Sign in to use this feature.

Years

Between: -

Subjects

remove_circle_outline
remove_circle_outline
remove_circle_outline
remove_circle_outline
remove_circle_outline
remove_circle_outline
remove_circle_outline
remove_circle_outline
remove_circle_outline

Journals

remove_circle_outline
remove_circle_outline
remove_circle_outline
remove_circle_outline
remove_circle_outline
remove_circle_outline
remove_circle_outline
remove_circle_outline
remove_circle_outline
remove_circle_outline
remove_circle_outline
remove_circle_outline
remove_circle_outline

Article Types

Countries / Regions

remove_circle_outline
remove_circle_outline
remove_circle_outline
remove_circle_outline
remove_circle_outline

Search Results (728)

Search Parameters:
Keywords = impedance matrix

Order results
Result details
Results per page
Select all
Export citation of selected articles as:
25 pages, 20500 KB  
Article
Early-Onset Negative Energy Balance in Transition Dairy Cows Increases the Incidence of Retained Fetal Membranes
by Zhihong Zhang, Shanshan Guo, Jianhao Yang, Xinfeng Hou, Xia Zhang, Huifeng Liu, Tao Liu and Yaping Jin
Animals 2026, 16(2), 229; https://doi.org/10.3390/ani16020229 - 13 Jan 2026
Viewed by 63
Abstract
This study investigated the metabolic mechanisms driving physiological functional remodeling in RFM by analyzing plasma biochemical parameters and metabolomic profiles at key peripartum timepoints (21 and 7 d prepartum and 4 h postpartum), integrated with placental and fetal membrane metabolic characteristics. The results [...] Read more.
This study investigated the metabolic mechanisms driving physiological functional remodeling in RFM by analyzing plasma biochemical parameters and metabolomic profiles at key peripartum timepoints (21 and 7 d prepartum and 4 h postpartum), integrated with placental and fetal membrane metabolic characteristics. The results revealed that RFM cows exhibited significant negative energy balance (NEB) as early as 21 days before parturition, characterized by elevated plasma levels of non-esterified fatty acids, β-hydroxybutyrate, and malondialdehyde, alongside reduced activity of antioxidant enzymes (GSH-Px, CAT) (p ≤ 0.05). Metabolomic analysis demonstrated persistent lipid metabolism dysregulation, amino acid imbalance, and nucleotide metabolism disturbances in RFM cows from 21 days prepartum to 4 h postpartum, indicating premature mobilization of adipose and muscle tissues. Further metabolomic analyses of the placenta and fetal membranes confirmed that metabolic dysfunction compromises energy supply during parturition, adversely affecting immune homeostasis and extracellular matrix degradation in the placenta and fetal membranes of RFM dairy cows. These physiological dysfunctions have the potential to impede the timely expulsion of fetal membranes after calving. In conclusion, RFM is closely associated with early-onset metabolic dysfunction during the periparturient period, where insufficient energy supply due to NEB, oxidative stress, and immune-endocrine disruptions collectively impair normal fetal membrane detachment. Full article
(This article belongs to the Collection Cattle Diseases)
Show Figures

Figure 1

23 pages, 3127 KB  
Article
Heterogeneous Federated Learning via Knowledge Transfer Guided by Global Pseudo Proxy Data
by Wenhao Sun, Xiaoxuan Guo, Wenjun Liu and Fang Sun
Future Internet 2026, 18(1), 36; https://doi.org/10.3390/fi18010036 - 8 Jan 2026
Viewed by 123
Abstract
Federated learning with data free knowledge distillation enables effective and privacy-preserving knowledge aggregation by employing generators to produce local pseudo samples during client-side model migration. However, in practical applications, data distributions across different institutions are often non-independent and identically distributed (Non-IID), which introduces [...] Read more.
Federated learning with data free knowledge distillation enables effective and privacy-preserving knowledge aggregation by employing generators to produce local pseudo samples during client-side model migration. However, in practical applications, data distributions across different institutions are often non-independent and identically distributed (Non-IID), which introduces bias in local models and consequently impedes the effective transfer of knowledge to the global model. In addition, insufficient local training can further exacerbate model bias, undermining overall performance. To address these challenges, we propose a heterogeneous federated learning framework that enhances knowledge transfer through guidance from global proxy data. Specifically, a noise filter is incorporated into the training of local generators to mitigate the negative impact of low-quality pseudo proxy samples on local knowledge distillation. Furthermore, a global generator is introduced to produce global pseudo proxy samples, which, together with local pseudo proxy data, are used to construct a cross attention matrix. This design effectively alleviates overfitting and underfitting issues in local models caused by data heterogeneity. Extensive experiments on publicly available datasets with heterogeneous data distributions demonstrate the superiority of the proposed framework. Results show that when the Dirichlet distribution coefficient is 0.05, our method achieves an average accuracy improvement of 5.77% over popular baselines; when the coefficient is 0.1, the improvement reaches 6.54%. Even under uniformly distributed sample classes, our model still achieves an average accuracy improvement of 7.07% compared to other methods. Full article
Show Figures

Figure 1

24 pages, 4055 KB  
Article
Cadmium Removal from Synthetic Waste-Water Using TiO2-Modified Polymeric Membrane Through Electrochemical Separation System
by Simona Căprărescu, Roxana Gabriela Zgârian, Grațiela Teodora Tihan, Alexandru Mihai Grumezescu, Eugenia Eftimie Totu, Daniel Costinel Petre and Cristina Modrogan
Polymers 2026, 18(2), 150; https://doi.org/10.3390/polym18020150 - 6 Jan 2026
Viewed by 226
Abstract
In this paper, a new polymeric membrane including polymers (cellulose acetate, polyethylene glycol 400), copolymer poly(4-vinylpyridine)-block-polystyrene, and TiO2 nanoparticles were synthesized by the phase inversion method. In order to investigate the presence and the influence of the TiO2 nanoparticles on the [...] Read more.
In this paper, a new polymeric membrane including polymers (cellulose acetate, polyethylene glycol 400), copolymer poly(4-vinylpyridine)-block-polystyrene, and TiO2 nanoparticles were synthesized by the phase inversion method. In order to investigate the presence and the influence of the TiO2 nanoparticles on the membrane matrix, a polymeric membrane without TiO2 nanoparticles was prepared by the same preparation method. The structure of the polymeric membranes was characterized by several techniques, such as Fourier transform infrared spectroscopy and scanning electron microscopy coupled with energy-dispersive X-ray spectroscopy, thermogravimetric analysis, and impedance spectroscopy. Also, the water contact angle, water retention, and porosity were determined. The results showed that the TiO2 nanoparticles were incorporated into the pores and onto the surface of the polymeric membrane, which resulted in a more uniform structure. In addition, these polymeric membranes were tested for the removal of cadmium ions from synthetic waste-water using a laboratory-scale electrochemical separation system with a custom-built setup. The results showed that the polymeric membrane with TiO2 nanoparticles showed a high cadmium ions removal rate (95.53%), compared to the polymeric membrane without TiO2 nanoparticles (85.29%), after a 1.5 h electrochemical separation test. The final results indicated that the polymeric membranes prepared with TiO2 nanoparticles had excellent thermal stability and exhibited the best ionic conductivity. The electrochemical separation system proved that the obtained polymeric membranes effectively remove cadmium from the synthetic waste-water. Full article
(This article belongs to the Special Issue Innovative Polymers and Technology for Membrane Fabrication)
Show Figures

Figure 1

23 pages, 2090 KB  
Article
Fault Section Localization in Distribution Networks Based on the Integration of Node Classification Matrix and an Improved Binary Particle Swarm Algorithm
by Kui Chen, Wen Xu and Yuheng Yang
Electronics 2026, 15(1), 233; https://doi.org/10.3390/electronics15010233 - 4 Jan 2026
Viewed by 133
Abstract
Single-phase-to-ground faults occur frequently in distribution networks, while traditional localization methods have limitations such as insufficient feature extraction and poor topological adaptability. To address these issues, this paper proposes a two-stage localization method that integrates the Node Classification Matrix (NCM) and an Improved [...] Read more.
Single-phase-to-ground faults occur frequently in distribution networks, while traditional localization methods have limitations such as insufficient feature extraction and poor topological adaptability. To address these issues, this paper proposes a two-stage localization method that integrates the Node Classification Matrix (NCM) and an Improved Binary Particle Swarm Optimization (IBPSO) algorithm. The NCM achieves rapid initial localization, and the IBPSO performs error correction. This paper employs an IEEE 33-node standard distribution network model to design simulations covering scenarios with varying fault locations, multiple fault resistances, and different numbers of node distortions for validation. The results demonstrate that the proposed method achieves a fault location accuracy of 96%, which is 19% higher than that of the NCM alone and 2% higher than that of the IBPSO alone. Moreover, it maintains an accuracy of over 95% under scenarios of 1–3 node distortions, topological switching, and high-impedance faults, and is compatible with existing Feeder Terminal Unit (FTU) devices. This method effectively balances localization speed and robustness, providing a reliable solution for the rapid fault isolation of distribution network. Full article
(This article belongs to the Topic Power System Protection)
Show Figures

Figure 1

23 pages, 4355 KB  
Article
Impedance Spectroscopy Study of Solid Co(II/III) Redox Mediators Prepared with Poly(Ethylene Oxide), Succinonitrile, Cobalt Salts, and Lithium Perchlorate for Dye-Sensitized Solar Cells
by Ravindra Kumar Gupta, Ahamad Imran, Aslam Khan, Muhammad Ali Shar, Khalid M. Alotaibi, Idriss Bedja and Abdullah Saleh Aldwayyan
Polymers 2026, 18(1), 142; https://doi.org/10.3390/polym18010142 - 4 Jan 2026
Viewed by 261
Abstract
Countries like Saudi Arabia receive abundant sunshine with exceptionally high solar irradiance. High temperatures in desert regions and the sunray angle dependence of solar modules are some of the key challenges of conventional solar cells. Dye-sensitized solar cells present a compelling alternative with [...] Read more.
Countries like Saudi Arabia receive abundant sunshine with exceptionally high solar irradiance. High temperatures in desert regions and the sunray angle dependence of solar modules are some of the key challenges of conventional solar cells. Dye-sensitized solar cells present a compelling alternative with the simple cell design and use of non-toxic materials without angle dependence, but their performance hinges on the solid redox mediators used for dye regeneration. These mediators must have an electrical conductivity (σ25°C) of more than 10−4 S cm−1 with an activation energy of less than 0.3 eV for device application. Our work focused on novel solid Co(II/III) redox mediators using cobalt complexes and LiClO4 in different matrices: pure PEO (an abbreviation for poly(ethylene oxide) with its redox mediator as M1), a [PEO–SN] blend (M2A and M2B with ethylene oxide to lithium ions molar ratio of 112.9 and 225.8, respectively), and pure SN (an abbreviation for succinonitrile with its redox mediator as M3). Impedance spectroscopy was the key technique, showing M1 and M2 behave like a mediator explainable with an (R1–C)-type circuit, while M3 is explainable with an (R1 − [R2‖C])-type circuit. M3 achieved the highest value of σ25°C with 2 × 10−3 S cm−1, while M1 had the lowest σ25°C, 3 × 10−5 S cm−1. M2 achieved an optimal balance with σ25°C of 4 × 10−4 S cm−1 (M2A) and 1.5 × 10−4 S cm−1 (M2B). M2 exhibited a remarkably low pseudo-activation energy of 0.042 eV and a Vogel–Tammann–Fulcher behavior ideal for consistent performance across temperatures. In contrast, M1 and M3 showed higher Arrhenius-type activation energies (>0.74 eV) in their solid states. These results correlated with those of the XRD, FT-IR spectroscopy, XPS, SEM, DSC, and TGA analyses. Ultimately, the [PEO–SN] blend emerges as a robust matrix, enabling the combination of high conductivity and low activation energy needed for a durable device in harsh environments. Full article
(This article belongs to the Special Issue Flexible, Highly Efficient Polymer Solar Cells)
Show Figures

Figure 1

15 pages, 3838 KB  
Article
Improvement of Mechanical Properties and Electrical Resistivity in Giant Magnetostrictive Tb-Dy-Fe Alloy via Co-Addition of Al and Si Elements
by Qianhao Zhu, Jiawang Cheng, Jiheng Li, Xing Mu, Xiaoqian Bao, Jie Zhu and Xuexu Gao
Materials 2026, 19(1), 154; https://doi.org/10.3390/ma19010154 - 1 Jan 2026
Viewed by 285
Abstract
Giant magnetostrictive Tb-Dy-Fe alloys are extensively applied in transducers, actuators, and smart sensors owing to their exceptional magnetostrictive response. Nevertheless, in addition to the fracture failure caused by the inherent brittleness of the Laves intermetallic compound, Tb-Dy-Fe alloys also suffer from severe eddy [...] Read more.
Giant magnetostrictive Tb-Dy-Fe alloys are extensively applied in transducers, actuators, and smart sensors owing to their exceptional magnetostrictive response. Nevertheless, in addition to the fracture failure caused by the inherent brittleness of the Laves intermetallic compound, Tb-Dy-Fe alloys also suffer from severe eddy current losses due to low electrical resistivity, both of which limit the practical application of Tb-Dy-Fe alloys. To further enhance the overall performance of Tb-Dy-Fe alloys and expand their application scope, it has become essential to develop materials that exhibit high magnetostrictive properties, high electrical resistivity and excellent mechanical properties simultaneously. In this work, the effects of Al and Si co-addition on the microstructure and multifunctional properties of directionally solidified Tb0.27Dy0.73(Fe0.9Al0.075Si0.025)1.95 (hereafter TDF-AlSi) alloy were systematically investigated. Microstructural characterization revealed that Al partially substitutes Fe atoms in the matrix phase while promoting Al(Tb,Dy)Fe2 nanocluster, whereas Si preferentially segregated to grain boundary regions forming Tb2Si3 and TbSi1.75 phases. The bending strength of TDF-AlSi alloy was improved from 43 MPa to 65 MPa, an increase of 51.2%, which was attributed to solid solution strengthening by Al and grain boundary reinforcement by Si-rich precipitates. Meanwhile TDF-AlSi alloy exhibits a 2.4 times increase in electrical resistivity (1.619 μΩ·m), resulting in a 49% reduction of total loss at 1000 Hz. The enhancement of electrical resistivity mainly originated from the lattice distortion induced electron scattering by Al substitution and electron impedance at grain boundaries via silicide precipitation. Accompanied by enhancement of mechanical property and electrical resistivity, TDF-AlSi alloy maintained a high magnetostriction strain of 1212 ppm (200 kA/m, 10 MPa pre-compressive stress). The findings of the present study offer valuable theoretical and experimental insights with regard to the optimization of the performance of magnetostrictive Tb-Dy-Fe alloys. Full article
(This article belongs to the Special Issue Advances in Magnetic Materials and Applications)
Show Figures

Figure 1

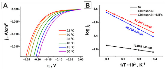
19 pages, 4993 KB  
Article
A Biopolymer System Based on Chitosan and an Anisotropic Network of Nickel Fibers in the Hydrogen Evolution Reaction
by Guliya R. Nizameeva, Elgina M. Lebedeva, Viktoria V. Vorobieva, Evgeniy A. Soloviev, Ruslan M. Sarimov and Irek R. Nizameev
Molecules 2026, 31(1), 150; https://doi.org/10.3390/molecules31010150 - 1 Jan 2026
Viewed by 161
Abstract
In this study, we developed a method for creating an active layer based on a composite material consisting of chitosan and an anisotropic network of nickel fibers (Chitosan/Ni + NiFs). Using this chitosan biopolymer matrix and anisotropic network, we achieved a [...] Read more.
In this study, we developed a method for creating an active layer based on a composite material consisting of chitosan and an anisotropic network of nickel fibers (Chitosan/Ni + NiFs). Using this chitosan biopolymer matrix and anisotropic network, we achieved a high specific surface area for the catalytic material, high lateral conductivity for the layer, and stable characteristics, ultimately leading to increased overall electrocatalytic activity in the hydrogen evolution reaction (HER). Through linear voltammetry and impedance spectroscopy, we identified the mechanism and kinetics of the HER in the developed system. The overpotential of the electrochemical reaction was 213 mV at a current density of 10 mA/cm2. Chromatographic analysis confirmed the effectiveness of the Chitosan/Ni + NiFs system in the HER. Our results show how the chitosan biopolymer matrix and oriented nickel fiber network influence charge transfer and electrode reactions, as reflected in the activation energies of hydrogen bonds on the electrocatalytic layers. These findings show that it is feasible to combine a biopolymer matrix and an anisotropic nickel fiber network to create effective electrocatalysts. This approach enables the development of environmentally friendly electrolytic hydrogen production technologies. Full article
(This article belongs to the Section Applied Chemistry)
Show Figures

Graphical abstract

19 pages, 3085 KB  
Article
Bismuth-Based Ceramic Processed at Ultra-Low-Temperature for Dielectric Applications
by Susana Devesa, Sílvia Soreto Teixeira, Manuel Pedro Graça and Luís Cadillon Costa
Nanomaterials 2026, 16(1), 46; https://doi.org/10.3390/nano16010046 - 29 Dec 2025
Viewed by 287
Abstract
High-performance dielectric materials that can be processed at ultra-low temperatures are essential for next-generation LTCC technologies and compact RF–microwave components. In this work, a multicomponent Bi–Fe–Nb oxide system was synthesized using a modified citrate sol–gel method and thermally treated at only 400 °C [...] Read more.
High-performance dielectric materials that can be processed at ultra-low temperatures are essential for next-generation LTCC technologies and compact RF–microwave components. In this work, a multicomponent Bi–Fe–Nb oxide system was synthesized using a modified citrate sol–gel method and thermally treated at only 400 °C to investigate its structural evolution and dielectric behavior. XRD and Raman analysis revealed the coexistence of a well-crystallized BiOCl phase embedded within a partially amorphous Bi–Fe–Nb–O matrix. SEM and EDS mapping confirmed the presence of two distinct microstructural regions, reflecting differences in local composition and crystallization kinetics. Microwave measurements at 2.7 and 5.0 GHz showed low dielectric losses and a stable dielectric response. Impedance spectroscopy in the RF range revealed strong Maxwell–Wagner polarization at low frequencies and thermally activated relaxation evidenced by the temperature shift in the modulus and impedance peaks. Arrhenius analysis of the relaxation frequencies yielded similar activation energies from both modulus and impedance formalisms, indicating a single underlying relaxation mechanism. Equivalent-circuit fitting confirmed non-Debye behavior, with nearly temperature-independent capacitance and decreasing resistance consistent with thermally activated conduction. These results demonstrate that the Bi–Fe–Nb system exhibits promising dielectric stability and functional behavior even when processed at exceptionally low temperatures. Full article
(This article belongs to the Special Issue Advanced Ceramics and Polymer Nanocomposites for Energy Storage)
Show Figures

Figure 1

17 pages, 6016 KB  
Article
Bioabsorbable Mg-Zn Alloys: Study of Their Performance in Simulated-Fever Conditions
by Francisco Miguel Sanchez-Sosa, Cristina Jimenez-Marcos, Julia Claudia Mirza-Rosca and Victor Geanta
Crystals 2026, 16(1), 21; https://doi.org/10.3390/cryst16010021 - 28 Dec 2025
Viewed by 272
Abstract
Mg-Zn alloys are a promising type of biodegradable material for orthopedic devices, combining the natural advantages of Mg with the properties provided by Zn. This study examines how temperature affects the behavior of three MgxZn alloys (x = 1.4: 6.1 and 7.8) obtained [...] Read more.
Mg-Zn alloys are a promising type of biodegradable material for orthopedic devices, combining the natural advantages of Mg with the properties provided by Zn. This study examines how temperature affects the behavior of three MgxZn alloys (x = 1.4: 6.1 and 7.8) obtained by induction levitation. Normal temperatures of 20–25 °C and 40 °C simulating fever conditions were selected. Microstructural characterization and microhardness tests were conducted to characterize the alloys. Corrosion behavior was analyzed by open circuit potential, linear polarization, and electrochemical impedance spectroscopy. The balance between matrix softening and intermetallic formation becomes more sensitive when the alloys are exposed to elevated temperatures when microstructural heterogeneities become more influential. Although higher Zn content can facilitate the formation of more stable Zn-rich films, excessive Zn content, as in the 7.8%Zn alloy, also promotes micro-galvanic corrosion through increased MgZn intermetallic phase content, meaning that temperature amplifies both the beneficial and detrimental effects of Zn. Full article
(This article belongs to the Special Issue Advances in Functional Materials for Biomedical Applications)
Show Figures

Figure 1

29 pages, 5008 KB  
Article
Identifying Key Issues in Artificial Intelligence Litigation: A Machine Learning Text Analytic Approach
by Wullianallur Raghupathi, Aditya Saharia and Tanush Kulkarni
Appl. Sci. 2026, 16(1), 235; https://doi.org/10.3390/app16010235 - 25 Dec 2025
Viewed by 316
Abstract
The rapid proliferation of artificial intelligence (AI) systems across high-stakes domains—with global AI adoption accelerating since 2023—has created an urgent need to identify which AI challenges and issues are materializing into real-world harms so that policymakers can develop targeted regulations, organizations can implement [...] Read more.
The rapid proliferation of artificial intelligence (AI) systems across high-stakes domains—with global AI adoption accelerating since 2023—has created an urgent need to identify which AI challenges and issues are materializing into real-world harms so that policymakers can develop targeted regulations, organizations can implement effective risk management, and accountability mechanisms can address actual rather than speculative problems. Public concern has risen sharply: 52% of Americans now feel more concerned than excited about AI (up from 38% in 2022), and 80% believe government should maintain AI safety rules even if development slows. Yet existing approaches exhibit critical limitations that impede evidence-based governance. Ethics frameworks, while establishing normative principles across 84+ published guidelines, remain aspirational rather than empirical. Survey-based studies capture perceptions from over 48,000 respondents globally but measure expectations rather than documented harms. Incident databases catalog over 1200 AI failures but depend on media coverage, systematically overrepresenting high-profile cases while underrepresenting routine organizational problems. This study addresses this gap by analyzing 347 AI-related U.S. litigation cases using machine learning text analytics, providing empirical evidence of AI problems that have crossed the threshold from abstract concern into documented legal conflict. Employing Latent Dirichlet Allocation (LDA) and Non-negative Matrix Factorization (NMF) topic modeling with coherence validation (NMF achieving 0.276 NPMI vs. LDA’s 0.164), the analysis identifies nine distinct AI issue areas with specific case distributions: cybersecurity vulnerabilities and data breaches (116 cases, 33.4%), intellectual property and AI ownership (61 cases, 17.6%), AI misrepresentation and inflated claims (59 cases, 17.0%), criminal justice and algorithmic due process (37 cases, 10.7%), employment automation (33 cases, 9.5%), privacy and surveillance (31 cases, 8.9%), platform accountability (21 cases, 6.1%), algorithmic bias (19 cases, 5.5%), and government AI deployment (6 cases, 1.7%). The findings reveal a systematic mismatch between AI ethics discourse—which emphasizes fairness and transparency—and litigation patterns, where data security (33.4%) and intellectual property (17.6%) dominate while algorithmic bias comprises only 5.5% of cases. Most disputes are addressed through existing legal frameworks (First Amendment, Lanham Act, FOIA, Title VII) rather than AI-specific regulation, underscoring the urgent need for governance mechanisms aligned with empirically documented AI challenges. Full article
(This article belongs to the Special Issue Advances and Applications of Complex Data Analysis and Computing)
Show Figures

Figure 1

15 pages, 3759 KB  
Article
Synthesis and Structural Characterization of Ni/Mn-Doped Co-RGO Composites for Supercapacitor Electrodes
by Andriono Manalu, Moraida Hasanah, Winfrontstein Naibaho, Mario Geraldi Simanjuntak and Maren Sius Girsang
Electrochem 2026, 7(1), 1; https://doi.org/10.3390/electrochem7010001 - 24 Dec 2025
Viewed by 318
Abstract
In this study, Ni/Mn-doped cobalt–reduced graphene oxide (Co-RGO) composites were successfully synthesized as advanced electrode materials for supercapacitors. The structural and morphological properties of the composites were characterized using FTIR, XRD, SEM, TEM, and UV–Vis spectroscopy. Their electrochemical performance was evaluated through electrochemical [...] Read more.
In this study, Ni/Mn-doped cobalt–reduced graphene oxide (Co-RGO) composites were successfully synthesized as advanced electrode materials for supercapacitors. The structural and morphological properties of the composites were characterized using FTIR, XRD, SEM, TEM, and UV–Vis spectroscopy. Their electrochemical performance was evaluated through electrochemical impedance spectroscopy (EIS), cyclic voltammetry (CV), and galvanostatic charge–discharge (GCD). Among the prepared samples, Co-RGO doped with Ni/Mn at a 40:10 ratio exhibited the most outstanding capacitive behavior, achieving a specific capacitance of 7414 F g−1 at a current density of 10 A g−1, along with a high energy density of 565 Wh kg−1 and a power density of 4998 W kg−1. The high capacitance arises from faradaic pseudocapacitive reactions rather than electric double-layer capacitance, eliminating the need for a large surface area. These results confirm that Ni doping significantly enhances pseudocapacitance and conductivity in the Co-RGO matrix, making Ni/Mn (40:10)–Co-RGO a potential material for advanced energy storage systems. Full article
Show Figures

Graphical abstract

14 pages, 1287 KB  
Review
eDNA–Amyloid Synergistic Interactions in Bacterial Biofilms: A Hidden Driver of Antimicrobial Resistance
by Weichen Gong, Xuefei Cheng, Julio Villena and Haruki Kitazawa
Int. J. Mol. Sci. 2025, 26(24), 12075; https://doi.org/10.3390/ijms262412075 - 15 Dec 2025
Viewed by 364
Abstract
Bacterial biofilms are critical contributors to chronic infections and antimicrobial resistance. Among the diverse extracellular matrix components, extracellular DNA (eDNA) and amyloid proteins have recently emerged as pivotal structural and functional molecules. Both individually contribute to biofilm stability and antibiotic tolerance, yet their [...] Read more.
Bacterial biofilms are critical contributors to chronic infections and antimicrobial resistance. Among the diverse extracellular matrix components, extracellular DNA (eDNA) and amyloid proteins have recently emerged as pivotal structural and functional molecules. Both individually contribute to biofilm stability and antibiotic tolerance, yet their cooperative roles remain underappreciated. This review aims to summarize current knowledge on the origins and functions of eDNA and amyloid proteins in biofilms, to highlight their molecular interactions, and to discuss how their synergistic effects promote biofilm-mediated resistance to antimicrobial agents. A comprehensive literature search was conducted using PubMed, Scopus, and Web of Science databases up to September 2025. Keywords included “biofilm”, “extracellular DNA”, “amyloid proteins”, “matrix”, and “antimicrobial resistance”. Relevant original research and review articles were systematically screened and critically analyzed to integrate emerging evidence on eDNA–amyloid interactions in bacterial biofilms. Current studies demonstrate that eDNA originates primarily from autolysis, active secretion, and host-derived DNA, while amyloid proteins are produced by multiple bacterial species, including Escherichia coli (curli), Pseudomonas aeruginosa (Fap), Bacillus subtilis (TasA), and Staphylococcus aureus (phenol-soluble modulins). Both molecules independently strengthen biofilm integrity and provide protective functions against antimicrobial agents. Importantly, recent evidence shows that eDNA can act as a nucleation template for amyloid fibrillation, while amyloid fibers stabilize and protect eDNA from degradation, creating a dense extracellular network. This synergistic eDNA–amyloid assembly enhances biofilm robustness, impedes antibiotic penetration, sequesters antimicrobial peptides, protects persister cells, and facilitates horizontal gene transfer of resistance determinants. The interplay between eDNA and amyloid proteins represents a central but underexplored mechanism driving biofilm-mediated antimicrobial resistance. Understanding this cooperative network not only deepens our mechanistic insights into bacterial pathogenesis but also highlights novel therapeutic targets. Strategies that disrupt eDNA–amyloid interactions may offer promising avenues for combating persistent biofilm-associated infections. Full article
(This article belongs to the Section Molecular Microbiology)
Show Figures

Figure 1

17 pages, 16918 KB  
Article
Key Factors Influencing the Mechanical Properties of Binodal Decomposed Metallic Glass Composites
by Yongwei Wang, Guangping Zheng and Mo Li
Materials 2025, 18(24), 5593; https://doi.org/10.3390/ma18245593 - 12 Dec 2025
Viewed by 339
Abstract
Structural heterogeneity plays a crucial role in enhancing the mechanical properties of metallic glasses (MGs) by impeding the propagation of shear bands (SBs). Metallic glass matrix composites (MGCs) consisting of reinforcements are of great interest as they enhance the mechanical performance of brittle [...] Read more.
Structural heterogeneity plays a crucial role in enhancing the mechanical properties of metallic glasses (MGs) by impeding the propagation of shear bands (SBs). Metallic glass matrix composites (MGCs) consisting of reinforcements are of great interest as they enhance the mechanical performance of brittle MGs. However, managing the dispersity of hetero-phases within the glassy matrix presents technical challenges due to surface tension and thermal property incompatibility. Binodal phase separation is an effective approach for fabricating MGCs with uniformly dispersed glassy droplets or particles. The species of matrix and characteristics of particle reinforcements significantly influence mechanical properties. This study theoretically examines how the fraction, size, and variety of particle reinforcements influence performance using finite element models based on free volume theory. The synergistic mechanisms for performance tuning involve stress fields generated by particle reinforcements that modify the nucleation and propagation of SBs in the matrix. Additionally, the size effect of particles depends on their interaction with SBs. This comprehensive understanding could substantially enhance the design and optimization for MGCs. Full article
Show Figures

Graphical abstract

8 pages, 1520 KB  
Proceeding Paper
Robust Control Design for an Off-Board EV Charger Considering Grid Impedance Variation
by Chhaytep Born, Menghorng Sy, Panha Soth, Heng Tang, Socheat Yay, Seven Siren, Channareth Srun and Chivon Choeung
Eng. Proc. 2025, 117(1), 14; https://doi.org/10.3390/engproc2025117014 - 12 Dec 2025
Viewed by 252
Abstract
Grid impedance variation has the possibility of leading to voltage oscillation and control instability, which poses a serious problem to electric vehicle (EV) charger design. In response to this problem, this paper proposes a robust control approach that is capable of dealing with [...] Read more.
Grid impedance variation has the possibility of leading to voltage oscillation and control instability, which poses a serious problem to electric vehicle (EV) charger design. In response to this problem, this paper proposes a robust control approach that is capable of dealing with grid impedance variation and system uncertainties. The proposed dual-loop control strategy is composed of an outer-loop proportional–integral (PI) controller and an inner-loop robust state feedback controller with integral action. The benefits of control are maximized according to linear matrix inequality (LMI) techniques. This paper aims to address the effects of grid impedance variation by including the uncertainty model considering the potential varying parameters in the control design process. Additionally, the uncertainty model considers sixteen possible sets, which are described by variations in the four most important parameters: grid impedance, grid resistance, filter impedance, and filter resistance. The simulations suggest that the proposed controller maintains stable current regulation for uncertainty factors as high as γ = 3.3, where all closed-loop poles remain within the unit circle. For all the tested uncertainty levels, the grid-current tracks the reference of 10 A with a faster settling time at γ = 1.1 and no overshoot for higher uncertainty levels. Full article
Show Figures

Figure 1

24 pages, 3986 KB  
Article
From Cellulose to Functional Electrode SCNF:rGO Hybrid Films for Electrochemical Applications
by Josefa Silva, José Raúl Sosa-Acosta, Galo Ramírez, Katherina Fernández and Rodrigo del Rio
Polymers 2025, 17(23), 3225; https://doi.org/10.3390/polym17233225 - 4 Dec 2025
Viewed by 476
Abstract
Sulfated nanocellulose (SCNF) and reduced graphene oxide (rGO) films were fabricated through environmentally friendly methods to develop an effective platform for electrochemical applications. The hybrid materials were extensively characterized by FTIR, XRD, Raman spectroscopy, TGA, SEM, cyclic voltammetry (CV), and electrochemical impedance spectroscopy [...] Read more.
Sulfated nanocellulose (SCNF) and reduced graphene oxide (rGO) films were fabricated through environmentally friendly methods to develop an effective platform for electrochemical applications. The hybrid materials were extensively characterized by FTIR, XRD, Raman spectroscopy, TGA, SEM, cyclic voltammetry (CV), and electrochemical impedance spectroscopy (EIS). Results showed that incorporating rGO into the SCNF matrix significantly improved the electrical conductivity and structural robustness of the films. FTIR confirmed interactions between sulfate groups on cellulose and residual oxygen-containing groups on rGO, while XRD and Raman analyses indicated reduced crystallinity and increased structural disorder, supporting the successful integration of both phases. XPS further demonstrated that SCNF and rGO form chemical bonds rather than simply mixing, with both components remaining active at the surface—evidence of strong interfacial interactions that contribute to enhanced stability and efficient charge transfer. The 1:5 (rGO:SCNF) composition showed the best electrochemical performance, exhibiting minimal charge-transfer resistance and improved hydrazine oxidation, as reflected by a shift of the anodic peak potential toward lower values. Additionally, functionalization with cobalt porphyrin significantly boosted catalytic activity. Overall, the SCNF:rGO films offer a sustainable and scalable platform for electrochemical sensing and energy-conversion applications, demonstrating excellent adaptability and functional performance. Full article
(This article belongs to the Topic Application of Graphene-Based Materials, 2nd Edition)
Show Figures

Figure 1

Back to TopTop