Design and Hardware-in-the-Loop Implementation of Fuzzy-Based Proportional-Integral Control for the Traction Line-Side Converter of a High-Speed Train
Abstract
:1. Introduction
2. Mathematical Model of Single-Phase LSC
3. Fuzzy PI Control of a Single-Phase TLSC
3.1. Fuzzification
3.2. Fuzzy Inference System (FIS)
3.3. Defuzzification
4. Simulation and Verification
4.1. Simulation of Single-Phase LSC
4.2. Sudden-Load-Change Test
4.3. Variable Grid Inductance Test
4.4. Simulation of Multiple EMUs
5. LFO Suppression Test (Worst-Case Scenario)
6. HIL Simulation Platform of Traction LSC
7. Conclusions
- (1)
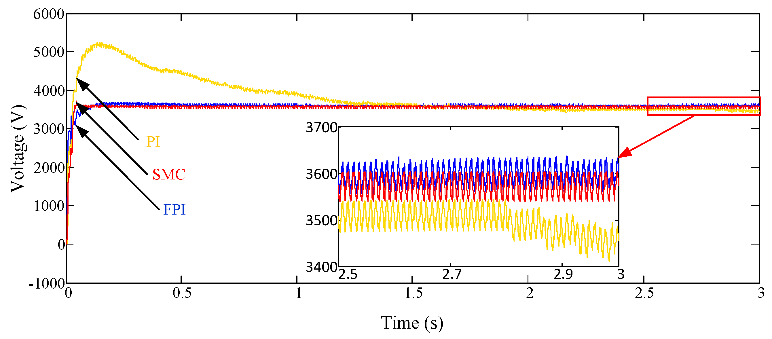
- MATLAB simulation results show that FPI control has better static and dynamic characteristics, such as shorter settling time, less line current THD, and smaller overshoot. When the load changes suddenly, the anti-interference quality of the proposed controller is stronger, and the coupling degree of dq is also better.
- (2)
- A parameter sensitivity test of grid inductance shows that both the proposed FPI and SMC control can track the reference value of the DC-link voltage when the grid inductance varied. While PI, on the other hand, cannot track the reference value of the DC-link voltage under the same condition, this shows the superiority of the proposed FPI controller to the system’s external disturbance.
- (3)
- When evaluating multiple EMUs in the reduced-order model of the TPS, the results show that FPI control can guarantee the stability of TLSC and eliminate the low-frequency oscillation more effectively than PI control.
- (4)
- VLFO suppression test conducted under the worst-case scenario confirms the elimination effect of the proposed FPI control scheme on VLFO.
- (5)
- HIL simulation results validate the effectiveness of the proposed FPI control and its superiority in practical applications compared with PI control.
Author Contributions
Funding
Acknowledgments
Conflicts of Interest
Appendix A
| System Parameter | Value | Control Parameter | Value |
|---|---|---|---|
| us | 27.5 kV | Kiv | 2 |
| LN | 0.0054 H | Kpv | 1 |
| RN | 0.145 Ω | Kii | 1.5 |
| Lo | 0.006 H | Kpi | 8 |
| Cd | 0.009 F | b | 0.0098 |
| ud | 3600 V | K1 and K2 | 700 |
| Rload | 25 Ω | e1 and e2 | 19 |
References
- Liu, Z.; Wang, Y.; Liu, S.; Li, Z.; Zhang, H.; Zhang, Z. An approach to suppress low-frequency oscillation by combining extended state observer with model predictive control of EMUs rectifier. IEEE Trans. Power Electron. 2019, 34, 10282–10297. [Google Scholar] [CrossRef]
- Tasiu, I.A.; Krushnasamy, V.S.; Juliet, A.V. Analysis of four-quadrant operation and speed control of BLDC motor using fuzzy logic controller in SIMULINK. Int. J. Appl. Eng. Res. 2015, 10, 15633–15638. [Google Scholar]
- Cecati, C.; Ciancetta, F.; Siano, P. A Multilevel inverter for photovoltaic systems with fuzzy logic control. IEEE Trans. Ind. Electron. 2010, 57, 4115–4125. [Google Scholar] [CrossRef]
- So, W.-C.; Tse, C.K.; Lee, Y.-S. Development of a fuzzy logic controller for dc/dc converters: Design, computer simulation, and experimental evaluation. IEEE Trans. Power Electron. 2006, 14, 293–300. [Google Scholar]
- Mattavelli, P.; Rossetto, L.; Spiazzi, G.; Tenti, P. General-purpose fuzzy controller for dc–dc converters. IEEE Trans. Power Electron. 1997, 12, 79–86. [Google Scholar] [CrossRef]
- Han, Y.; Fang, X.; Yang, P.; Wang, C.; Xu, L.; Guerrero, J.M. Stability Analysis of Digital-Controlled Single-Phase Inverter with Synchronous Reference Frame Voltage Control. IEEE Trans. Power Electron. 2018, 33, 6333–6350. [Google Scholar] [CrossRef]
- Kapoor, R.; Tripathi, M.M. Detection and classification of multiple power signal patterns with Volterra series and interval type-2 fuzzy logic system. Prot. Control. Mod. Power Syst. 2017, 2, 92–101. [Google Scholar] [CrossRef]
- Yan, H.; Xu, Y.; Cai, F.; Zhang, H.; Zhao, W.; Gerada, C. PWM-VSI fault diagnosis for a PMSM drive based on the fuzzy logic approach. IEEE Trans. Power Electron. 2019, 34, 759–768. [Google Scholar] [CrossRef]
- Noureldeen, O.; Hamdan, I. A novel controllable crowbar based on fault type protection technique for DFIG wind energy conversion system using adaptive neuro-fuzzy inference system. Prot. Control. Mod. Power Syst. 2018, 3, 328–339. [Google Scholar] [CrossRef]
- Zhu, Y.; Fei, J. Disturbance observer-based fuzzy sliding mode control of PV grid-connected inverter. IEEE Access 2018, 6, 21202–21211. [Google Scholar] [CrossRef]
- Soliman, M.A.; Hasanien, H.M.; Azazi, H.Z.; El-Kholy, E.E.; Mahmoud, S.A. An adaptive fuzzy logic control strategy for performance enhancement of a grid-connected PMSG-based wind turbine. IEEE Trans. Ind. Inform. 2019, 15, 3163–3173. [Google Scholar] [CrossRef]
- Bhosale, R.; Agarwal, V. Fuzzy logic control of the ultracapacitor interface for enhance transient response and voltage stability of a DC microgrid. IEEE Trans. Ind. Appl. 2019, 55, 712–720. [Google Scholar] [CrossRef]
- Hong, Y.-Y.; Liu, M.-J. Optimized interval type-II controller-based STATCOM for voltage regulation in power systems with photovoltaic farm. IEEE Access 2018, 6, 78731–78739. [Google Scholar] [CrossRef]
- Hannan, M.A.; Ghani, Z.A.; Hoque, M.M.; Ker, P.J.; Hussain, A.; Mohamed, A. Fuzzy logic inverter controller in photovoltaic applications: Issues and recommendations. IEEE Access 2019, 7, 24934–24955. [Google Scholar] [CrossRef]
- Menth, S.; Meyer, M. Low-frequency power oscillation in electric railway systems. Elek. Bahnen 2006, 104, 216–221. [Google Scholar]
- Zhang, G.; Liu, Z.; Yao, S.; Liao, Y.; Xiang, C. Suppression of low-frequency oscillation in traction network of high-speed railway based on auto-disturbance rejection control. IEEE Trans. Transp. Electrif. 2016, 2, 244–255. [Google Scholar] [CrossRef]
- Liu, Z.; Zhang, G.; Liao, Y. Stability research of high-speed railway EMUs and traction network cascade system considering impedance matching. IEEE Trans. Ind. Appl. 2016, 52, 4315–4326. [Google Scholar] [CrossRef]
- Liu, Z.; Hu, X.; Liao, Y. Vehicle-grid system stability analysis based on norm criterion and suppression of low-frequency oscillation with MMC-STATCOM. IEEE Trans. Transp. Electrif. 2018, 4, 757–766. [Google Scholar] [CrossRef]
- Liu, Z.; Li, J.; Li, Z. Research on current decoupling control system based on dual closed-loop PI control. Process. Autom. Instrum. 2018, 33, 35–58. [Google Scholar]
- Mollerstedt, E.; Bernhardsson, B. Out of control because of harmonics-an analysis of the harmonic response of an inverter locomotive. IEEE Trans. Control. Syst. 2000, 20, 70–81. [Google Scholar]
- Wang, H.; Wu, M.; Sun, J. Analysis of low-frequency oscillation in electric railways based on small-signal modeling of vehicle-grid system in dq frame. IEEE Trans. Power Electron. 2015, 30, 5318–5330. [Google Scholar] [CrossRef]
- Han, Z.; Tang, L.; Li, W. Causal analysis and resolution of the voltage instability between AC drive electric locomotive and power supply network. J. China Railw. Soc. 2011, 33, 25–28. [Google Scholar]
- Yang, Y.; Zhou, K.; Wang, H.; Blaabjerg, F. Analysis and mitigation of dead-time harmonics in the single-phase full-bridge PWM converter with repetitive controllers. IEEE Trans. Ind. Appl. 2018, 54, 5343–5354. [Google Scholar] [CrossRef]
- Sharifzadeh, M.; Vahedi, H.; Portillo, R.; Franquelo, L.G.; Al-Haddad, K. Selective harmonic mitigation based self-elimination of triplen harmonic for single-phase five-level inverters. IEEE Trans. Power Electron. 2019, 34, 86–96. [Google Scholar] [CrossRef]
- Liu, Z.; Xiang, C.; Wang, Y.; Liao, Y.; Zhang, G. A model-based predictive direct power control for traction line-side converter in high-speed railway. IEEE Trans. Ind. Appl. 2017, 53, 4934–4943. [Google Scholar] [CrossRef]
- Silva, J.F. Sliding-mode control of boost-type unity-power-factor PWM rectifiers. IEEE Trans. Ind. Electron. 1999, 46, 594–603. [Google Scholar] [CrossRef]
- Alsumiri, M.; Li, L.; Jiang, L.; Tang, W. Residue Theorem based soft sliding mode control for wind power generation systems. Prot. Control. Mod. Power Syst. 2018, 3, 247–258. [Google Scholar] [CrossRef]
- Ayyarao, T.S. Modified vector controlled DFIG wind energy system based on barrier function adaptive sliding mode control. Prot. Control. Mod. Power Syst. 2019, 4, 34–41. [Google Scholar] [CrossRef]
- Mevai, M.; Naouar, M.W.; S-Belkhodja, I.; Monmasson, E. An adaptive PI controller design for DC-link voltage control of single-phase grid-connected converters. IEEE Trans. Ind. Electron. 2019, 66, 6241–6249. [Google Scholar]
- Liu, Z.; Geng, Z.; Wu, S.; Hu, X.; Zhang, Z. A passivity-based control of Euler-Lagrange model for suppressing voltage low-frequency oscillation in high-speed railway. IEEE Trans. Ind. Inform. 2019. [Google Scholar] [CrossRef]
- Liu, Z.; Liu, S.; Li, Z.; Tasiu, I. A novel approach based on extended state observer sliding mode control to suppress low-frequency oscillation traction network. IEEE Access 2019, 7, 52440–52454. [Google Scholar] [CrossRef]
- Zeb, K.; Islam, S.U.; Din, W.U.; Khan, I.; Ishfaq, M.; Busarello, T.D.C.; Ahmad, I.; Kim, H.J. Design of fuzzy-PI and fuzzy-sliding mode controllers for single-phase two-stages grid-connected transformerless photovoltaic inverter. Electronics 2019, 8, 520. [Google Scholar] [CrossRef]
- Pourmand, M.J.; Taghaei, S.; Vatankhah, R.; Arefi, M.M. An underactuated bio-inspired helical swimming microrobot using fuzzy-PI controller with novel detection method for 5-DOF micromanipulation. Designs 2018, 2, 18. [Google Scholar] [CrossRef]
- Zhang, F.; Liu, H.; Hu, Y.; Xi, J. A supervisory control algorithm of hybrid electric vehicle based on adaptive equivalent consumption minimization strategy with fuzzy PI. Energies 2016, 9, 919. [Google Scholar] [CrossRef]
- Xiao, Y.; Zhang, T.; Ding, Z.; Li, C. The study of fuzzy proportional-integral controllers based on improved particle swarm optimization for permanent magnet direct drive wind turbine converters. Energies 2016, 9, 343. [Google Scholar] [CrossRef]
- Sukumar, S.; Marsadek, M.; Ramasamy, A.; Mokhlis, H.; Mekhilef, S. A fuzzy-based PI controller for power management of a grid-connected PV-SOFC hybrid system. Energies 2017, 10, 1720. [Google Scholar] [CrossRef]



























| NB | NM | NS | ZO | PS | PM | PB | |
|---|---|---|---|---|---|---|---|
| NB | PB | PB | PB | PB | PS | ZO | NS |
| NM | PB | PB | PB | PM | ZO | NS | NM |
| NS | PB | PM | PM | PS | NS | NM | NB |
| ZO | PS | ZO | ZO | ZO | ZO | ZO | NS |
| PS | NB | NM | NS | PS | PM | PM | PB |
| PM | NM | NS | ZO | PM | PB | PB | PB |
| PB | NS | ZO | PS | PB | PB | PB | PB |
| NB | NM | NS | ZO | PS | PM | PB | |
|---|---|---|---|---|---|---|---|
| NB | PB | PB | PB | PB | NS | NM | NB |
| NM | PB | PB | PM | PM | PM | NB | NB |
| NS | PB | PM | PM | PS | NB | NB | NB |
| ZO | ZO | ZO | ZO | ZO | ZO | ZO | NM |
| PS | NB | NB | NB | PS | PS | PM | PB |
| PM | NB | NB | PM | PM | PB | PB | PB |
| PB | NB | NM | NS | PB | PB | PB | PB |
| Control | Overshoot | Peak Time | Adjustment Time | Voltage Fluctuation | THD |
|---|---|---|---|---|---|
| PI | 20.8% | 0.23s | 1.5s | ±40 V | 7.89% |
| SMC | - | - | 0.093s | ±25 V | 6.11% |
| FPI | - | - | 0.085s | ±20 V | 4.61% |
| S/No. | Topic | Control Objectives | Advantages | Disadvantages | Reference |
|---|---|---|---|---|---|
| 1 | Line-side converter Control. | To optimize the performance of the TLSC. To suppress the effect of voltage VLFO. | Smaller overshoot, shorter settling time, and less current THD. Excellent DC-link voltage tracking ability. | Massive memory space occupation, and execution time. | [Proposed control method] |
| 2 | Photovoltaic inverter control. | To regulate DC-link voltage. | Improve the steady-state and dynamic performance of the grid-connected PV system. Less harmonic contents. | Complex control structure. | [32] |
| 3 | Micro-robot motion control. | To provide 5 degrees of freedom (DOF) for an under actuated bio-inspired helical swimming micro-robot. | Good steady-state error elimination. Robust with an effective trajectory. | It is limited to three helixes as actuators. Only a hydrodynamic force is considered. | [33] |
| 4 | Hybrid electric vehicle control. | To enhance fuel economy. To impose a state of charge (SoC) sustainability. | Optimal fuel consumption. Sustainable SoC. Robust with excellent tracking ability. | It cannot guarantee optimality at each time step. | [34] |
| 5 | Wind turbine converter control. | To achieve the global optimization for quantization factors ke and kec, and scale factors kup and kui | Less DC voltage overshoot and faster regulation. Excellent speed tracking ability. | It is limited to the maximum power point tracking (MPPT) stage. Low execution time speed. | [35] |
| 6 | Power management control. | To minimize the power drawn from the grid. Operate the SOFC within a specific power range. | Smaller overshoot and oscillations. Robust. | The fuzzy control solution is specifically designed for the integral time absolute error (ITAE) performance criteria. The controller might provide different solutions if different performance criteria, such as integral absolute error (IEA) or integral square error (ISE), were used. | [36] |
© 2019 by the authors. Licensee MDPI, Basel, Switzerland. This article is an open access article distributed under the terms and conditions of the Creative Commons Attribution (CC BY) license (http://creativecommons.org/licenses/by/4.0/).
Share and Cite
Yan, Q.; Tasiu, I.A.; Chen, H.; Zhang, Y.; Wu, S.; Liu, Z. Design and Hardware-in-the-Loop Implementation of Fuzzy-Based Proportional-Integral Control for the Traction Line-Side Converter of a High-Speed Train. Energies 2019, 12, 4094. https://doi.org/10.3390/en12214094
Yan Q, Tasiu IA, Chen H, Zhang Y, Wu S, Liu Z. Design and Hardware-in-the-Loop Implementation of Fuzzy-Based Proportional-Integral Control for the Traction Line-Side Converter of a High-Speed Train. Energies. 2019; 12(21):4094. https://doi.org/10.3390/en12214094
Chicago/Turabian StyleYan, Qixiang, Ibrahim Adamu Tasiu, Hong Chen, Yuting Zhang, Siqi Wu, and Zhigang Liu. 2019. "Design and Hardware-in-the-Loop Implementation of Fuzzy-Based Proportional-Integral Control for the Traction Line-Side Converter of a High-Speed Train" Energies 12, no. 21: 4094. https://doi.org/10.3390/en12214094
APA StyleYan, Q., Tasiu, I. A., Chen, H., Zhang, Y., Wu, S., & Liu, Z. (2019). Design and Hardware-in-the-Loop Implementation of Fuzzy-Based Proportional-Integral Control for the Traction Line-Side Converter of a High-Speed Train. Energies, 12(21), 4094. https://doi.org/10.3390/en12214094

