Coupling Coefficient Measurement Method with Simple Procedures Using a Two-Port Network Analyzer for a Multi-Coil WPT System
Abstract
:1. Introduction
2. Effect of Inaccurate Coupling Coefficient on PTE of a Multi-Coil WPT System
3. Conventional and Proposed Methods
3.1. Conventional Measurement Methods
3.2. Proposed Measurement Method
3.3. Simplicity of the Proposed Method
4. Experimental Setup and Results
4.1. Experimental Setup for Measurement
4.2. Changing Coupling Coefficient between Coils
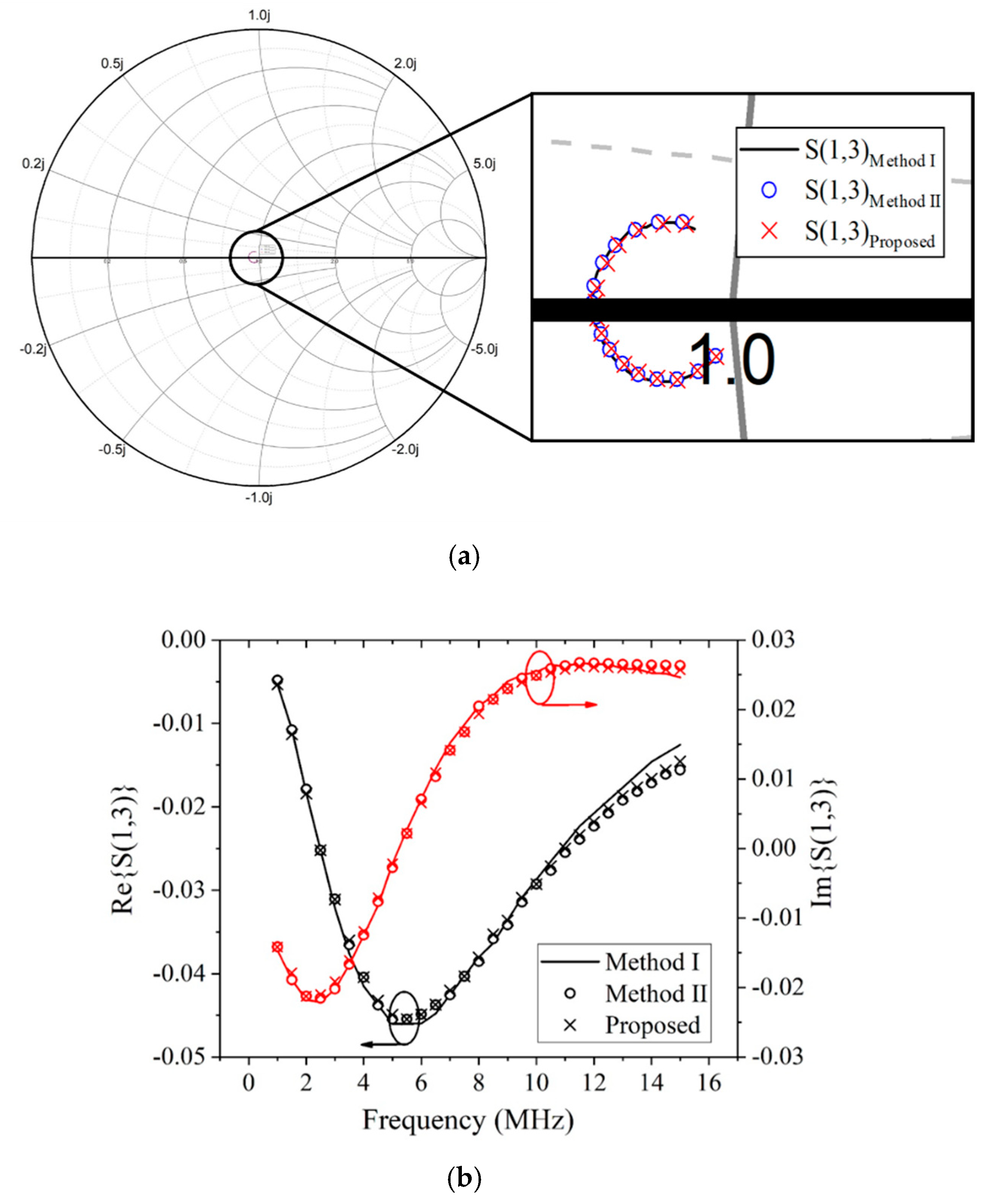
4.3. Comparison Results and Discussion
5. Conclusions
Author Contributions
Funding
Conflicts of Interest
References
- Kalwar, K.A.; Aamir, M.; Mekhilef, S. A design method for developing a high misalignment tolerant wireless charging system for electric vehicles. Measurement 2018, 118, 237–245. [Google Scholar] [CrossRef]
- Mao, S.; Wang, H.; Zhu, C.; Mao, Z.-H.; Sun, M. Simultaneous wireless power transfer and data communication using synchronous pulse-controlled load modulation. Measurement 2017, 109, 316–325. [Google Scholar] [CrossRef] [PubMed]
- Anowar, T.I.; Barman, S.D.; Reza, A.W.; Kumar, N. High-Efficiency Resonant Coupled Wireless Power Transfer via Tunable Impedance Matching. Int. J. Electron. 2017, 104, 1607–1625. [Google Scholar]
- Lee, J.H.; Seo, D.W. Adaptive Wireless Power Transfer System without Feedback Information using Single Matching Network. IEICE Trans. Commun. 2019, E102-B, 257–265. [Google Scholar] [CrossRef]
- Jadidian, J.; Katabi, D. Magnetic MIMO: How To Charge Your Phone in Your Pocket. In Proceedings of the 20th Annual International Conference on Mobile Computing and Networking (MOBICOM), Maui, HI, USA, 7–11 September 2014; pp. 495–506. [Google Scholar]
- Shi, L.; Kabelac, Z.; Katabi, D.; Perreault, D. Wireless Power Hotspot that Charges All of Your Devices. In Proceedings of the 21th Annual International Conference on Mobile Computing and Networking (MOBICOM), Paris, France, 7–11 September 2015; pp. 2–13. [Google Scholar]
- Acero, J.; Carretero, C.; Lope, I.; Alonso, R.; Lucia, O.; Burdio, J.M. Analysis of the mutual inductance of planar-lumped inductive power transfer systems. IEEE Trans. Ind. Electron. 2013, 60, 410–420. [Google Scholar]
- Theodoulidis, T.; Ditchburn, R.J. Mutual impedance of cylindrical coils at an arbitrary position and orientation above a planar conductor. IEEE Trans. Magn. 2007, 43, 3368–3370. [Google Scholar] [CrossRef]
- Fu, M.; Zhang, T.; Ma, C.; Zhu, X. Efficiency and optimal loads analysis for multiple-receiver wireless power transfer systems. IEEE Trans. Microw. Theory Tech. 2015, 63, 801–812. [Google Scholar]
- Hackl, S.; Lanschutzer, C.; Raggam, P.; Randeu, W.L. A Novel Method for Determining the Mutual Inductance for 13.56 MHz RFID Systems. In Proceedings of the 2008 6th International Symposium on Communication Systems, Networks and Digital Signal Processing, Graz, Austria, 25 July 2008; pp. 297–300. [Google Scholar]
- Tippet, J.C.; Speciale, R.A. A rigorous technique for measuring the scattering matrix of a multiport device with a 2-port network analyzer. IEEE Trans. Microw. Theory Tech. 1982, 30, 661–667. [Google Scholar] [CrossRef]
- Rolfes, I.; Schiek, B. Multiport method for the measurement of the scattering parameters of n-ports. IEEE Trans. Microw. Theory Tech. 2005, 53, 1990–1996. [Google Scholar] [CrossRef]










| Coil 1 | Coil 2 | Coil 3 | |
|---|---|---|---|
| Case #1 | L = 1.1 μH Rdc = 0.08 Ω | L = 1.1 μH Rdc = 0.08 Ω | L = 1.1 μH Rdc = 0.08 Ω |
| Case #2 | L = 1.1 μH Rdc = 0.08 Ω | L = 3.8 μH Rdc = 0.19 Ω | L = 1.1 μH Rdc = 0.08 Ω |
| at 6.78 MHz | at 13.56 MHz | |||
|---|---|---|---|---|
| Mean | St Dev. | Mean | St Dev. | |
| Case #1 | 4.1 × 10−4 | 5.21 × 10−4 | 5.11 × 10−4 | 3.75 × 10−4 |
| Case #2 | 5.21 × 10−4 | 5.94 × 10−4 | 12.26 × 10−4 | 11.73 × 10−4 |
© 2019 by the authors. Licensee MDPI, Basel, Switzerland. This article is an open access article distributed under the terms and conditions of the Creative Commons Attribution (CC BY) license (http://creativecommons.org/licenses/by/4.0/).
Share and Cite
Jeon, S.-J.; Seo, D.-W. Coupling Coefficient Measurement Method with Simple Procedures Using a Two-Port Network Analyzer for a Multi-Coil WPT System. Energies 2019, 12, 3950. https://doi.org/10.3390/en12203950
Jeon S-J, Seo D-W. Coupling Coefficient Measurement Method with Simple Procedures Using a Two-Port Network Analyzer for a Multi-Coil WPT System. Energies. 2019; 12(20):3950. https://doi.org/10.3390/en12203950
Chicago/Turabian StyleJeon, Seon-Jae, and Dong-Wook Seo. 2019. "Coupling Coefficient Measurement Method with Simple Procedures Using a Two-Port Network Analyzer for a Multi-Coil WPT System" Energies 12, no. 20: 3950. https://doi.org/10.3390/en12203950
APA StyleJeon, S.-J., & Seo, D.-W. (2019). Coupling Coefficient Measurement Method with Simple Procedures Using a Two-Port Network Analyzer for a Multi-Coil WPT System. Energies, 12(20), 3950. https://doi.org/10.3390/en12203950

