Abstract
Tight glutenite reservoirs are typically characterized by highly variable lithology and permeability, low and complex porosity, and strong heterogeneity. Glutenite brittleness is an essential indicator for screening fracture targets, selecting technological parameters, and predicting the hydraulic fracturing effect of tight glutenite reservoir exploitation. Glutenite formations with high brittleness are more likely to be effectively fractured and form complex fractures. Accurate evaluation of glutenite brittleness facilitates the recovery of oil and gas in a tight glutenite reservoir. Accordingly, two brittleness indexes are proposed in this paper based on energy balance and damage evolution analysis of complete stress–strain curves to evaluate the brittleness of glutenite. Uniaxial and triaxial compression tests of glutenite specimens were carried out and the brittleness indexes were verified by comparison with other existing indexes. The relationships between the mechanical properties and brittleness of glutenite under confining pressure were analyzed based on experimental results and the effects of mechanical and structural parameters on glutenite brittleness are investigated with a numerical approach. The brittleness of glutenite increases with the increase of gravel size and/or volume content. During hydraulic fracturing design, attention should be paid to the brittleness of the matrix and the size and content of gravel. This paper provides a new perspective for glutenite brittleness evaluation from the perspectives of energy dissipation and damage evolution. Our results provide guidance for fracturing layer selection and may also facilitate field operations of tight glutenite fracturing.
1. Introduction
The exploration and development of tight glutenite reservoirs have attracted increased attention in recent years. Tight glutenite reservoirs are formed by rapid sedimentation near the provenance and are characterized by highly variable lithology, low porosity, poor permeability, and strong heterogeneity [1]. The geological characteristics of tight glutenite reservoirs are different from other sedimentary reservoirs (such as shale and coal) due to the existence of gravel and the absence of a natural fracture system. Figure 1 shows glutenite cores drilled from a well in a tight glutenite reservoir in Shengli Oilfield, Shandong Province of China. Glutenite cores with fine gravel (Figure 1b) and coarse gravel (Figure 1c) are observed.
Figure 1.
Glutenite cores drilled from a well in Shengli Oilfield: (a) Overview of glutenite cores and a more detailed view of the morphology of glutenite cores with (b) fine gravel and (c) coarse gravel.
Figure 2 demonstrates the Formation MicroScanner image at different depths of this tight glutenite reservoir [2]. Conglomerate, psephitic sandstone and pebbled sandstone are observed in Figure 2, demonstrating that gravel size varies at different vertical depths and the gravel size and content are present in a random spatial distribution. Brittleness is an important mechanical index for rock mass and it represents the capability for creating complex fractures for glutenite reservoirs subjected to hydraulic pressure [3,4,5,6,7,8]. There is no clear definition of rock brittleness, nor is there a widely recognized evaluation method that can be applied extensively. It is generally accepted that rock brittleness is controlled by mineral composition, mechanical properties, natural cracks, and in-situ stress conditions [7,9,10]. To estimate brittleness and optimize the hydraulic fracture of glutenite, attention needs to be focused on the mechanical properties of the matrix and gravel, and the structural parameters such as gravel size and content. Brittleness has a significant impact on the hydraulic fracturing behavior of glutenite [3,4,5]. Therefore, a practical and reliable brittleness estimation index can provide guidance for screening fracturing targets and selecting operation parameters for hydraulic fracturing process. Further, it would significantly contribute to the exploration and development of tight glutenite reservoirs.
Figure 2.
Formation MicroScanner images at different depths of a tight glutenite reservoir (Reproduced with permission from [2], Wang et al., Progress in Geophysics, 2019).
Brittleness is an important index for hydraulic fracturing design and implementation in tight glutenite reservoir exploration. Because of differences in mineral composition, diagenetic process, and in-situ stress distribution, the mechanical properties and brittleness of glutenite specimens are highly variable. Figure 3 illustrates the CT image slices of sandstone and glutenite core [11]. The glutenite core shows strong heterogeneity due to its composition and structure; randomly distributed gravel particles are observed, and the matrix is relatively homogeneous. Sandstone is noticeably more homogeneous than glutenite. The presence of randomly distributed gravel leads to the strong heterogeneity of glutenite, which differs from sandstone.
Figure 3.
CT image slices of sandstone and glutenite core (Reproduced with permission from [11], Liu et al., Journal of Natural Gas Science and Engineering, Elsevier, 2016)
Several methods for rock brittleness estimation have been proposed from different mechanical perspectives. Kivi et al. [12] summarized the commonly used brittleness indexes, and categorized them into four groups based on the following: mineral composition analysis, strength properties, stress–strain curves, and hardness measurements. Brittleness indexes are based on mineral composition evaluate rock brittleness by distinguishing brittle minerals from ductile minerals through mineralogical logging tools and calculating the weight or volume fractions of the different components [13,14,15,16]. However, this type of brittleness index does not take other rock fabric properties and environmental conditions into consideration. Rickman et al. [17] used a normalized elastic modulus and Poisson’s ratio to evaluate shale brittleness, which was widely used in fracturing practice. However, its applicability to different types of reservoirs was yet to be discussed, and the effect of confining pressure on rock brittleness was not considered effectively. Brittleness indexes as a function of strength, contain properties like unconfined compressive strength and tensile strength, and internal friction angle has also been proposed [18,19,20]; however, their accuracy for different types of rocks under confining pressure has been questioned [16,21]. Brittleness indexes based on stress–strain characteristics and energy balance analysis of the stress–strain curve has been widely recognized and has developed rapidly in recent years. This is because stress–strain curves can fully reflect deformation and damage characteristics during the entire process of rock failure. Brittleness indexes based on stress–strain characteristics utilize stress/strain calculations at characteristic points, such as peak strength and residual strength, to reflect the brittleness of rock [19,22,23]. Kivi et al. [12] indicated that stress or strain-based assessment of these brittle characteristics in terms of one or few mechanical parameters may not effectively represent the complete stress–strain response, and it oversimplifies the progressive process of rock rupture. In addition, the stress–strain curves of many rocks under loading are complex, especially post-peak curves, and can not simply be replaced by straight lines. Such simplification of complex stress–strain curves might result in the loss of important information concerning rock brittleness.
A reasonable brittleness index must reflect the continuous damage process of rock before and after failure and take both pre-peak and post-peak stages into consideration [24,25]. Therefore, the reliability of brittleness indexes based on energy balance analysis of the entire process of rock damage and failure is promising. The entire process of rock damage and failure under loading is accompanied by energy evolution, because the mechanical energy absorbed by the rock from outside is either accumulated or dissipated, and the internal damage to the rock structure is affected by energy dissipation during the entire process of loading. Elastic strain energy is stored inside the rock specimen at the beginning of loading, which results in the elastic deformation. When elastic strain energy accumulates to a certain extent, microcracks occur and internal damage is induced, meanwhile, a portion of the energy dissipates. At the post-peak stage, elastic strain energy is rapidly released, accompanied by a large amount of dissipation energy. For rocks associated with a class I brittle failure, the release of elastic energy is insufficient to accomplish the rupturing process; hence, extra energy is required from the outside. The energy evolution can manifest the entire process of progressive damage and failure, and provide a better understanding of the brittle characteristic of rock. Table 1 selected some current brittleness indexes that are based on an energy balance analysis of the stress–strain curve. Xia et al. [21] defined brittleness index by bringing together the post-peak strength degradation rate and an energy exchange term (the ratio of elastic energy released during failure to total energy stored before peak stress). The definition of is based on a linear simplification of the stress–strain curve, and possibly cause the loss of valid information of rock brittleness. The unreasonable definition of leads to the disability to distinguish the absolute brittleness and perfectly ductile behavior (both of the brittleness values of these two behaviors are equal to zero). Zhang et al. [24] proposed an indirect approach for coal brittleness evaluation by extending in reverse the stress–strain curves of yield stage and post-peak stage respectively, and defining the brittleness index using the areas surrounded by extension lines and strain axis (x-axis). However, the physical meanings of the two areas are not clear, and simplification of the stress–strain curve may cause magnitude errors. Ai et al. [25] took the pre-peak dissipated energy and post-peak rupture behavior of rock into consideration and developed brittleness index . This index effectively considers the energy evolution behavior of both pre-peak and post-peak stages, but is not capable of distinguishing the brittleness of distinct stress–strain curves with various post-peak strength drop magnitudes. In addition, the brittleness index may decrease with the increase of dissipated energy of pre-peak stage, which is contrary to popular belief. Kivi et al. [12] proposed brittleness index combining the extent to which the fracturing process occurs in a self-sustaining manner and the fraction of the total absorbed energy in the pre-peak stage which is consumed during the post-peak stage. This index has explicit physical meaning and reasonably considers the energy evolution characteristic of the entire failure process, nevertheless, the energy characteristic of the post-peak stage is considered in both parts ( and ), while the energy characteristic of pre-peak stage is considered only in . Adopting an averaging methodology for the two parts may increase the weight of the post-peak mechanical behavior on the predicted brittleness value. Munoz et al. [26] established the brittleness index as the ratio of total elastic energy stored in rock specimen to the sum of dissipated energy at the pre-peak stage and rupture energy at the post-peak stage. Though it suitably considered the energy behavior of pre- and post-peak stages, it can not deal with the effect of the stress drop extent at post-peak on the brittleness evaluation. A larger post-peak stress drop magnitude corresponds to larger rupture energy, resulting in a more brittle characteristic of rock failure, which is in contrast to the predicted result of . Tarasov et al. [27] proposed a distinct definition for brittleness as the extent to which rock failure occurs in a self-sustained manner by solely consuming the stored elastic energy within the rock specimen. This index is characterized by the distinct principle and simple calculation, but it does not consider the influence of pre-peak failure characteristics on brittleness. These brittleness indexes are all proposed for different lithologic objects from different perspectives based on energy balance and energy evolution. Therefore, their suitability and reliability for tight glutenite have yet to be verified.
Table 1.
Summary of several current brittleness indexes that are based on energy balance analysis.
Many studies have proposed evaluation methods for the brittleness of shale [11,12,28,29,30], sandstone [31,32,33] and coal [7,24,34], but few of them were focused on glutenite. The methods that were developed to evaluate the brittleness of other types of rocks may not be suitable for glutenite. This study established two brittleness indexes based on energy balance and damage evolution analysis of the complete stress–strain curve. The evolution of the dissipation energy and the damage state at various stages of the glutenite failure process were analyzed. The amount and rate of energy dissipation were used to reflect the brittleness features, which provided a new perspective for brittleness assessment. Uniaxial and triaxial compression tests of glutenite specimens were carried out and the brittleness indexes were verified by comparing them to other existing indexes based on experimental results. This paper also presents an analysis of the relationships between the mechanical properties and brittleness of glutenite, and the effects of mechanical and structural parameters on glutenite brittleness.
2. Glutenite Brittleness Evaluation Methods Based on Energy Balance and Damage Evolution Analysis
2.1. Energy Balance Analysis over the Entire Process of Glutenite Failure
The entire process of rock damage and failure is always accompanied by energy conversion and energy exchange with the outside [25]. The damage and deformation of glutenite under loading are essentially driven by energy dissipation, conversion, and release [35]. The stress–strain curve of rock under loading is the external manifestation of the internal energy state transition. The entire deformation and failure behavior of glutenite is affected by various processes in which energy is either accumulated or dissipated [36]. During the deformation and failure process, the rock specimen is regarded as a closed-loop system with the assumption that no thermal transmission occurs between the rock specimen and the external environment. By assuming that the unloading elastic modulus is equal to initial elastic modulus [27,35,36,37,38], the energy balance of rock volume under compression can be expressed as follows [24,36,39,40]:
where is the total energy absorbed by the rock volume; is the elastic strain energy that can be released by the rock volume at a certain stress state; is the dissipated energy of the rock volume at a certain stress state that is responsible for the internal damage and plastic deformation; is the initial elastic modulus; is a function of the stress–strain curve; is the strain, and is the extra energy required for rupturing the rock at post-peak stage.
As shown in Figure 4, the entire process of energy evolution in the rock specimen can be described as occurring in three stages:
Figure 4.
Schematic diagram of energy evolution during the entire process of rock failure.
- (1)
- Energy absorption and accumulation (OA). In this stage, the rock specimen absorbs energy from the outside and stores it internally. The stress–strain curve can be divided into two parts: (1) 0–, part of the energy absorbed from outside is converted into dissipated energy due to the compaction of pores and closure of original microcracks, which leads to nonlinear deformation. (2) –, where the rock specimen continues to absorb energy from the outside, and almost all energy is converted into elastic strain energy and stored internally. In this stage, the rock specimen primarily undergoes elastic deformation under axial stress. The elastic strain energy accumulates continuously and accounts for a large proportion of the total energy although there is little dissipated energy.
- (2)
- Energy dissipation (AB). In this stage, energy dissipates due to the generation and propagation of cracks. The stress–strain curve can be divided into two parts: (1) –, where cracks begin to occur as the axial stress level reaches the crack initiation stress , resulting in irretrievable damage and plastic deformation. Meanwhile, elastic strain energy continues to accumulate and the dissipated energy begins to increase with the expansion of cracks. (2) –, where the stress level reaches the crack damage stress , the damage of the rock specimen intensifies and the plastic deformation increases with the penetration of cracks. As the loading increases, the rate of increase in dissipated energy becomes faster while the rate of increase in elastic strain energy becomes slower.
- (3)
- Energy conversion and release (BC). In this stage (–), the energy evolution manifests as a sudden release of the elastic energy that accumulated at the pre-peak stage, which is accompanied by an increasing trend of dissipated energy, and results in the propagation and accumulation of macroscopic cracks and the failure of the rock specimen. However, the amount of released elastic energy is often insufficient to maintain the propagation of macroscopic cracks and cause further damage; therefore, extra energy is required for further damage and complete failure of the rock. Part of the mechanical energy absorbed from the outside is used and transformed into energy that causes the rupture of the rock specimen. The released elastic energy and the additional energy absorbed from outside for sustaining fracturing at the post-peak stage are ultimately transformed into dissipated energy; put another way, the dissipated energy in the post-peak stage equals rupture energy. Rocks with absolute brittleness need little extra energy at the post-peak stage because the released elastic strain energy is enough to cause rock rupture; in other words, the failure process displays a self-sustaining character [24,25,26,27]. Brittle rocks generally require less extra energy than ductile rocks to maintain macroscopic cracks propagation and further damage; hence, the dissipated energy of brittle rocks at the post-peak stage is less than that of ductile rocks.
2.2. Energy Damage Evolution Mechanism of the Entire Process of Glutenite Failure
According to the energy dissipation process analyzed above, rock damage and failure involve various processes in which energy dissipation and energy release occur simultaneously. Energy release and energy dissipation behaviors play an essential role in the abrupt structural failure of the rock, which in turn reflects the brittleness characteristics of the rock. Zhang et al. [24] indicated that brittle rocks are subjected to sudden failure with the occurrence of tensile/shear fractures. Accordingly, the failure of brittle rocks can be characterized by a sudden release of energy and a rapid increase of dissipated energy. Labuz and Biolzi, [41] and Mitri et al., [42] indicated that energy dissipation before and after rock failure is a key factor in determining the accumulation and release of the strain energy. Therefore, the rate of strain energy dissipation and energy release is thought to be closely related to rock brittleness. Chen et al. [43] indicated that the development of dissipated energy could reflect the extent of the damage and fracture evolution processes in rock. Therefore, the energy-based damage variable is proposed to evaluate the extent of damage during the entire process of rock failure and can be expressed as follows:
where is the dissipated energy at residual stress. is positively related to the extent of damage in the rock specimen and has a range of zero to one. A of zero denotes that there is no damage inside the rock specimen, while a of one denotes complete failure of the rock specimen.
Figure 5 illustrates the damage evolution over the entire process of rock failure, which can be divided into three stages. (I) 0–, little damage occurs due to elastic energy accumulation. (II) –, the elastic energy accumulates to the extent that it exceeds the surface energy of microcracks; microcracks are generated and start extending, which initiates the damage. Energy starts dissipating slowly at first, as does damage evolution. As microcracks coalesce, structural failure of the rock specimen occurs, and damage starts to accelerate with a rapid accumulation of dissipated energy. (II) –, the elastic energy releases quickly, accompanied by a rapid accumulation of dissipated energy, further aggravating the damage until the failure of the rock specimen is completed.
Figure 5.
Schematic diagram of damage evolution over the entire process of rock failure.
2.3. Establishment of Glutenite Brittleness Evaluation Index Based on Energy Balance and Damage Evolution
As analyzed above, the entire damage and failure process of a rock specimen is accompanied by energy evolution. It is clear that dissipated energy increases with internal damage accumulation from the initial loading to the failure of the rock specimen. Zhang et al. [24] indicated that the levels of dissipated energy at the pre-peak and post-peak stages are essential factors in determining the brittleness of coal. For an ideal brittle rock, there is little dissipated energy at the pre-peak stage, and little extra energy is required to achieve rock failure at the post-peak stage.
The damage evolution process during the pre-peak stage can be characterized by the proportion of total elastic strain energy to total mechanical energy absorbed by the rock volume. More energy absorbed from outside can be stored inside brittle rock specimens than can be stored inside ductile rock specimens at the pre-peak stage. In other words, brittle rocks have less dissipated energy than ductile rock at the pre-peak stage. For the post-peak stage, brittle rocks release more elastic energy and less dissipated energy than ductile rocks. Therefore, the ratio of elastic energy to dissipated energy released at the post-peak stage reflects the brittleness of the rock. As analyzed in Section 2.1, the dissipated energy at the post-peak stage equals rupture energy. From the perspective of energy damage evolution, the rate of increase in the damage variable reflects the evolution rate of dissipated energy. Brittle rocks generally have a greater evolution rate of dissipated energy than ductile rocks. Taking both pre-peak and post-peak stages into consideration, new brittleness indexes and are proposed based on energy balance and damage evolution:
where
where is the damage coefficient at peak stress.
The new brittleness indexes are proposed based on energy dissipation and energy damage evolution of the complete stress–strain curve of type I. They are able to evaluate the entire failure behavior quantitatively, from absolute ductility to absolute brittleness, in a continuous and monotonic scale that ranges from zero to one. The brittleness indexes have a sound physical basis and sufficient physical meaning. Further, they can describe the plastic yield level and elastic energy storage capacity at pre-peak stage in addition to the extent and rate of strength degradation and damage evolution at post-peak stage.
3. Verification of the New Brittleness Evaluation Indexes with Experimental Tests
3.1. Experimental Tests on Glutenite under Uniaxial and Triaxial Compression
Experimental tests were carried out on glutenite specimens drilled from different layers within the depths of 2350.0–2386.3 m from the tight glutenite reservoir in Shengli Oilfield, in the Shandong Province of China. Glutenite cores derived from this layer were identified as fine gravel conglomerates. The deformation and failure characteristics were analyzed, and basic mechanical parameters were obtained under uniaxial and triaxial stress conditions. The energy balance and damage evolution characteristics were also analyzed based on the complete stress–strain curves.
A series of uniaxial and triaxial compression experiments on glutenite specimens were conducted with an electro-hydraulic servo high-temperature and high-pressure dynamic triaxial test system (GCTS RTR-1500). Several components and corresponding parameters of the GCTS RTR-1500 triaxial test system (Figure 6) are as follows: a uniaxial loading system, (uniaxial loading range within 1500 kN), a radially deformed sensor, a digital acoustic analysis system, a confining pressure system (confining pressure up to 140 MPa), a pore pressure system (pore pressure up to 140 MPa), and a computer system. The experimental procedure complies with the International Society of Rock Mechanics (ISRM) standards.
Figure 6.
(a,b) GCTS RTR-1500 triaxial test system and (c) cylindrical glutenite specimen prepared for testing.
The glutenite specimens were machined into cylinders (diameter of 25 mm and height of 50 mm), and the ends were flattened on a grinding machine (Figure 5c). The maximum unevenness of the two ends did not exceed 0.05 mm. After placing a specimen in the three-axis chamber of the press, it was sealed with a rubber sleeve to prevent liquid from entering into the specimen’s interior, and then the pressure plate, the uniaxial and circumferential strain measuring devices, and the other parts of the press were installed. To ensure the uniform loading of the pressure plate on the surface of the specimen, a rubber gasket was placed between the pressure plate and the specimen. After installing the specimen, a confining pressure was applied to the set value for triaxial compression by the hydraulic regulator. The confining pressures were set at 0, 10, 15, and 20 MPa to analyze the variation of glutenite brittleness in response to the in situ stresses. The test was controlled by uniaxial deformation with a loading rate of 2 × 10−6 m/s until specimen failure. The stress–strain curves were automatically recorded in real-time by computer software.
The mechanical properties of glutenite are determined by mineral composition, diagenetic conditions, and the geological environment. The geological conditions and lithology of glutenite show great variability with depth; therefore, the mechanical properties and macroscopic failure modes are also diverse. Figure 7 shows the stress–strain curves of glutenite specimens under uniaxial and triaxial compression. The relevant mechanical parameters of the glutenite specimens are listed in Table 2. The mechanical properties of glutenite specimens from various drilling depths tested by uniaxial compression exhibit obvious differences, which is expected for specimens from a tight glutenite reservoir with complex lithology, different physical properties, and strong heterogeneity. The uniaxial compressive strength (UCS) of specimen 2 is the highest among the four specimens, followed by specimen 3 and specimen 1, and specimen 4 has the lowest UCS. The elastic modulus of the four specimens varied from 21.82 to 31.63 GPa. For glutenite specimens under different confining pressures, the mechanical parameters derived from stress–strain curves show obvious regularity. With the increase of confining pressure, the compressive strength, residual strength, and elastic modulus of the glutenite specimens increased, and the peak strain and residual strain also increased. The elastic modulus of the specimens increased from 25.61 to 37.95 GPa. In order to explore the influence of structural parameters on the mechanical properties of glutenite specimens under uniaxial conditions, the average gravel size and volume content of specimen 1 to specimen 5 have been measured. The average gravel sizes of each specimen are 2.7 mm, 3.5 mm, 3.1 mm, 3.6 mm, and 2.9 mm, and their volume contents are 21.65%, 15.57%, 20.83%, 13.16%, and 15.23%, respectively. The different mechanical properties of glutenite specimens under uniaxial conditions may be due to the different size and content of gravel, except for the mechanical properties of gravel and matrix. Comparing the mechanical properties of different specimens and their gravel size and content, we can see that glutenite specimens with larger gravel content have larger elastic modulus and there is no obvious regularity between the size and content of gravel and the strength characteristics of glutenite specimen. Compared with matrix, the gravel has larger elasticity modulus, glutenite specimen with larger gravel content is more difficult to generate deformation, thus the larger elastic modulus. Though the gravel has larger strength than matrix, the UCS of glutenite specimen will not increase with the increase of gravel content, because damage and failure are more likely to accrue in the matrix and interface. Since all of the tested glutenite specimens belong to fine gravel sandstone, the average size of gravels in the five specimens does not vary a lot. Due to the fact that the variability of gravel content and mechanical properties of matrix, the relationship between the average gravel size and the specimen’s mechanical properties does not exhibit obvious regularity.
Figure 7.
Stress–strain curves and fracture morphology of glutenite specimens under (a) uniaxial and (b) triaxial compression.
Table 2.
Mechanical parameters of glutenite specimens.
As the structural and mechanical properties of glutenite cores drilled from different in situ depths vary from each other, the failure pattern and fracture morphology may be different. Figure 7 shows the fracture morphology of each glutenite specimen under uniaxial and trial compression. There are multiple macroscopic fractures in glutenite specimens under uniaxial compression, while only one macroscopic fracture is observed on specimens under triaxial compression. Further, the fracture morphology of glutenite specimens under uniaxial compression is more complex than that of specimens under triaxial compression. Specimen 3 has the maximum rupture angle (the angle between the shear fracture surface and major principal stress) among the four specimens under uniaxial compression. The rough fracture surfaces observed on glutenite specimens are due to the strong heterogeneity of glutenite and the interference of gravel on fracture propagation.
3.2. Verification of Brittleness Evaluation Methods by Experimental Results of Glutenite under Uniaxial and Triaxial Conditions
Accurate assessment of the brittleness of different glutenite formation layers is of great significance for glutenite oil exploration and development. An excellent brittleness evaluation method should not only be capable of quantitatively distinguishing the relative degree of brittleness for a group of rock specimens, but also be capable of clearly reflecting the restraining effect of confining pressures on rock brittleness. Generally, the brittleness grade of glutenite can be qualitatively evaluated by the shape of its stress–strain curve, deformation and strength characteristics (such as elastic modulus), and the magnitude and rate of stress drop at post-peak stage. For glutenite specimens under uniaxial compression, an increase of confining pressure causes the elastic modulus and the stress drop magnitude to increase at the post-peak stage. The stress drop rate decreases when the confining pressure increases from 0 to 15 MPa, and increases when confining pressure equals 20 MPa. Therefore, it is difficult to determine the brittleness variation trend with confining pressure directly. Moreover, for glutenite specimens under uniaxial compression, it is difficult to distinguish the relative brittleness degrees of the four specimens because the shapes of stress–strain curves are similar, especially for specimen 1 and specimen 3.
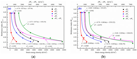
Based on the mechanical parameters obtained from the stress–strain curves shown in Figure 7, the brittleness indexes and of glutenite specimens under uniaxial and triaxial conditions were calculated; brittleness indexes were also calculated for comparison, and all indexes are listed in Table 3. In order to compare the relative degree of brittleness, it was evaluated by different methods effectively and directly. Positive correlation indexes (brittleness index is positively related to rock brittleness, see , and ) and negative correlation indexes (brittleness index is negatively related to rock brittleness, see , and ) are normalized by and , respectively. Normalized brittleness indexes of glutenite specimens under uniaxial compression are plotted in Figure 8. As shown in Table 3, the values of brittleness indexes of specimens under uniaxial compression show a small variation (except for ), which indicates that the brittleness of the four specimens is similar. This is in good agreement with the preliminary brittleness analysis from stress–strain curves in Section 3.2. The values of the brittleness indexes reflect the relative degree of glutenite brittleness. The brittleness indexes and gradually increase from specimen 1 to specimen 4, which is consistent with the trend of brittleness indexes , , , and , which reflects the brittleness increase from specimen 1 to specimen 4. However, brittleness indexes calculated by and for specimens 1 and 2 are contrary to the results obtained by other brittleness indexes, which indicates that the applications of these two indexes on glutenite are not able to distinguish the brittleness grades of various glutenite specimens correctly. The value of ranges from 0.278 to 1.352 and obviously reflects the brittleness variation of the specimens. Although the values of and are very close, their relative magnitude reflects the degree of brittleness. The relative degree of glutenite brittleness reflected by and is close to that of indexes , , and .
Table 3.
Brittleness indexes of glutenite specimens.
Figure 8.
Normalized brittleness indexes of glutenite specimens under uniaxial compression.
Normalized brittleness indexes of glutenite specimens under triaxial compression are plotted in Figure 9. The overall downward trend of the brittleness indexes curves with the confining pressure varying from 0 MPa to 20 MPa reflects that the brittleness of glutenite decreases with the increase of confining pressure. The specimens under confining pressure of 0 MPa and 20 MPa have the maximum and minimum brittleness indexes, respectively. Brittleness index is not able to reflect the trend of glutenite brittleness under confining pressures because the value of at 10 MPa is smaller than that at 15 MPa, which is contradictory to the general decreasing trend concluded from the other indexes. The new indexes and are consistent with the values of the other indexes. As seen in Figure 8, the relative degree of glutenite brittleness under different triaxial stresses calculated by and is close to those calculated by and .
Figure 9.
Normalized brittleness indexes of glutenite specimens under triaxial compression.
We conclude that the results of the quantitative evaluation of glutenite brittleness using the new brittleness indexes and are in agreement with the evaluation results from other indexes. This indicates the new brittleness indexes are showing results that generally conform with what other indexes have obtained.
3.3. Comparison of Brittleness Indexes
According to the analysis in the previous section, the brittleness indexes and are in good agreement with and , indicating that both indexes are reliable for brittleness evaluation of glutenite. Both of these two brittleness indexes take energy evolution characteristics of the pre-peak stage into consideration, using the proportion of total elastic strain energy to total mechanical energy absorbed by rock volume to reflect the brittleness of glutenite. More elastic strain energy can be stored in the pre-peak stage, while less dissipated energy can be produced for glutenite with strong brittleness. For the post-peak stage, is defined from the perspective of energy dissipation while is defined from the perspective of energy damage evolution. As analyzed above, damage generation and evolution are thought to be driven by energy dissipation; therefore, a damage variable is defined based on energy dissipation to reflect the damage evolution characteristic of the whole process of glutenite failure. uses the damage evolution rate to reflect the brittleness of glutenite, which establishes a connection between damage evolution and brittleness and is of innovative value. From the view of brittleness evaluation of glutenite specimens, the value of is slightly larger than that of , but the normalized values of the two indexes are very similar, which indicates the evaluation performances of two indexes are consistent. The two brittleness indexes each have a sound physical basis and clear physical meaning, and the parameters involved can be easily obtained from the stress–strain curve.
To investigate the relationship between the rate of energy damage evolution and the brittleness of glutenite, more glutenite cores were experimentally tested under uniaxial compression, and their brittleness was evaluated by the new indexes. Figure 10 shows the correlation between and of glutenite under uniaxial and triaxial stresses. is positively correlated with , which indicates that the damage evolution rate is closely related to the brittleness degree of glutenite, and verifies the conclusion of the theoretical analysis in Section 2.2. A stress–strain curve is a comprehensive reflection of mechanical properties and failure characteristics of glutenite under different stress conditions. Theoretical and experimental analyses show that the damage evolution rate of post-peak stage reflects the brittle failure characteristics of glutenite and can be used to distinguish the relative degree of brittleness for different glutenite specimens.
Figure 10.
Correlation between and of glutenite under uniaxial and triaxial stress.
4. Analysis of Experimental Results of Glutenite Specimens
4.1. Analysis of Glutenite Brittleness and Energy Evolution Characteristics
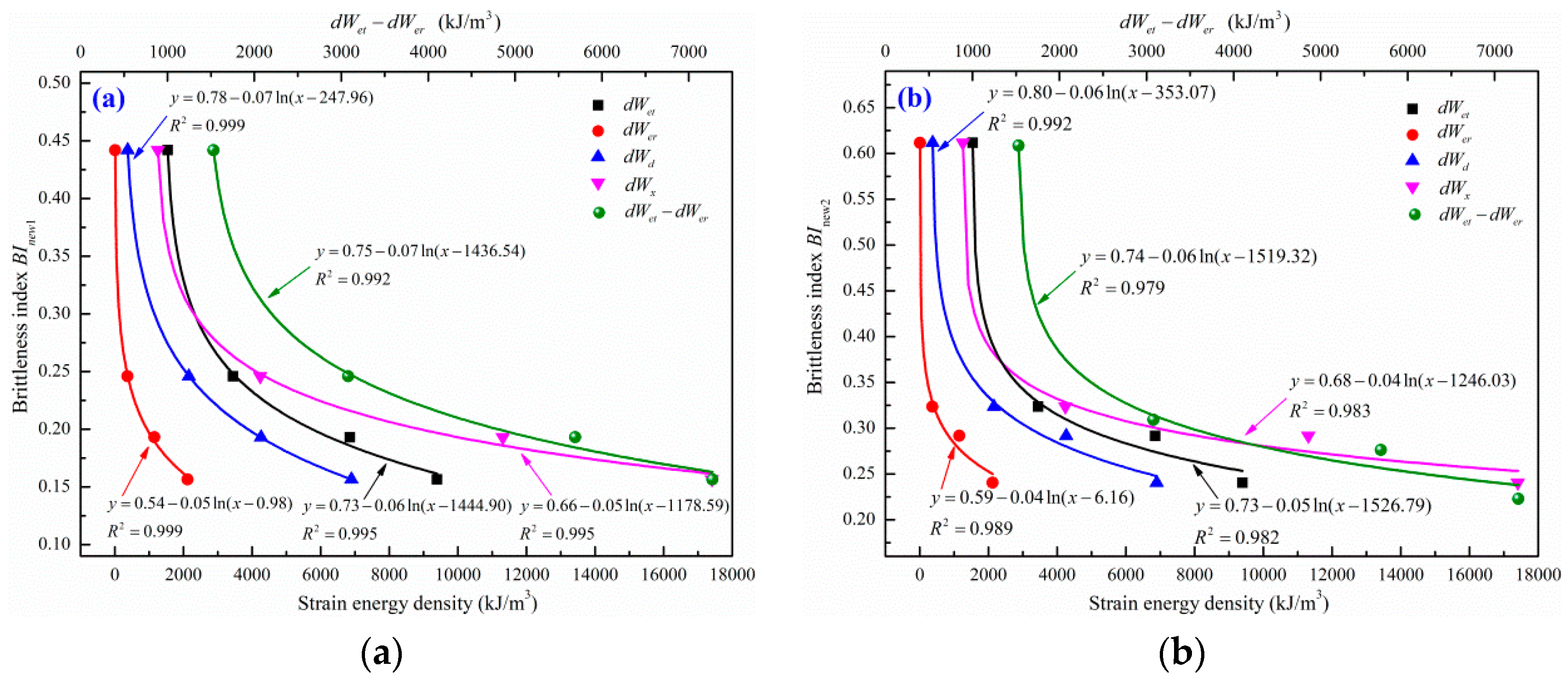
The relationships between the confining pressure and brittleness of glutenite specimens under triaxial compression are shown in Figure 11. and gradually decreases with increasing confining pressure, indicating that the proportion of to at pre-peak stage and the ratio of to at post-peak stage are negatively related to confining pressure. decreases slightly when the confining pressure increases from 10 MPa to 20 MPa. The decrease of with the confining pressure indicates that the rate of energy damage evolution is negatively related to the confining pressure. The decrease of and reflect the decrease of glutenite brittleness with increasing confining pressure. The variations of and with increasing confining pressure are in good agreement with those of and , and while it seems that and can cope with the effect of confining pressure, they may fail to distinguish the degree of brittleness for glutenite specimens under uniaxial conditions. Therefore it is not accurate to consider the mechanical properties of only the pre-peak or post-peak stages.
Figure 11.
Relationships between confining pressure and brittleness indexes.
Figure 12 shows the strain energy density and the strain energy ratio of glutenite under different confining pressure. With an increase in confining pressure, different types of strain energy increase at different rates because the confining pressure elevates the bearing capacity of the glutenite specimen. reflects the degree of glutenite failure, and a small value of indicates a great extent of glutenite failure. The increase of with confining pressure reflects decreases in the degree of failure and the brittleness of glutenite.
Figure 12.
Strain energy density and strain energy ratio under different confining pressure.
4.2. Correlations between Mechanical Parameters and the Brittleness of Glutenite
The correlations between strength characteristics and the brittleness of glutenite specimens under triaxial compression are illustrated in Figure 13. Under triaxial stress, glutenite brittleness indexes and are negatively correlated with strength characteristics , , , and , a finding which is consistent with the results seen in coal [23]. However, the strength characteristics and brittleness of glutenite specimens under triaxial stress exhibit strong logarithmic relationships instead of linear relationships. Confining pressure can limit crack propagation and increase the thresholds of crack initiation and penetration and bearing capacity of glutenite, which causes an increase in strength and the decrease of glutenite brittleness.
Figure 13.
Correlations between strength characteristics and brittleness indexes (a) and (b) .
Figure 14 shows the relationship between modulus and brittleness of glutenite specimens under triaxial compression. Glutenite brittleness and E exhibit a negative exponential relationship, which is different from the negative linear relationship between brittleness and E of coal [23] and sandstone [43]. In contrast, glutenite brittleness and -M exhibit a positive exponential relationship. The accumulation rate of elastic energy at the elastic region and the release rate of elastic energy at the post-peak stage of glutenite are manifested by E and M, respectively. Glutenite specimens that have strong brittleness are characterized by a rapid accumulation and release rate of elastic energy at pre-peak and post-peak stages. Although the accumulation rate of elastic energy at the elastic region increases with confining pressure, the restriction of confining pressure on crack growth at yield stage and elastic energy release at post-peak stage are more remarkable, which finally weakens the brittleness of the glutenite. Glutenite brittleness and D exhibit a positive linear relationship. With an increase of confining pressure, plastic deformation increases at the yield stage and more dissipated energy is generated, causing a decrease in D and a weakening of glutenite brittleness. The correlation between glutenite brittleness and D is positive but not strong due to the strong heterogeneity and mineral composition differences of glutenite.
Figure 14.
Relationship between modulus and brittleness indexes (a) and (b) .
4.3. Correlations between Strain Energies and Brittleness of Glutenite
The correlations between strain energies and brittleness of glutenite specimens under triaxial compression are illustrated in Figure 15. The brittleness of glutenite is negatively correlated with strain energies, exhibiting strong logarithmic relationships. At the pre-peak stage, confining pressure elevates the storage capacity of elastic energy, causing an increase in . However, also increases with increasing confining pressure due to crack propagation, and the proportion of generally increases accompanied by a decrease in , causing a decrease in glutenite brittleness. and decreases with confining pressure because the confining pressure increases the threshold of crack initiation and elevates the bearing capacity of the glutenite specimen at the post-peak stage, thus weakening the brittleness. Although increases with an increase in confining pressure at post-peak stage, the value of decreases.
Figure 15.
Correlations between strain energies and brittleness indexes (a) and (b) .
5. Numerical Study on the Effects of Mechanical and Structural Parameters on Glutenite Brittleness
5.1. Effects of the Mechanical Parameters of Gravel and Matrix on Glutenite Brittleness
The volume content, size of gravel, and mechanical properties of the gravel and matrix have different effects on the brittle failure characteristics and degree of brittleness in glutenite specimens. Therefore, it is important to analyze the influence of structural and mechanical parameters on glutenite brittleness. Laboratory testing and numerical simulation are commonly used methods for this task. Reliable data for glutenite core brittleness can be obtained through laboratory tests; however, the drilling and preparation of glutenite cores and the performance of laboratory tests are both time-consuming and labor-intensive. Because of uncertainties in the gravel content, size, and mechanical properties of gravel in glutenite reservoirs, test results are generally discrete, making it difficult to generalize from a limited number of tests. Therefore, numerical simulation is an approach worth exploring.
To study the influence of structural and mechanical parameters on glutenite brittleness, the RFPA3D code [44,45,46,47] was used to establish the numerical model of glutenite specimens, as shown in Figure 16. The numerical model of glutenite specimens is composed of gravel, matrix, and interface; and different mechanical parameters are assigned to the three parts. Figure 16 shows the 3D mesh distribution diagram of the elastic modulus. The model is meshed into 3.14 × 402 × 140 = 703,360 finite elements, with a diameter and height of 25 mm and 50 mm, respectively. The uniaxial compression process is simulated with displacement control of 2 × 10-6 m/step applied on the top of the model and fixed control applied on the bottom. The stress–strain curve is recorded automatically. For RFPA3D code, the mechanical parameters are required for finite elements in the numerical model. Therefore, the mechanical properties of glutenite specimen 1 are used to calibrate the mechanical parameters of matrix, gravel, and interface. The mechanical parameters are preliminarily determined on the basis of referring to the relevant literature [1,3,11], then numerical simulations are conducted by changing the homogeneity indexes of matrix and gravel, until the stress–strain curve of the numerical models are more or less the same with the experimental results. Figure 17 shows the comparison of the stress–strain curves of specimen 1 between the experimental test and the numerical simulation. The numerical result is quite close to the experimental result. Thus, the basic mechanical parameters for subsequent simulations are fixed, as listed in Table 4.
Figure 16.
The numerical model of glutenite specimen: 3D mesh distribution diagram of the elastic modulus.
Figure 17.
Comparison of stress–strain curves of specimen 1 between the experimental test and numerical simulation.
Table 4.
The basic mechanical parameters for the numerical model.
Due to the uncertainty of the diagenesis process and the strong heterogeneity of glutenite, the brittleness degree and mechanical properties of different glutenite specimens are highly variable. The brittle failure characteristic of glutenite is closely related to its mechanical properties. Mechanical parameters of different in-situ layers are necessary for the evaluation of brittleness and fracability of glutenite reservoirs. Therefore, it is important to understand the intrinsic relationship between brittleness characteristics and mechanical parameters of glutenite. Unlike sedimentary rock reservoirs such as sandstone and shale, a glutenite reservoir is structurally composed of gravel, matrix, and the interface between the gravel and matrix. The mechanical properties of the matrix and gravel of glutenite have been investigated [1,3,44,48,49,50,51,52] based on laboratory testing and numerical simulations. However, the effects of varying the mechanical parameters of gravel and matrix on the brittleness of glutenite have not been studied to date. Therefore, a series of numerical tests of uniaxial compression on the glutenite specimen model were conducted.
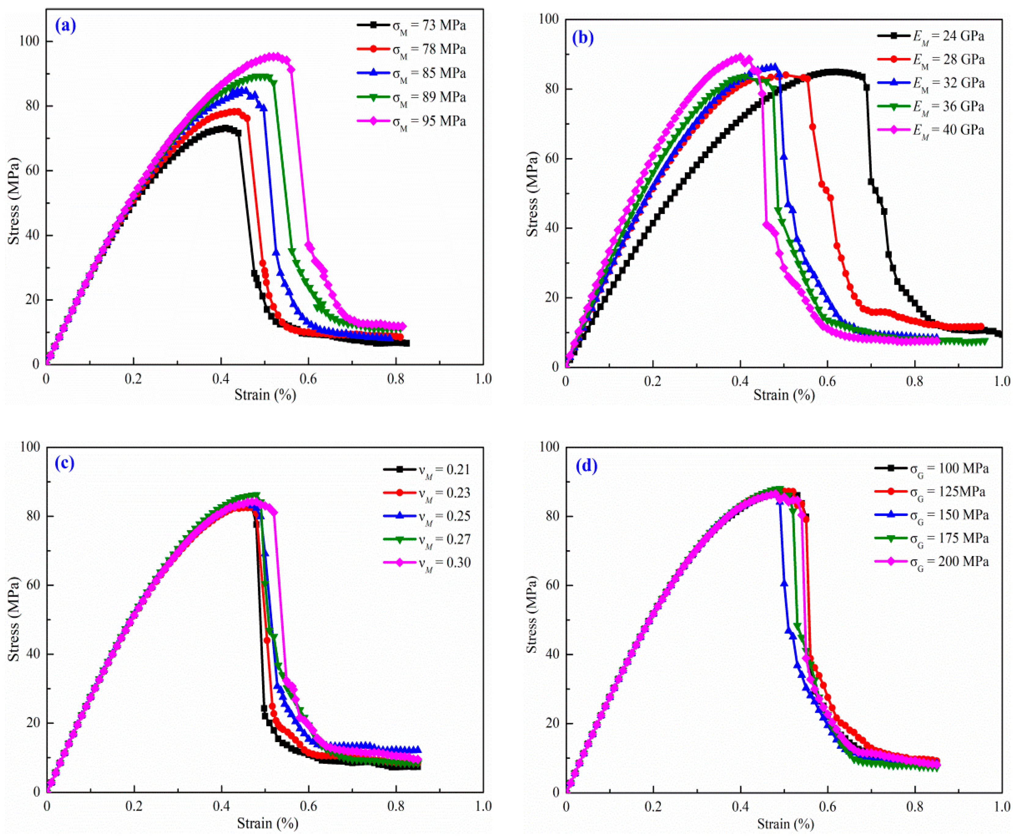
The effects of compressive strength, elastic modulus, and Poisson’s ratio of matrix and gravel on glutenite brittleness were analyzed with numerical simulations. , , , and , , denote compressive strength, elastic modulus, and Poisson’s ratio for matrix and gravel, respectively. To investigate the effect of each parameter on glutenite brittleness, numerical experiments were conducted in which one parameter was varied and the others were kept constant. In order to eliminate the influence of structural parameters (gravel size, content, and spatial distribution) of gravel on the glutenite stress–strain response, the structural parameters were kept invariant during each numerical simulation. The values of the mechanical parameters of matrix and gravel are listed in Table 4. The stress–strain responses of glutenite specimens in which each mechanical parameter of gravel and matrix was varied are shown in Figure 18.

Figure 18.
Stress–strain response of glutenite with variation of individual mechanical parameters. Graphs (a–c) correspond to , , and of the matrix and (d–f) correspond to , , and of the gravel.
The brittleness indexes and were calculated with Equations (6)–(10), as listed in Table 5. As shown in Figure 18 and Table 5, the peak stress and residual stress of glutenite increase while the elastic modulus of glutenite remains invariant with the increase of , and decreases from 0.381 to 0.356, and decreases from 0.635 to 0.574. Because the strength of glutenite is primarily determined by the strength of matrix, with an increase in , the elastic modulus of glutenite increases and residual strain decreases and the peak stress and residual stress stay nearly unchanged, which results in the increase of from 0.341 to 0.376, and from 0.596 to 0.626. The residual strain of glutenite increases with an increase in , resulting in a slight decrease of brittleness, decreases from 0.378 to 0.360 and decreases from 0.622 to 0.612.
Table 5.
Mechanical parameters for numerical tests and their corresponding brittleness indexes.
The peak strain and residual strain decrease slightly with the increase of , which results in an increase of from 0.365 to 0.372, and from 0.613 to 0.620. The variation of and hardly changes the shape of stress–strain curve of glutenite, so the brittleness indexes remain almost constant. Li et al. [3] indicated that five propagation modes can be identified when hydraulic fractures approach gravel based on numerical simulation: termination, deflection, branching, penetration, and attraction. Liu et al. [49] indicated that when the compressive strength of gravel differs significantly from that of matrix, the fracture tends to undergo deflection and/or branching around gravel; when the compressive strength of gravel differs little from that of matrix, penetration and termination are more likely to occur. The difference in compressive strength between gravel and matrix is significant in this simulation, so the deflection and branching of the fracture can be observed. Figure 19 illustrates the fracture propagation process during glutenite rupture, where fracture deflections and branchings by gravel can be identified. There is stress concentration in the area surrounding the gravel due to the significant difference of mechanical properties between gravel and matrix, which is where crack initiation occurs. The gravel particles change the direction of fracture extension, which may result in multiple macroscopic fractures. The reason why has little influence on the glutenite failure pattern is probably because of the fact that fractures deflect and travel around the gravels. Therefore, fractures propagate only in matrix and interface, meaning their pathways are not noticeably affected by . With an increase in , the residual stress of glutenite increases while the residual strain decreases, the elastic modulus and peak stress of glutenite remain nearly unchanged, and the brittleness of glutenite increases, which is in good agreement with Rickman et al. [17].
Figure 19.
Schematic diagram of the fracture propagation process during glutenite rupture.
5.2. Effects of Gravel Size and Volume Content on Glutenite Brittleness
Gravel is an important structural component of glutenite, the size and content of which have a significant influence on glutenite’s mechanical properties and failure characteristics. Figure 20 illustrates glutenite cores of different sizes and volume content of gravels [50]. During sedimentation and diagenesis of sandy conglomerate, clasts of different sizes and contents are cemented and solidified. Therefore, gravels of different sizes and contents may exist in different spots. Glutenite brittleness and hydraulic fracturing effectiveness are affected not only by mechanical properties of matrix and gravel, but also gravel size and gravel volume content. To investigate the effects of gravel size and gravel volume content on glutenite brittleness, a series of numerical models were employed and numerical uniaxial compression experiments were conducted. Logging data of a well in Shengli Oilfield manifested that the gravel volume content ranges from 0% to 50% and the average volume content was 28.5%. Therefore, the numerical models were established with gravel volume content of 0%, 10%, 30%, 50%, and a gravel volume content of 0% indicates sandstone. According to the logging data and interpretation images of the tight glutenite reservoir in Shengli Oilfield, the coring interval of glutenite strata are filled with fine gravel with different sizes ranging from 2.5 to 5.0 mm. Thus, the gravel sizes of 2.5 mm, 3.75 mm, and 5.0 mm were employed in the numerical models. The mechanical parameters of matrix, gravel, and interface were input as Table 4. In order to diminish the influence of the spatial distribution of gravels on glutenite failure, the gravels were randomly and uniformly distributed inside the numerical model of glutenite specimens.
Figure 20.
Glutenite cores with (a) coarse gravels, (b) medium gravels, and (c) fine gravels (Reproduced with permission from [51], Zhang et al., Journal of Natural Gas Science and Engineering, Elsevier, 2015)
Stress–strain curves and their corresponding calculation results of brittleness indexes of glutenite specimen with various gravel sizes and volume contents are shown in Figure 21 and Table 6, respectively. As shown in Figure 21, compared with sandstone, glutenite has larger elastic modulus and UCS, which is because the existence of gravel enhances the ability of glutenite to resist deformation and failure. The elastic modulus of glutenite specimens increases with an increase in gravel volume content which is consistent with the experimental results discussed in Section 3.1. With the increase of gravel content, the peak stress increases while the residual stress remains approximately constant. The residual stress of sandstone (9.9 MPa) is larger than that of glutenite (7.8 MPa) because it needs more energy for fractures deflecting and traveling around the gravels.
Figure 21.
Stress–strain curves of glutenite specimen with various gravel sizes and gravel volume contents: gravel sizes are (a) 2.5 mm, (b) 3.75 mm, and (c) 5.0 mm.
Table 6.
Calculation results of brittleness indexes with various gravel sizes and volume contents.
The brittle failure characteristics of glutenite specimen are affected by the size and volume content of gravel, which can be reflected by and . As can be seen in Table 6, the brittleness of glutenite is stronger than that of sandstone. The existence of gravels enhances the elastic modulus and the existence of interfaces decreases the residual stress and residual strain of glutenite specimen, hence increases the brittleness. With the increase of gravel size and volume content, and display different magnitudes of growth, which indicates that the brittleness of glutenite specimen increases. When the gravel size remains constant, brittleness indexes and increases with the increase in gravel volume content. The elastic modulus reflects the ability of a material to resist elastic deformation under loading. The gravel has a larger elastic modulus and smaller Poisson’s ratio than the matrix, and an increase in gravel content makes it difficult for the glutenite specimens to generate elastic deformation and radial deformation under axial stress; hence the elastic modulus increases. The elastic modulus of glutenite specimen increases, while the peak strain and residual strain decrease with an increase of gravel volume content, which results in an increase of glutenite brittleness.
When the volume content remains constant, brittleness indexes and increases with an increase in the gravel size. When the gravel content remains constant, the influence of gravel size on the failure characteristics of glutenite specimen can not be distinctly summarized from the stress–strain curves shown in Figure 21 due to the influence of the heterogeneity of mechanical parameters and spatial distribution of gravels, which will be discussed in the following section.
5.3. Effects of Gravel Size Gradation on Glutenite Brittleness
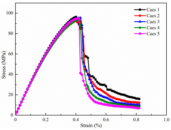
To investigate the effects of gravel size gradation on glutenite brittleness, five models were employed. The numerical glutenite specimens were filled with gravel sizes of 2.5, 3.0, 3.5, 4.0, and 5.0 mm, and the volume content of gravel was 50%. Figure 22 shows the numerical cases of five models with different gravel size gradations. The proportion of large-sized gravel increases while the proportion of small-sized gravel decreases from Case 1 to Case 5. Due to the heterogeneity of glutenite, the failure characteristics of glutenite specimens are affected by the spatial distribution of gravel. To diminish the influence of spatial distribution of gravel on brittleness evaluation results and draw conclusions, the case with the largest gravel size (Case 5) is established firstly with a random distribution of gravel, and then the other cases are established based on Case 5 by subtracting a certain amount of gravel in different size gradations. The mechanical parameters of matrix, interface, and gravel are the same as those in Table 4.
Figure 22.
Numerical cases of five models with different gravel size gradations.
Figure 23 shows the stress–strain curves of five numerical cases with different gravel size gradations. The strength parameters and brittleness indexes of the five cases of different size gradations are listed in Table 7. Glutenite specimens with different gravel size gradations have almost the same elastic moduli, peak stresses, and residual strains. The residual stress decreases from Case 1 to Case 5, which indicates that a larger proportion of large-sized gravel leads to a smaller residual strength of glutenite specimen. Increasing trends of and are seen in Table 7. The brittleness indexes and of glutenite specimens increase with an increase in the proportion of large-sized gravel, which is in good agreement with the conclusions drawn in Section 5.2. When the gravel content remains constant, glutenite specimens with larger gravel sizes turn out to be smaller residual strength. Thus, from the numerical simulation results, the gravel size primarily affects the post-peak stress–strain characteristics of the glutenite specimen. The peak strength and elastic modulus of glutenite specimen remain almost invariant, while the residual strength decreases with an increase in gravel size, which results in an increase in glutenite brittleness. Fracture deflection by gravel can lower the fracture-tip stress intensity and enhance the fracture growth resistance, and the fracture may undergo a “shielding” effect [52,53,54]. When a fracture approaches large-sized gravel, it must accumulate more energy to overcome the resistance. Thus more released elastic energy at the post-peak stage is used to overcome the resistance and maintain the extension of fractures, which results in a decrease in residual strength.
Figure 23.
Stress–strain curves of five numerical cases of different gravel size gradations.
Table 7.
Strength parameters and brittleness indexes of five cases of different size gradations.
6. Discussion and Conclusion
6.1. Discussion
In this paper, two novel brittleness indexes are proposed based on the energy balance and damage evolution analysis of the complete stress–strain curve to evaluate the brittleness of glutenite reservoirs. The theoretical method provides a new perspective for glutenite brittleness evaluation that considers energy dissipation and damage evolution during the entire process of glutenite failure; a perspective which is innovative for its connection between brittleness and damage evolution. The research results provide a reliable reference for screening the fracturing targets and field fracturing design and to lay the foundation for estimating the fracability of tight glutenite reservoirs. Numerous brittleness evaluation methods have been proposed from different perspectives, but the proportion of these methods that are applicable to glutenite reservoirs is extremely limited. However, there are still some points that need attention when estimating the brittleness and fracability of tight glutenite reservoirs. These points are as follows:
- (1)
- The estimation results of different methods may differ due to the assumptions involved. In the process of energy balance analysis, the unloading elastic modulus of rock specimens at different stress conditions is assumed to be equal to the initial elastic modulus, an assumption that might lead to deviations in the calculated results. Therefore, further efforts are needed to study the evolution law of unloading elastic modulus in the entire process of glutenite failure with loading and unloading tests, which could increase our understanding of the energy evolution mechanisms of glutenite failure and achieve more accurate results in evaluating glutenite brittleness.
- (2)
- Tight glutenite reservoirs are often characterized by strong heterogeneity and highly variable lithology. The application of brittleness evaluation methods based on stress–strain curves are generally limited to laboratory tests on cores drilled from certain glutenite layers, making it difficult to obtain continuous longitudinal mechanical properties and stress–strain responses of glutenite reservoirs under different in situ stresses. Therefore, to make brittleness models more applicable to fracturing operations and to obtain a continuous longitudinal brittleness index of glutenite throughout the well, it is necessary to integrate geomechanical and petrophysical approaches [51,52,53,54]. There is an intrinsic relationship between geophysical logging data and the physical and mechanical parameters of the reservoir rock mass [2]. More efforts are needed to combine geophysical logging interpretation and rock mechanics methods, and to calibrate the well logging interpretation and estimation models with laboratory test results [7] to obtain a precise brittleness prediction of the whole well length of a glutenite reservoir. This is important for the actual fracturing operation.
- (3)
- Brittleness evaluation of glutenite reservoirs ultimately benefits the industrial fracturing production program. Evaluating the capacity of glutenite layers for large fracture network formation as fracturing targets is beneficial for maximizing the stimulated reservoir volume (SRV). Because gravel is randomly distributed in glutenite reservoirs, the interface between gravel and matrix can be regarded as a natural weak plane, which has a significant effect on the propagation behavior of artificial fractures [3]. The brittleness and fracability of glutenite are affected not only by the mechanical properties of matrix, but also by gravel size and volume content, and mechanical properties of different rock structures. Fracture propagation behavior and the hydraulic fracturing effect of glutenite reservoirs are controlled by mechanical properties [15,55,56], geological conditions [57,58,59,60], and technical parameters [60,61,62]. The effect of glutenite brittleness on hydraulic fracture propagation mechanisms and fracturing needs further study. The establishment of a quantitative brittleness evaluation method directly from the perspective of the fracturing effect of glutenite would be conducive to making intuitive and reasonable predictions about hydraulic fracture complexity and SRV.
6.2. Conclusions
The energy balance and energy evolution were analyzed by the complete stress–strain curve during the entire rupturing process of glutenite. The proportion of elastic energy at the pre-peak stage, the ratio of released elastic energy to dissipated energy, and the energy evolution rate during damage at the post-peak stage are closely related to glutenite brittleness. Two reasonable evaluation indexes are established from the perspective of energy dissipation and energy evolution during damage, each having a continuous and monotonic range from zero to one, which are capable of describing: (1) the plastic yield level and elastic energy storage capacity at the pre-peak stage and (2) the extent and rate of strength degradation and damage evolution at the post-peak stage.
The correlations between mechanical properties and brittleness of glutenite under triaxial stress were analyzed based on experimental results. The correlations between strength characteristics and brittleness of glutenite specimens under triaxial stress exhibit strong logarithmic relationships. The correlations between deformation characteristics, E and M, and the brittleness of glutenite specimens exhibit a negative and a positive exponential relationship, respectively.
The effects of mechanical and structural parameters on glutenite brittleness were investigated by numerical modeling. The mechanical parameters of gravel and matrix have different effects on the brittleness of glutenite. Glutenite brittleness increases with increases in gravel size and volume content. In the process of hydraulic fracturing design, attention should be paid simultaneously to the brittleness of the matrix and the size and content of gravel. Glutenite reservoirs with strong matrix brittleness and large gravel size and volume content have more potential for fracturing stimulation.
Author Contributions
Data curation, M.Z., Z.Z. and L.Z.; formal analysis, M.Z. and L.L.; funding acquisition, L.L.; investigation, M.Z. and L.L.; methodology, M.Z. and L.L.; resources, B.H. and A.L.; validation, J.Z. and Q.Z.; writing—original draft, M.Z.; writing—review and editing, L.L.
Funding
This research was funded by the National Natural Science Foundation of China (Grant Nos. 51879041, U1710253 and 51761135102), the Fundamental Research Funds for the Central Universities (No. N180105029), National Science and Technology Major Project of China (Grant No. 2017ZX05072), and Anhui Province Science and Technology Project of China (Grant No. 17030901023). The authors express their sincere thanks to the reviewers for their helpful comments and suggestions for improving this paper.
Conflicts of Interest
The authors declare no conflict of interest.
Nomenclature
| peak strength, MPa | mechanical energy absorbed by rock volume, kJ/m³ | ||
| peak strain, - | rupture energy, kJ/m³ | ||
| residual strength, MPa | dissipated energy at residual stress, kJ/m³ | ||
| residual strain, - | consumed elastic energy, kJ/m³ | ||
| yield stress, MPa | dissipated energy of pre-peak stage, kJ/m³ | ||
| yield strain, - | total elastic energy accumulated, kJ/m³ | ||
| initiation stress, MPa | residual elastic energy, kJ/m³ | ||
| initiation strain, - | extra energy required for rupturing the rock at post-peak stage, kJ/m³ | ||
| softening modulus, GPa | damage variable, - | ||
| elastic modulus, GPa | uniaxial compressive strength, MPa | ||
| yield modulus, GPa | brittleness index,- | ||
| Poisson’s ratio, - |
References
- Ma, X.F.; Zou, Y.S.; Li, N.; Chen, M.; Zhang, Y.N.; Liu, Z.Z. Experimental study on the mechanism of hydraulic fracture growth in a glutenite reservoir. J. Struct. Geol. 2017, 97, 37–47. [Google Scholar] [CrossRef]
- Wang, M.; Wang, Y.S.; Liu, X.F.; Zhang, S.; Guan, L. Study on quantitative evaluation of rock grain size in sand conglomerate reservoir-A case study of Sha 4 formation in Dongying Sag. Prog. Geophys. 2019, 34, 208–213. (In Chinese) [Google Scholar]
- Li, L.C.; Meng, Q.M.; Wang, S.Y.; Li, G.; Tang, C.A. A numerical investigation of the hydraulic fracturing behavior of conglomerate in Glutenite formation. Acta Geotech. 2013, 8, 597–618. [Google Scholar] [CrossRef]
- Li, Z.C.; Li, L.C.; Huang, B.; Zhang, L.Y.; Li, M.; Zuo, J.Q.; Yu, Q.L. Numerical investigation on the propagation behavior of hydraulic fractures in shale reservoir based on the DIP technique. J. Pet. Sci. Eng. 2017, 154, 302–314. [Google Scholar] [CrossRef]
- Li, L.C.; Xia, Y.J.; Huang, B.; Zhang, L.Y.; Li, M.; Li, A.S. The behaviour of fracture growth in sedimentary rocks: A numerical study based on hydraulic fracturing processes. Energies 2016, 9, 169. [Google Scholar] [CrossRef]
- Li, Y.W.; Long, M.; Zuo, L.H.; Li, W.; Zhao, W.C. Brittleness evaluation of coal based on statistical damage and energy evolution theory. J. Pet. Sci. Eng. 2019, 172, 753–763. [Google Scholar] [CrossRef]
- Zhang, D.C.; Ranjith, P.G.; Perera, M.S.A. The brittleness indices used in rock mechanics and their application in shale hydraulic fracturing: A review. J. Pet. Sci. Eng. 2016, 143, 158–170. [Google Scholar] [CrossRef]
- Cipolla, C.L.; Warpinski, N.R.; Mayerhofer, M.J.; Lolon, E.P.; Vincent, M.C. The relationship between fracture complexity, reservoir properties, and fracture treatment design. SPE Prod. Oper. 2010, 25, 438–452. [Google Scholar] [CrossRef]
- Zhou, X.G.; Liu, H.M.; Guo, Y.T.; Wang, L.; Hou, Z.K.; Deng, P. An evaluation method of brittleness characteristics of shale based on the unloading experiment. Energies 2019, 12, 1779. [Google Scholar] [CrossRef]
- Gholami, R.; Rasouli, V.; Sarmadivaleh, M.; Minaeian, V.; Fakhari, N. Brittleness of gas shale reservoirs: A case study from the north Perth basin, Australia. J. Nat. Gas Sci. Eng. 2016, 33, 1244–1259. [Google Scholar] [CrossRef]
- Liu, P.; Ju, Y.; Ranjith, P.G.; Zheng, Z.M.; Chen, J.L. Experimental investigation of the effects of heterogeneity and geostress difference on the 3D growth and distribution of hydro fracturing cracks in unconventional reservoir rocks. J. Nat. Gas Sci. Eng. 2016, 35, 541–554. [Google Scholar] [CrossRef]
- Kivi, I.R.; Ameri, M.; Molladavoodi, H. Shale brittleness evaluation based on energy balance analysis of stress-strain curves. J. Pet. Sci. Eng. 2018, 167, 1–19. [Google Scholar] [CrossRef]
- Jarvie, D.M.; Hill, R.J.; Ruble, T.E.; Pollastro, R.M. Unconventional shale-gas systems: The mississippian Barnett Shale of north-central Texas as one model for thermogenic shale-gas assessment. AAPG Bull. 2007, 91, 475–499. [Google Scholar] [CrossRef]
- Wang, F.P.; Gale, J.F.W. Screening criteria for shale-gas systems. Gulf Coast Assoc. Geol. Soc. Trans. 2009, 59, 779–793. [Google Scholar]
- Jin, X.C.; Shah, S.N.; Roegiers, J.C.; Zhang, B. An integrated petrophysics and geomechanics approach for fracability evaluation in shale reservoirs. SPE J. 2015, 20, 518–526. [Google Scholar] [CrossRef]
- Rybacki, E.; Meier, T.; Dresen, G. What controls the mechanical properties of shale rocks? -Part II: Brittleness. J. Pet. Sci. Eng. 2016, 144, 39–58. [Google Scholar] [CrossRef]
- Rickman, R.; Mullen, M.J.; Petre, J.E.; Grieser, W.V.; Kundert, D. A practical use of shale petrophysics for stimulation design optimization: All shale plays are not clones of the Barnett Shale. In Proceedings of the SPE annual technical conference and exhibition, Denver, CO, USA, 21–24 September 2008. [Google Scholar]
- Hucka, V.; Das, B. Brittleness determination of rocks by different methods. Int. J. Rock Mech. Min. Sci. Geomech. Abstr. 1974, 17, 389–392. [Google Scholar] [CrossRef]
- Glenn, L.A. Brittle failure of rock materials: Test results and constitutive models. Appl. Mech. Rev. 1997, 50, B17. [Google Scholar]
- Altindag, R. The evaluation of rock brittleness concept on rotary blast hole drills. J. South. Afr. Inst. Min. Metall. 2002, 102, 61–66. [Google Scholar]
- Xia, Y.J.; Li, L.C.; Tang, C.A.; Li, X.Y.; Ma, A.; Li, M. A new method to evaluate rock mass brittleness based on stress-strain curves of class I. Rock Mech. Rock Eng. 2017, 50, 1123–1139. [Google Scholar] [CrossRef]
- Bishop, A.W. Progressive failure with special reference to the mechanism causing it. Proc. Geotech. Conf. Oslo 1967, 2, 142–150. [Google Scholar]
- Meng, F.Z.; Zhou, H.; Zhang, C.Q.; Xu, R.C.; Lu, J.J. Evaluation methodology of brittleness of rock based on post-peak stress–strain curves. Rock Mech. Rock Eng. 2015, 48, 1787–1805. [Google Scholar] [CrossRef]
- Zhang, J.; Ai, C.; Li, Y.W.; Che, M.G.; Gao, R.; Zeng, J. Energy-based brittleness index and acoustic emission characteristics of anisotropic coal under triaxial stress condition. Rock Mech. Rock Eng. 2018, 51, 3343–3360. [Google Scholar] [CrossRef]
- Ai, C.; Zhang, J.; Li, Y.W.; Zeng, J.; Yang, X.L.; Wang, J.G. Estimation criteria for rock brittleness based on energy analysis during the rupturing process. Rock Mech. Rock Eng. 2016, 49, 4681–4698. [Google Scholar] [CrossRef]
- Munoz, H.; Taheri, A.; Chanda, E.K. Rock drilling performance evaluation by an energy dissipation based rock brittleness index. Rock Mech. Rock Eng. 2016, 49, 3343–3355. [Google Scholar] [CrossRef]
- Tarasov, B.; Potvinb, Y. Universal criteria for rock brittleness estimation under triaxial compression. Int. J. Rock. Mech. Min. Sci. 2013, 59, 57–69. [Google Scholar] [CrossRef]
- Guo, Z.; Chapman, M.; Li, X. Exploring the effect of fractures and micro-structure on brittleness index in the Barnett Shale. In SEG Technical Program Expanded Abstracts; Society of Exploration Geophysicists: Tulsa, OK, USA, 2012; pp. 1–5. [Google Scholar]
- Chen, J.; Zhang, G.; Chen, H.; Yin, X. The construction of shale rock physics effective model and prediction of rock brittleness. In SEG Technical Program Expanded Abstracts 2014; Society of Exploration Geophysicists: Tulsa, OK, USA, 2014; pp. 2861–2865. [Google Scholar]
- Perez Altamar, R.; Marfurt, K. Mineralogy-based brittleness prediction from surface seismic data: Application to the Barnett Shale. Interpretation 2014, 2, 1–17. [Google Scholar] [CrossRef]
- Lai, J.; Wang, G.W.; Huang, L.X.; Li, W.L.; Ran, Y.; Wang, D.; Zhou, Z.L.; Chen, J. Brittleness index estimation in a tight shaly sandstone reservoir using well logs. J. Nat. Gas Sci. Eng. 2015, 27, 1536–1545. [Google Scholar] [CrossRef]
- Guo, T.K.; Zhang, S.C.; Ge, H.K.; Wang, X.Q.; Lei, X.; Xiao, B. A new method for evaluation of fracture network formation capacity of rock. Fuel 2015, 140, 778–787. [Google Scholar] [CrossRef]
- Huang, X.R.; Huang, J.P.; Li, Z.C.; Yang, Q.Y.; Sun, Q.X.; Cui, W. Brittleness index and seismic rock physics model for anisotropic tight-oil sandstone reservoirs. Appl. Geophys. 2015, 12, 11–22. [Google Scholar] [CrossRef]
- Honda, H.; Sanada, Y. Hardness of coal. Fuel 1956, 35, 451–461. [Google Scholar]
- Tarasov, B.G. Experimental evidences of dramatic embrittlement of hard rocks due to rising confining pressure at triaxial compression. In 12th ISRM Congress; International Society for Rock Mechanics and Rock Engineering: Lisbon, Portugal, 2011; pp. 845–849. [Google Scholar]
- Xie, H.P.; Li, L.Y.; Peng, R.D.; Ju, Y. Energy analysis and criteria for structural failure of rocks. J. Rock Mech. Geo. Eng. 2009, 1, 11–20. [Google Scholar] [CrossRef]
- Munoz, H.; Taheri, A.; Chanda, E.K. Fracture energy-based brittleness index development and brittleness quantification by pre-peak strength parameters in rock uniaxial compression. Rock Mech. Rock Eng. 2016, 49, 4587–4606. [Google Scholar] [CrossRef]
- You, M.Q.; Su, C.D. Experimental study on strengthening of marble specimen in cyclic loading of uniaxial or pseudo-triaxial compression. Acta Mech. Solida Sin. Chin. Ed. 2008, 29, 66–72. (In Chinese) [Google Scholar]
- Peng, R.D.; Ju, Y.; Wang, J.G.; Xie, H.P.; Gao, F.; Mao, L.T. Energy dissipation and release during coal failure under conventional triaxial compression. Rock Mech. Rock Eng. 2015, 48, 509–526. [Google Scholar] [CrossRef]
- Xue, Y.; Gao, F.; Teng, T.; Xing, Y. Effect of gas pressure on rock burst proneness indexes and energy dissipation of coal samples. Geotech. Geol. Eng. 2016, 34, 1737–1748. [Google Scholar] [CrossRef]
- Labuz, J.F.; Biolzi, L. Class I vs Class II stability: A demonstration of size effect. Int. J. Rock Mech. Min. Sci. 1991, 28, 199–205. [Google Scholar] [CrossRef]
- Mitri, H.S.; Tang, B.; Simon, R. FE modelling of mining-induced energy release and storage rates. J. South. Afr. Inst. Min. Metall. 1999, 99, 103–110. [Google Scholar]
- Chen, Z.Q.; He, C.; Ma, G.Y.; Xu, G.W.; Ma, C.C. Energy damage evolution mechanism of rock and its application to brittleness evaluation. Rock Mech. Rock Eng. 2019, 52, 1265–1274. [Google Scholar] [CrossRef]
- Xia, Y.J.; Li, L.C.; Tang, C.A.; Bao, C.Y.; Li, A.S.; Huang, B. Experiment and numerical research on failure characteristic and brittleness index for reservoir sandstone. Chin. J. Rock Mech. Eng. 2017, 36, 10–28. (In Chinese) [Google Scholar]
- Tang, C.A.; Kaiser, P.K. Numerical simulation of cumulative damage and seismic energy release during brittle rock failure—Part I: Fundamentals. Int. J. Rock Mech. Min. Sci. 1998, 35, 113–121. [Google Scholar] [CrossRef]
- Li, L.C.; Tang, C.A.; Li, G.; Wang, S.Y.; Liang, Z.Z.; Zhang, Y.B. Numerical simulation of 3D hydraulic fracturing based on an improved flow-stress-damage model and a parallel FEM technique. Rock Mech. Rock Eng. 2012, 45, 801–818. [Google Scholar] [CrossRef]
- Li, T.J.; Li, L.C.; Tang, C.A.; Zhang, Z.L.; Li, M.; Zhang, L.Y.; Li, A.S. A coupled hydraulic-mechanical-damage geotechnical model for simulation of fracture propagation in geological media during hydraulic fracturing. J. Pet. Sci. Eng. 2019, 173, 1390–1416. [Google Scholar] [CrossRef]
- Li, Z.C.; Li, L.C.; Li, M.; Zhang, L.Y.; Zhang, Z.L.; Huang, B.; Tang, C.A. A numerical investigation on the effects of rock brittleness on the hydraulic fractures in the shale reservoir. J. Nat. Gas Sci. Eng. 2018, 50, 22–32. [Google Scholar] [CrossRef]
- Ju, Y.; Liu, P.; Chen, J.L.; Yang, Y.M.; Ranjith, P.G. CDEM-based analysis of the 3D initiation and propagation of hydrofracturing cracks in heterogeneous glutenites. J. Nat. Gas Sci. Eng. 2016, 35, 614–623. [Google Scholar] [CrossRef]
- Liu, X.J.; Xiong, J.; Liang, L.X.; You, X.C. Rock mechanical characteristics and fracture propagation mechanism of sandy conglomerate reservoirs in Baikouquan formation of Mahu Sag. Xinjiang Pet. Geol. 2018, 39, 83–91. (In Chinese) [Google Scholar]
- Zhang, L.C.; Lu, S.F.; Xiao, D.S.; Gu, M.W. Characterization of full pore size distribution and its significance to macroscopic physical parameters in tight glutenites. J. Nat. Gas Sci. Eng. 2017, 38, 434–449. [Google Scholar] [CrossRef]
- Wang, W.H.; Sadeghipour, K.; Baran, G. Finite element analysis of the effect of an interphase on toughening of a particle-reinforced polymer composite. Compos. Part A Appl. Sci. Manuf. 2008, 39, 956–964. [Google Scholar] [CrossRef]
- Liu, H.Y.; Lindqvist, P.A.; Akesson, U.; Kou, S.Q.; Lindqvist, J.E. Characterization of rock aggregate breakage properties using realistic texture-based modelling. Int. J. Numer. Anal. Meth. Geomech. 2012, 36, 1280–1302. [Google Scholar] [CrossRef]
- Grassl, P.; Jirásek, M. Meso-scale approach to modelling the fracture process zone of concrete subjected to uniaxial tension. Int. J. Solids Struct. 2010, 47, 957–968. [Google Scholar] [CrossRef]
- Wang, Z.B.; Zuo, J.P.; Liu, C.; Zhang, Z.C.; Han, Y.D. Stress–srain properties and gas permeability evolution of hybrid fiber engineered cementitious composites in the process of compression. Materials 2019, 12, 1382. [Google Scholar] [CrossRef]
- Ju, Y.; Wang, Y.L.; Dong, H.Y.; Yang, Y.M. Numerical analysis of the hydrofracturing behaviour of heterogeneous glutenite considering hydro-mechanical coupling effects based on bonded particle models. Int. J. Num. Anal. Meth. Geomech. 2018, 42, 1493–1515. [Google Scholar] [CrossRef]
- Ju, Y.; Chen, J.L.; Wang, Y.L.; Gao, F.; Xie, H.P. Numerical analysis of hydrofracturing behaviors and mechanisms of heterogeneous reservoir glutenite, using the continuum-based discrete element method while considering hydromechanical coupling and leak-Off effects. J. Geophys. Res. Solid Earth 2018, 123, 3621–3644. [Google Scholar] [CrossRef]
- Chang, X.; Shan, Y.F.; Zhang, Z.H.; Tang, C.A.; Ru, Z.L. Behavior of propagating fracture at bedding interface in layered rocks. Eng. Geol. 2015, 197, 33–41. [Google Scholar] [CrossRef]
- Chang, X.; Wang, J.H.; Tang, C.A.; Ru, Z.L. Effects of interface behavior on fracture spacing in layered rock. Rock Mech. Rock Eng. 2016, 49, 1733–1746. [Google Scholar] [CrossRef]
- Zuo, J.P.; Wang, Z.F.; Zhou, H.W.; Pei, J.L.; Liu, J.F. Failure behavior of a rock-coal-rock combined body with a weak coal interlayer. Int. J. Min. Sci. Technol. 2013, 23, 907–912. [Google Scholar] [CrossRef]
- Liu, L.Y.; Li, L.C.; Elsworth, D.; Zhi, S.; Yu, Y.J. The impact of oriented perforations on fracture propagation and complexity in hydraulic fracturing. Processes 2018, 6, 213. [Google Scholar] [CrossRef]
- Rui, Z.H.; Guo, T.K.; Feng, Q.; Qu, Z.Q.; Qi, N.; Gong, F.C. Influence of gravel on the propagation pattern of hydraulic fracture in the glutenite reservoir. J. Pet. Sci. Eng. 2018, 165, 627–639. [Google Scholar] [CrossRef]
© 2019 by the authors. Licensee MDPI, Basel, Switzerland. This article is an open access article distributed under the terms and conditions of the Creative Commons Attribution (CC BY) license (http://creativecommons.org/licenses/by/4.0/).