growing crop for biofuels and chemicals production. Biofuels Bioprod. Biorefining 2012, 6, 580–598. [Google Scholar] [CrossRef]
  2. Jeżowski, S.; Mos, M.; Buckby, S.; Cerazy-Waliszewska, J.; Owczarzak, W.; Mocek, A.; Kaczmarek, Z.; McCalmont, J.P. Establishment, Growth, and Yield Potential of the Perennial Grass Miscanthus × Giganteus on Degraded Coal Mine Soils. Front. Plant Sci. 2017, 8, 726. [Google Scholar] [CrossRef] [PubMed]
  3. Wagner, M.; Mangold, A.; Lask, J.; Petig, E.; Kiesel, A.; Lewandowski, I. Economic and environmental performance of miscanthus cultivated on marginal land for biogas production. GCB Bioenergy 2019, 11, 34–49. [Google Scholar] [CrossRef]
  4. Von Cossel, M.; Lewandowski, I.; Elbersen, B.; Staritsky, I.; Van Eupen, M.; Iqbal, Y.; Mantel, S.; Scordia, D.; Testa, G.; Cosentino, S.L.; et al. Marginal agricultural land low-input systems for biomass production. Energies 2019, 12, 3123. [Google Scholar] [CrossRef]
  5. Ramirez-Almeyda, J.; Elbersen, B.; Monti, A.; Staritsky, I.; Panoutsou, C.; Alexopoulou, E.; Schrijver, R.; Elbersen, W. Assessing the Potentials for Nonfood Crops. In Modeling and Optimization of Biomass Supply Chains; Elsevier: Amsterdam, The Netherlands, 2017; pp. 219–251. [Google Scholar]
  6. Chen, C.-L.; van der Schoot, H.; Dehghan, S.; Kamei, C.L.A.; Meyer, H.; Schwartz, K.-U.; Visser, R.G.F.; Der Linden, V.; Gerard, C. Genetic diversity of salt tolerance in Miscanthus. Front. Plant Sci. 2017, 8, 187. [Google Scholar] [CrossRef]
  7. Cosentino, S.L.; Copani, V.; Scalici, G.; Scordia, D.; Testa, G. Soil erosion mitigation by perennial species under Mediterranean environment. Bioenergy Res. 2015, 8, 1538–1547. [Google Scholar] [CrossRef]
  8. Iqbal, Y.; Kiesel, A.; Wagner, M.; Nunn, C.; Kalinina, O.; Hastings, A.F.S.J.; Clifton-Brown, J.C.; Lewandowski, I. Harvest time optimization for combustion quality of different miscanthus genotypes across Europe. Front. Plant Sci. 2017, 8. [Google Scholar] [CrossRef]
  9. Lewandowski, I.; Kicherer, A. Combustion quality of biomass: Practical relevance and experiments to modify the biomass quality of Miscanthus x giganteus. Eur. J. Agron. 1997, 6, 163–177. [Google Scholar] [CrossRef]
  10. Anderson, E.; Arundale, R.; Maughan, M.; Oladeinde, A.; Wycislo, A.; Voigt, T. Growth and agronomy of Miscanthus x giganteus for biomass production. Biofuels 2011, 2, 71–87. [Google Scholar] [CrossRef]
  11. Kim, S.J.; Um, B.H.; Im, D.J.; Lee, J.H.; Oh, K.K. Combined Ball Milling and Ethanol Organosolv Pretreatment to Improve the Enzymatic Digestibility of Three Types of Herbaceous Biomass. Energies 2018, 11, 2457. [Google Scholar] [CrossRef]
  12. Kalghatgi, G.; Levinsky, H.; Colket, M. Future transportation fuels. Prog. Energy Combust. Sci. 2018, 69, 103–105. [Google Scholar] [CrossRef]
  13. Von Cossel, M.; Winkler, B.; Mangold, A.; Lewandowski, I.; Elbersen, B.; Wagner, M.; Magenau, E.; Lask, I.; Staritsky, I.; Van Eupen, M.; et al. Bridging the gap between biofuels and biodiversity for a bioeconomy transition—Monetizing social-ecological effects of miscanthus cultivation for isobutanol production. Energy Environ. Sci. under review.
  14. Rauscher, B.; Lewandowski, I. Miscanthus horse bedding compares well to alternatives. In Perennial Biomass Crops for a Resource-Constrained World; Springer International Publishing: Cham, Switzerland, 2016; pp. 297–305. [Google Scholar]
  15. Van Weyenberg, S.; Ulens, T.; De Reu, K.; Zwertvaegher, I.; Demeyer, P.; Pluym, L. Feasibility of Miscanthus as alternative bedding for dairy cows. Vet. Med. (Praha) 2015, 60, 121–132. [Google Scholar] [CrossRef]
  16. Alzagameem, A.; Bergs, M.; Do, X.T.; Klein, S.E.; Rumpf, J.; Larkins, M.; Monakhova, Y.; Pude, R.; Schulze, M. Low-input crops as lignocellulosic feedstock for second-generation biorefineries and the potential of chemometrics in biomass quality control. Appl. Sci. Switz. 2019, 9, 2252. [Google Scholar] [CrossRef]
  17. El Hage, R.; Khalaf, Y.; Lacoste, C.; Nakhl, M.; Lacroix, P.; Bergeret, A. A flame retarded chitosan binder for insulating miscanthus/recycled textile fibers reinforced biocomposites. J. Appl. Polym. Sci. 2019, 136. [Google Scholar] [CrossRef]
  18. Eschenhagen, A.; Raj, M.; Rodrigo, N.; Zamora, A.; Labonne, L.; Evon, P.; Welemane, H. Investigation of Miscanthus and Sunflower Stalk Fiber-Reinforced Composites for Insulation Applications. Adv. Civ. Eng. 2019, 2019. [Google Scholar] [CrossRef]
  19. Pude, R. Bedeutung Morphologischer, Chemischer und Physikalischer Parameter Sowie ihre Interaktionen zur Beurteilung der Baustoffeignung Unterschiedlicher Miscanthus-Herkünfte; Bad Neuenahr-Ahrweiler, Wehle: Bad Neuenahr-Ahrweiler, Germany, 2005. [Google Scholar]
  20. Nichtitz, A.; Thiemann, F.; Völkering, G.; Petry, M.; Pude, R. Eignung ausgewählter mehrjähriger Biomassepflanzen für die Produktion von Hochleistungsdämmputz. Ges Mitt. Ges. Pflanzenbauwiss. 2016, 28, 180–181. [Google Scholar]
  21. Lewandowski, I.; Clifton-Brown, J.; Trindade, L.M.; Van Der Linden, G.; Schwarz, K.-U.; Müller-Sämann, K.; Anisimov, A.; Chen, C.-L.; Dolstra, O.; Donnison, I.S. Progress on optimizing miscanthus biomass production for the European bioeconomy: Results of the EU FP7 project OPTIMISC. Front. Plant Sci. 2016, 7, 1620. [Google Scholar] [CrossRef]
  22. Baute, K.; Van Eerd, L.L.; Robinson, D.E.; Sikkema, P.H.; Mushtaq, M.; Gilroyed, B.H. Comparing the Biomass Yield and Biogas Potential of Phragmites australis with Miscanthus x giganteus and Panicum virgatum Grown in Canada. Energies 2018, 11, 2198. [Google Scholar] [CrossRef]
  23. Iqbal, Y.; Lewandowski, I. Inter-annual variation in biomass combustion quality traits over five years in fifteen Miscanthus genotypes in south Germany. Fuel Process. Technol. 2014, 121, 47–55. [Google Scholar] [CrossRef]
  24. Kiesel, A.; Nunn, C.; Iqbal, Y.; Van der Weijde, T.; Wagner, M.; Özgüven, M.; Tarakanov, I.; Kalinina, O.; Trindade, L.M.; Clifton-Brown, J. Site-specific management of miscanthus genotypes for combustion and anaerobic digestion: A comparison of energy yields. Front. Plant Sci. 2017, 8. [Google Scholar] [CrossRef] [PubMed]
  25. Van der Weijde, R. Targets and Tools for Optimizing Lignocellulosic Biomass Quality of Miscanthus. Ph.D. Thesis, Wageningen University, Wageningen, The Netherlands, 2016. [Google Scholar]
  26. Wang, Z.; Dunn, J.B.; Wang, M.Q. Greet Model Miscanthus Parameter Development; Center for Transportation Research, Argonne National Laboratory: Argonne, IL, USA, 2012. [Google Scholar]
  27. Van der Weijde, T.; Kiesel, A.; Iqbal, Y.; Muylle, H.; Dolstra, O.; Visser, R.G.; Lewandowski, I.; Trindade, L.M. Evaluation of Miscanthus sinensis biomass quality as feedstock for conversion into different bioenergy products. Gcb Bioenergy 2016. [Google Scholar] [CrossRef]
  28. Weiland, P. Biomass Digestion in Agriculture: A Successful Pathway for the Energy Production and Waste Treatment in Germany. Eng. Life Sci. 2006, 6, 302–309. [Google Scholar] [CrossRef]
  29. Weiland, P. Biogas production: Current state and perspectives. Appl. Microbiol. Biotechnol. 2010, 85, 849–860. [Google Scholar] [CrossRef] [PubMed]
  30. Scarlat, N.; Dallemand, J.-F.; Fahl, F. Biogas: Developments and perspectives in Europe. Renew Energy 2018, 129, 457–472. [Google Scholar] [CrossRef]
  31. Daniel-Gromke, J.; Rensberg, N.; Denysenko, V.; Stinner, W.; Schmalfu, S.S.T.; Scheftelowitz, M.; Nelles, M.; Liebetrau, J. Current developments in production and utilization of biogas and biomethane in Germany. Chem. Ing. Tech. 2018, 90, 17–35. [Google Scholar] [CrossRef]
  32. Divya, D.; Gopinath, L.R.; Christy, P.M. A review on current aspects and diverse prospects for enhancing biogas production in sustainable means. Renew Sustain. Energy Rev. 2015, 42, 690–699. [Google Scholar] [CrossRef]
  33. Theuerl, S.; Herrmann, C.; Heiermann, M.; Grundmann, P.; Landwehr, N.; Kreidenweis, U.; Prochnow, A. The Future Agricultural Biogas Plant in Germany: A Vision. Energies 2019, 12, 396. [Google Scholar] [CrossRef]
  34. Von Cossel, M.; Mangold, A.; Iqbal, Y.; Hartung, J.; Lewandowski, I.; Kiesel, A. How to Generate Yield in the First Year—A Three-Year Experiment on Miscanthus (Miscanthus × giganteus (Greef et Deuter)) Establishment under Maize (Zea mays L.). Agronomy 2019, 9, 237. [Google Scholar] [CrossRef]
  35. Clifton-Brown, J.C.; Lewandowski, I.; Andersson, B.; Basch, G.; Christian, D.G.; Kjeldsen, J.B.; Jørgensen, U.; Mortensen, J.V.; Riche, A.B.; Schwarz, K.-U. Performance of 15 Miscanthus genotypes at five sites in Europe. Agron. J. 2001, 93, 1013–1019. [Google Scholar] [CrossRef]
  36. Clifton-Brown, J.C.; Lewandowski, I. Water use efficiency and biomass partitioning of three different Miscanthus genotypes with limited and unlimited water supply. Ann. Bot. 2000, 86, 191–200. [Google Scholar] [CrossRef]
  37. Ashman, C.; Awty-Carroll, D.; Mos, M.; Robson, P.; Clifton-Brown, J. Assessing seed priming, sowing date, and mulch film to improve the germination and survival of direct-sown Miscanthus sinensis in the United Kingdom. GCB Bioenergy 2018, 10, 612–627. [Google Scholar] [CrossRef] [PubMed]
  38. Winkler, B.; Lemke, S.; Ritter, J.; Lewandowski, I. Integrated assessment of renewable energy potential: Approach and application in rural South Africa. Environ. Innov. Soc. Transit. 2017, 24, 17–31. [Google Scholar] [CrossRef]
  39. Hastings, A.; Mos, M.; Yesufu, J.A.; McCalmont, J.; Schwarz, K.; Shafei, R.; Ashman, C.; Nunn, C.; Schuele, H.; Cosentino, S.; et al. Economic and Environmental Assessment of Seed and Rhizome Propagated Miscanthus in the UK. Front. Plant Sci. 2017, 8. [Google Scholar] [CrossRef] [PubMed]
  40. Mann, J.J.; Barney, J.N.; Kyser, G.B.; Tomaso, J.M.D. Miscanthus × giganteus and Arundo donax shoot and rhizome tolerance of extreme moisture stress. GCB Bioenergy 2013, 5, 693–700. [Google Scholar] [CrossRef]
  41. Olave, R.J.; Forbes, E.G.A.; Munoz, F.; Laidlaw, A.S.; Easson, D.L.; Watson, S. Performance of Miscanthus x giganteus (Greef et Deu) established with plastic mulch and grown from a range of rhizomes sizes and densities in a cool temperate climate. Field Crops Res. 2017, 210, 81–90. [Google Scholar] [CrossRef]
  42. Xue, S.; Kalinina, O.; Lewandowski, I. Present and future options for Miscanthus propagation and establishment. Renew Sustain. Energy Rev. 2015, 49, 1233–1246. [Google Scholar] [CrossRef]
  43. Xue, S.; Lewandowski, I.; Kalinina, O. Miscanthus establishment and management on permanent grassland in southwest Germany. Ind. Crops Prod. 2017, 108, 572–582. [Google Scholar] [CrossRef]
  44. O’Loughlin, J.; Finnan, J.; McDonnell, K. Accelerating early growth in miscanthus with the application of plastic mulch film. Biomass Bioenergy 2017, 100, 52–61. [Google Scholar] [CrossRef]
  45. Prcik, M.; Kotrla, M. Different planting material for establishment of the Miscanthus energy grass plantation. J. Cent. Eur. Agric. 2016, 7, 778–792. [Google Scholar] [CrossRef][Green Version]
  46. Kiesel, A.; Lewandowski, I. Miscanthus as biogas substrate – cutting tolerance and potential for anaerobic digestion. GCB Bioenergy 2017, 9, 153–167. [Google Scholar] [CrossRef]
  47. Von Cossel, M.; Iqbal, Y.; Lewandowski, I. Improving the Ecological Performance of Miscanthus (Miscanthus × giganteus Greef et Deuter) through Intercropping with Woad (Isatis tinctoria L.) and Yellow Melilot (Melilotus officinalis L.). Agriculture 2019, 9, 194. [Google Scholar] [CrossRef]
  48. Naumann, C.; Bassler, R. VDLUFA Methodenbuch: Die Chemische Untersuchung von Futtermitteln. Band III VDLUFA-Verl; VDLUFA-Verlag: Darmstadt, Germany, 2006. [Google Scholar]
  49. Von Cossel, M.; Möhring, J.; Kiesel, A.; Lewandowski, I. Methane yield performance of amaranth (Amaranthus hypochondriacus L.) and its suitability for legume intercropping in comparison to maize (Zea mays L.). Ind. Crops Prod. 2017, 103, 107–121. [Google Scholar] [CrossRef]
  50. VDI. VDI 4630: Fermentation of Organic Materials—Characterization of the Substrate, Sampling, Collection of Material Data, Fermentation Tests; Verein Deutscher Ingenieure e.V.-Gesellschaft Energie und Umwelt: Düsseldorf, Germany, 2016. [Google Scholar]
  51. Von Cossel, M.; Möhring, J.; Kiesel, A.; Lewandowski, I. Optimization of specific methane yield prediction models for biogas crops based on lignocellulosic components using non-linear and crop-specific configurations. Ind. Crops Prod. 2018, 120, 330–342. [Google Scholar] [CrossRef]
  52. Piepho, H.-P. An algorithm for a letter-based representation of all-pairwise comparisons. J. Comput. Graph. Stat. 2004, 13, 456–466. [Google Scholar] [CrossRef]
  53. Wolfinger, R. Covariance structure selection in general mixed models. Commun. Stat.Simul. Comput. 1993, 22, 1079–1106. [Google Scholar] [CrossRef]
  54. Kenward, M.G.; Roger, J.H. Small sample inference for fixed effects from restricted maximum likelihood. Biometrics 1997, 53, 983–997. [Google Scholar] [CrossRef]
  55. Kahle, P.; Beuch, S.; Boelcke, B.; Leinweber, P.; Schulten, H.-R. Cropping of Miscanthus in Central Europe: Biomass production and influence on nutrients and soil organic matter. Eur. J. Agron. 2001, 15, 171–184. [Google Scholar] [CrossRef]
  56. Huggett, D.A.J.; Leather, S.R.; Walters, K.F.A. Suitability of the biomass crop Miscanthus sinensis as a host for the aphids Rhopalosiphum padi (L.) and Rhopalosiphum maidis (F.), and its susceptibility to the plant luteovirus Barley Yellow Dwarf Virus. Agric. For. Entomol. 1999, 1, 143–149. [Google Scholar] [CrossRef]
  57. Meibaum, B.; Riede, S.; Schröder, B.; Manderscheid, R.; Weigel, H.-J.; Breves, G. Elevated CO2 and drought stress effects on the chemical composition of maize plants, their ruminal fermentation and microbial diversity in vitro. Arch. Anim. Nutr. 2012, 66, 473–489. [Google Scholar] [CrossRef]
  58. Jiang, Y.; Yao, Y.; Wang, Y. Physiological response, cell wall components, and gene expression of switchgrass under short-term drought stress and recovery. Crop Sci. 2012, 52, 2718–2727. [Google Scholar] [CrossRef]
  59. Dandikas, V.; Heuwinkel, H.; Lichti, F.; Drewes, J.E.; Koch, K. Correlation between Biogas Yield and Chemical Composition of Grassland Plant Species. Energy Fuels 2015, 29, 7221–7229. [Google Scholar] [CrossRef]
  60. Hall, M.; Bansal, P.; Lee, J.H.; Realff, M.J.; Bommarius, A.S. Cellulose crystallinity–a key predictor of the enzymatic hydrolysis rate. FEBS J. 2010, 277, 1571–1582. [Google Scholar] [CrossRef] [PubMed]
  61. Yoshida, M.; Liu, Y.; Uchida, S.; Kawarada, K.; Ukagami, Y.; Ichinose, H.; Kaneko, S.; Fukuda, K. Effects of cellulose crystallinity, hemicellulose, and lignin on the enzymatic hydrolysis of Miscanthus sinensis to monosaccharides. Biosci. Biotechnol. Biochem. 2008, 72, 805–810. [Google Scholar] [CrossRef] [PubMed]
  62. Xu, N.; Zhang, W.; Ren, S.; Liu, F.; Zhao, C.; Liao, H.; Xu, Z.; Huang, J.; Li, Q.; Tu, Y.; et al. Hemicelluloses negatively affect lignocellulose crystallinity for high biomass digestibility under NaOH and H2SO 4 pretreatments in Miscanthus. Biotechnol. Biofuels 2012, 5. [Google Scholar] [CrossRef]
  63. Liitiä, T.; Maunu, S.L.; Hortling, B.; Tamminen, T.; Pekkala, O.; Varhimo, A. Cellulose crystallinity and ordering of hemicelluloses in pine and birch pulps as revealed by solid-state NMR spectroscopic methods. Cellulose 2003, 10, 307–316. [Google Scholar] [CrossRef]
  64. Mangold, A.; Lewandowski, I.; Hartung, J.; Kiesel, A. Miscanthus for biogas production: Influence of harvest date and ensiling on digestibility and methane hectare yield. GCB Bioenergy 2019, 11, 50–62. [Google Scholar] [CrossRef]
  65. Schmidt, A.; Lemaigre, S.; Ruf, T.; Delfosse, P.; Emmerling, C. Miscanthus as biogas feedstock: Influence of harvest time and stand age on the biochemical methane potential (BMP) of two different growing seasons. Biomass Convers Biorefinery 2018, 8, 245–254. [Google Scholar] [CrossRef]
  66. Ruf, T.; Emmerling, C. Impact of premature harvest of Miscanthus x giganteus for biogas production on organic residues, microbial parameters and earthworm community in soil. Appl. Soil Ecol. 2017, 114, 74–81. [Google Scholar] [CrossRef]
  67. Ruf, T.; Schmidt, A.; Delfosse, P.; Emmerling, C. Harvest date of Miscanthus x giganteus affects nutrient cycling, biomass development and soil quality. Biomass Bioenergy 2017, 100, 62–73. [Google Scholar] [CrossRef]
  68. Ning, J.; Zhou, M.; Pan, X.; Li, C.; Lv, N.; Wang, T.; Cai, G.; Wang, R.; Li, J.; Zhu, G. Simultaneous biogas and biogas slurry production from co-digestion of pig manure and corn straw: Performance optimization and microbial community shift. Bioresour. Technol. 2019, 282, 37–47. [Google Scholar] [CrossRef] [PubMed]
  69. Dang, Y.; Holmes, D.E.; Zhao, Z.; Woodard, T.L.; Zhang, Y.; Sun, D.; Wang, L.-Y.; Nevin, K.P.; Lovley, D.R. Enhancing anaerobic digestion of complex organic waste with carbon-based conductive materials. Bioresour. Technol. 2016, 220, 516–522. [Google Scholar] [CrossRef] [PubMed]
  70. Tayyab, A.; Ahmad, Z.; Mahmood, T.; Khalid, A.; Qadeer, S.; Mahmood, S.; Andleeb, S.; Anjum, M. Anaerobic co-digestion of catering food waste utilizing Parthenium hysterophorus as co-substrate for biogas production. Biomass Bioenergy 2019, 124, 74–82. [Google Scholar] [CrossRef]
  71. Xu, Z.; Zhao, M.; Miao, H.; Huang, Z.; Gao, S.; Ruan, W. In situ volatile fatty acids influence biogas generation from kitchen wastes by anaerobic digestion. Bioresour. Technol. 2014, 163, 186–192. [Google Scholar] [CrossRef] [PubMed]
  72. Kiesel, A.; Wagner, M.; Lewandowski, I. Environmental Performance of Miscanthus, Switchgrass and Maize: Can C4 Perennials Increase the Sustainability of Biogas Production? Sustainability 2016, 9, 5. [Google Scholar] [CrossRef]
  73. Schäfer, J.; Sattler, M.; Iqbal, Y.; Lewandowski, I.; Bunzel, M. Characterization of Miscanthus cell wall polymers. Glob. Change Biol. Bioenergy 2019, 11, 191–205. [Google Scholar] [CrossRef]
  74. Mangold, A.; Lewandowski, I.; Möhring, J.; Clifton-Brown, J.; Krzyżak, J.; Mos, M.; Pogrzeba, M.; Kiesel, A. Harvest date and leaf:stem ratio determine methane hectare yield of miscanthus biomass. GCB Bioenergy 2019, 11, 21–33. [Google Scholar] [CrossRef]
  75. Sonwai, A.; Pholchan, P.; Nuntaphan, A.; Juangjandee, P.; Totarat, N. Biochemical Methane Potential of Fresh and Silage 4190 Grass Under Thermophilic Conditions. Thai Environ. Eng. J. 2019, 33, 21–29. [Google Scholar]
  76. Baldini, M.; da Borso, F.; Ferfuia, C.; Zuliani, F.; Danuso, F. Ensilage suitability and bio-methane yield of Arundo donax and Miscanthus×giganteus. Ind. Crops Prod. 2017, 95, 264–275. [Google Scholar] [CrossRef]
  77. Wahid, R.; Nielsen, S.F.; Hernandez, V.M.; Ward, A.J.; Gislum, R.; Jørgensen, U.; Møller, H.B. Methane production potential from Miscanthus sp.: Effect of harvesting time, genotypes and plant fractions. Biosyst. Eng. 2015, 133, 71–80. [Google Scholar] [CrossRef]
  78. Winkler, B.; Mangold, A.; Von Cossel, M.; Iqbal, Y.; Kiesel, A.; Lewandowski, I. Implementing miscanthus into sustainable farming systems: A review on agronomic practices, capital and labor demand. Rev. Artic. Rev. under review.
  79. Von Cossel, M.; Wagner, M.; Lask, J.; Magenau, E.; Bauerle, A.; Von Cossel, V.; Warrach-Sagi, K.; Elbersen, B.; Staritsky, I.; Van Eupen, M.; et al. Prospects of Bioenergy Cropping Systems for A More Social-Ecologically Sound Bioeconomy. Agronomy 2019, 9, 605. [Google Scholar] [CrossRef]
  80. Yadav, P.; Priyanka, P.; Kumar, D.; Yadav, A.; Yadav, K. Bioenergy Crops: Recent Advances and Future Outlook. In Prospects of Renewable Bioprocessing in Future Energy Systems; Rastegari, A.A., Yadav, A.N., Gupta, A., Eds.; Biofuel and Biorefinery Technologies; Springer International Publishing: Cham, Germany, 2019; pp. 315–335. ISBN 978-3-030-14463-0. [Google Scholar]
  81. Gerwin, W.; Repmann, F.; Galatsidas, S.; Vlachaki, D.; Gounaris, N.; Baumgarten, W.; Volkmann, C.; Keramitzis, D.; Kiourtsis, F.; Freese, D. Assessment and quantification of marginal lands for biomass production in Europe using soil-quality indicators. SOIL 2018, 4, 267–290. [Google Scholar] [CrossRef]

Article Metrics

Citations

Article Access Statistics

Multiple requests from the same IP address are counted as one view.