Experimental Testing of Hydrophobic Microchannels, with and without Nanofluids, for Solar PV/T Collectors
Abstract
1. Introduction
2. Methods
2.1. Superhydrophobic Surface Device Design
2.2. Microchannel and Nanofluid Fabrication
- (i)
- The precipitation of seeds at room temperature from adding aqueous AgNO3 (5 mL, 0.5 mM) was added with a syringe pump at a rate of 2 mL/min to a mixture of vigorously stirred trisodium citrate (5 mL, 2.5 mM), aqueous poly-(sodium 4-styrenesulfonate) (0.25 mL, 500 mg/mL), and sodium borohydride (0.3 mL, 10 mM). The formation of silver seeds was indicated by a colour change, from clear to yellow.
- (ii)
- The seeds were then converted to triangular nanoplates by adding 0.9 mL of this seed suspension to a mixture of DI water (45 mL) and ascorbic acid (0.675 mL, 10 mM), while stirring. The seeds were grown into triangles by further addition of AgNO3 (27 mL, 0.5 mM) from a syringe pump, at an even slower rate of 1 mL/minute. Growth of the desired triangles was indicated by a colour change from yellow, through orange, red, and purple to blue. A stabilizing agent, aqueous trisodium citrate (5 mL, 25 mM), was added after the colour change.
- (iii)
- The resulting solution was then rinsed by putting it in a centrifuge for 3 h at 10,000 rpm, and then redispersed into deionized water. This step of the process removes excess reagents and rounds the triangular particles into silver nanodiscs (which have a superior selective transmission for this application). The resulting nanodiscs had a particle diameter of 20–50 nm, as was indicated in Transmission Electron Microscopy (TEM) measurements (as shown in Figure 3c) [29].
- (iv)
- The final step of the process was to apply a protective silica shell to the disc using the Stöber method for silica precipitation. To do this, 100 mL of ethanol was added to the solution from step (iii). Next, a tetraethyl orthosilicate (TEOS) solution (625 μL, 0.1 M, dispersed in ethanol) and dimethylamine (60 μL) were added and left to slowly precipitate shells on the particles overnight, with constant stirring. The concentration/volume of the silica source, TEOS, was chosen carefully to achieve maximum coverage of the silver nanodiscs with minimal self-precipitation of silica particles (although a small amount of both mechanisms is unavoidable). The silica shell serves to help maintain the silver core’s disc geometry (i.e., silver nanoparticles can melt at low temperature and would eventually become spheres to reduce surface energy [30]). Functional groups on the shell’s surface also keep the nanoparticles suspended and free of agglomeration. The final core–shell nanoparticles were roughly spherical with a diameter of ~100 nm.
- (v)
- A second step of centrifugation and redispersion, similar to (iii), was done to remove excess reagents.
- (vi)
- Since the nanofluid was originally designed for larger scale solar collectors (with several centimetres of optical path length for absorption), the final concentration of the nanofluid was 0.026 wt. % [29]. In the proposed microscale collectors, with a 130 µm nominal height, the nanofluid required further concentration. Thus, a final centrifugation process was done to concentrate the fluid by a factor of 10.
2.2.1. Characterisation of the Microchannels
2.2.2. Characterisation of the Nanofluids
2.2.3. Optical Characterisation
2.3. Experimental Setup
2.3.1. Pressure Drop Experiments
2.3.2. Thermal Performance Experiments
3. Results and Discussion
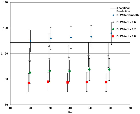
3.1. Pressure Drop Test Results
3.2. Thermal Performance Results
3.3. Towards Superhydrophobic Microchannel-based PV/T Collectors
4. Conclusions
Supplementary Materials
Author Contributions
Funding
Acknowledgments
Conflicts of Interest
References
- Chemisana, D.; Fernandez, E.; Riverola, A.; Moreno, A. Fluid-based spectrally selective filters for direct immersed PVT solar systems in building applications. Renew. Energy 2018, 123, 263–272. [Google Scholar] [CrossRef]
- Pak, B.C.; Cho, Y.I. Hydrodynamic and heat transfer study of dispersed fluids with submicron metallic oxide particles. Exp. Heat Transf. Int. J. 1998, 11, 151–170. [Google Scholar] [CrossRef]
- Ding, Y.; Alias, H.; Wen, D.; Williams, R.A. Heat transfer of aqueous suspensions of carbon nanotubes (CNT nanofluids). Int. J. Heat Mass Transf. 2006, 49, 240–250. [Google Scholar] [CrossRef]
- Rea, U.; McKrell, T.; Hu, L.W.; Buongiorno, J. Laminar convective heat transfer and viscous pressure loss of alumina water and zirconia water nanofluids. Int. J. Heat Mass Transf. 2009, 52, 2042–2048. [Google Scholar] [CrossRef]
- Taylor, R.A.; Otanicar, T.P.; Herukerrupu, Y.; Bremond, F.; Rosengarten, G.; Hawkes, E.R.; Jiang, X.; Coulombe, S. Feasibility of nanofluid-based optical filters. Appl. Opt. 2013, 52, 1413–1422. [Google Scholar] [CrossRef] [PubMed]
- Taylor, R.A.; Hewakuruppu, Y.; DeJarnette, D.; Otanicar, T.P. Comparison of selective transmitters for solar thermal applications. Appl. Opt. 2016, 55, 3829–3839. [Google Scholar] [CrossRef] [PubMed]
- Hjerrild, N.E.; Taylor, R.A. Boosting solar energy conversion with nanofluids. Phys. Today 2017, 70, 40–45. [Google Scholar] [CrossRef]
- Corcione, M. Empirical correlating equations for predicting the effective thermal conductivity and dynamic viscosity of nanofluids. Energy Convers. Manag. 2011, 52, 789–793. [Google Scholar] [CrossRef]
- Prasher, R.; Song, D.; Wang, J.; Phelan, P. Measurements of nanofluid viscosity and its implications for thermal applications. Appl. Phys. Lett. 2006, 89, 133108. [Google Scholar] [CrossRef]
- Wu, H.; Cheng, P. An experimental study of convective heat transfer in silicon microchannels with different surface conditions. Int. J. Heat Mass Transf. 2003, 46, 2547–2556. [Google Scholar] [CrossRef]
- Ahlatli, S.; Mare, T.; Estelle, P.; Doner, N. Thermal performance of carbon nanotube nanofluids in solar microchannel collectors: An experimental study. Int. J. Technol. 2016, 7, 219–226. [Google Scholar] [CrossRef]
- Kandlikar, S.G.; Grande, W.J. Evaluation of single phase flow in microchannels for high heat flux chip cooling—Thermohydraulic performance enhancement and fabrication technology. Heat Transf. Eng. 2004, 25, 5–16. [Google Scholar] [CrossRef]
- Qu, W.; Mala, G.M.; Li, D. Heat transfer for water flow in trapezoidal silicon microchannels. Int. J. Heat Mass Transf. 2000, 43, 3925–3936. [Google Scholar] [CrossRef]
- Weilin, Q.; Mala, G.M.; Dongqing, L. Pressure-driven water flows in trapezoidal silicon microchannels. Int. J. Heat Mass Transf. 2000, 43, 353–364. [Google Scholar] [CrossRef]
- Ou, J.; Perot, B.; Rothstein, J.P. Laminar drag reduction in microchannels using ultrahydrophobic surfaces. Phys. Fluids 2004, 16, 4635–4643. [Google Scholar] [CrossRef]
- Kim, J.H.; Rothstein, J.P. Role of interface shape on the laminar flow through an array of superhydrophobic pillars. Microfluid. Nanofluid. 2017, 21, 78. [Google Scholar] [CrossRef]
- Cassie, A.; Baxter, S. Wettability of porous surfaces. Trans. Faraday Soc. 1944, 40, 546–551. [Google Scholar] [CrossRef]
- Davies, J.; Maynes, D.; Webb, B.; Woolford, B. Laminar flow in a microchannel with superhydrophobic walls exhibiting transverse ribs. Phys. Fluids 2006, 18, 087110. [Google Scholar] [CrossRef]
- Maynes, D.; Webb, B.; Davies, J. Thermal transport in a microchannel exhibiting ultrahydrophobic microribs maintained at constant temperature. J. Heat Transf. 2008, 130, 022402. [Google Scholar] [CrossRef]
- Woolford, B.; Maynes, D.; Webb, B. Liquid flow through microchannels with grooved walls under wetting and superhydrophobic conditions. Microfluid. Nanofluid. 2009, 7, 121–135. [Google Scholar] [CrossRef]
- Maynes, D.; Webb, B.; Crockett, J.; Solovjov, V. Analysis of laminar slip-flow thermal transport in microchannels with transverse rib and cavity structured superhydrophobic walls at constant heat flux. J. Heat Transf. 2013, 135, 021701. [Google Scholar] [CrossRef]
- Enright, R.; Eason, C.; Dalton, T.; Hodes, M.; Salamon, T.; Kolodner, P.; Krupenkin, T. Friction factors and Nusselt numbers in microchannels with superhydrophobic walls. In Proceedings of the ASME 4th International Conference on Nanochannels, Microchannels, and Minichannels, Limerick, Ireland, 19–21 June 2006; pp. 599–609. [Google Scholar]
- Cheng, Y.; Xu, J.; Sui, Y. Numerical study on drag reduction and heat transfer enhancement in microchannels with superhydrophobic surfaces for electronic cooling. Appl. Therm. Eng. 2015, 88, 71–81. [Google Scholar] [CrossRef]
- Rosengarten, G.; Stanley, C.; Kwok, F. Superinsulating heat transfer surfaces for microfluidic channels. Int. J. Transp. Phenom. 2008, 10, 293–306. [Google Scholar]
- Green, M.A. The passivated emitter and rear cell (PERC): From conception to mass production. Sol. Energy Mater. Sol. Cells 2015, 143, 190–197. [Google Scholar] [CrossRef]
- Wenzel, R.N. Resistance of solid surfaces to wetting by water. Ind. Eng. Chem. 1936, 28, 988–994. [Google Scholar] [CrossRef]
- Chung, C.Y.; Warkiani, M.E.; Mesgari, S.; Rosengarten, G.; Taylor, R. Thermoset polyester-based superhydrophobic microchannels for nanofluid heat transfer applications. In Proceedings of the Micro Nano Materials, Devices, and Systems, Melbourne, Australia, 9–11 December 2013. [Google Scholar]
- Taylor, R.A.; Hjerrild, N.; Duhaini, N.; Pickford, M.; Mesgari, S. Stability testing of silver nanodisc suspensions for solar applications. Appl. Surf. Sci. 2018, 455, 465–475. [Google Scholar] [CrossRef]
- Hjerrild, N.E.; Mesgari, S.; Crisostomo, F.; Scott, J.A.; Amal, R.; Taylor, R.A. Hybrid PV/T enhancement using selectively absorbing Ag–SiO2/carbon nanofluids. Sol. Energy Mater. Sol. Cells 2016, 147, 281–287. [Google Scholar] [CrossRef]
- Lee, S.; Phelan, P.E.; Taylor, R.A.; Prasher, R.; Dai, L. Low-temperature melting of silver nanoparticles in subcooled and saturated water. J. Heat Transf. 2016, 138, 052301. [Google Scholar] [CrossRef]
- Yu, F.; Chen, Y.; Liang, X.; Xu, J.; Lee, C.; Liang, Q.; Tao, P.; Deng, T. Dispersion stability of thermal nanofluids. Prog. Nat. Sci. Mater. Int. 2017, 27, 531–542. [Google Scholar] [CrossRef]
- Angayarkanni, S.A.; Philip, J. Review on thermal properties of nanofluids: Recent developments. Adv. Colloid Interface Sci. 2015, 225, 146–176. [Google Scholar] [CrossRef] [PubMed]
- Bashirnezhad, K.; Bazri, S.; Safaei, M.R.; Goodarzi, M.; Dahari, M.; Mahian, O.; Dalkılıça, A.S.; Wongwises, S. Viscosity of nanofluids: A review of recent experimental studies. Int. Commun. Heat Mass Transf. 2016, 73, 114–123. [Google Scholar] [CrossRef]
- Riazi, H.; Murphy, T.; Webber, G.B.; Atkin, R.; Tehrani, S.S.M.; Taylor, R.A. Specific heat control of nanofluids: A critical review. Int. J. Therm. Sci. 2016, 107, 25–38. [Google Scholar] [CrossRef]
- Reference Air Mass 1.5 Spectra. Available online: https://www.nrel.gov/grid/solar-resource/spectra-am1.5.html (accessed on 27 July 2019).
- Motamedi, M.; Crisostomo, F.; Yao, Y.; Mofarah, S.S.; Chen, W.-F.; Koshy, P.; Taylor, R.A. Single-layer, anti-reflective thin films of porous MgF 2 for solar thermal applications. J. Phys. D Appl. Phys. 2019, 52, 315501. [Google Scholar] [CrossRef]
- Tan, J.; Xie, Y.; Wang, F.; Jing, L.; Ma, L. Investigation of optical properties and radiative transfer of TiO2 nanofluids with the consideration of scattering effects. Int. J. Heat Mass Transf. 2017, 115, 1103–1112. [Google Scholar] [CrossRef]
- Mandal, P.; Sharma, S. Progress in plasmonic solar cell efficiency improvement: A status review. Renew. Sustain. Energy Rev. 2016, 65, 537–552. [Google Scholar] [CrossRef]
- Wiley, B.J.; Im, S.H.; Li, Z.Y.; McLellan, J.; Siekkinen, A.; Xia, Y. Maneuvering the surface plasmon resonance of silver nanostructures through shape-controlled synthesis. J. Phys. Chem. B 2006, 110, 15666–15675. [Google Scholar] [CrossRef] [PubMed]
- Green, M.A.; Hishikawa, Y.; Dunlop, E.D.; Levi, D.H.; Hohl-Ebinger, J.; Ho-Baillie, A.W. Solar cell efficiency tables (version 51). Res. Appl. 2018, 26, 3–12. [Google Scholar] [CrossRef]
- ISO 9806: 2013 (Solar Energy—Solar thermal Collectors—Test Methods). Available online: https://www.iso.org/standard/59879.html (accessed on 8 June 2019).
- Abernethy, R.B.; Benedict, R.P.; Dowdell, R.B. ASME Measurement Uncertainty. J. Fluids Eng. 1985, 107, 161–164. [Google Scholar] [CrossRef]
- Liu, D.; Garimella, S.V. Investigation of liquid flow in microchannels. J. Thermophys. Heat Transf. 2004, 18, 65–72. [Google Scholar] [CrossRef]
- Yamada, T.; Hong, C.; Gregory, O.J.; Faghri, M. Experimental investigations of liquid flow in rib-patterned microchannels with different surface wettability. Microfluid. Nanofluid. 2011, 11, 45–55. [Google Scholar] [CrossRef]
- Kurnik, J.; Jankovec, M.; Brecl, K.; Topic, M. Outdoor testing of PV module temperature and performance under different mounting and operational conditions. Sol. Energy Mater. Sol. Cells 2011, 95, 373–376. [Google Scholar] [CrossRef]
- Hassani, S.; Saidur, R.; Mekhilef, S.; Taylor, R.A. Environmental and exergy benefit of nanofluid-based hybrid PV/T systems. Energy Convers. Manag. 2016, 123, 431–444. [Google Scholar] [CrossRef]
- Cheng, Y.; Teo, C.; Khoo, B. Microchannel flows with superhydrophobic surfaces: Effects of Reynolds number and pattern width to channel height ratio. Phys. Fluids 2009, 21, 122004. [Google Scholar] [CrossRef]
- Hjerrild, N.E.; Crisostomo, F.; Chin, R.L.; Scott, J.A.; Amal, R.; Taylor, R.A. Experimental Results for Tailored Spectrum Splitting Metallic Nanofluids for c-Si, GaAs, and Ge Solar Cells. IEEE J. Photovolt. 2019, 9, 385–390. [Google Scholar] [CrossRef]








| Fluid Type | ||||||||
|---|---|---|---|---|---|---|---|---|
| DI Water | Concentrated Nanofluid | |||||||
| Channel Configuration | Smooth | L-0.6 | L-0.7 | L-0.8 | Smooth | L-0.6 | L-0.7 | L-0.8 |
| Uncoated | 12.05 * | 37.92 | 38.37 | 40.45 | ||||
| Coated | 112.69 | 134.77 | 135.78 | 134.00 | 104.88 | 126.16 | 125.71 | 143.33 |
© 2019 by the authors. Licensee MDPI, Basel, Switzerland. This article is an open access article distributed under the terms and conditions of the Creative Commons Attribution (CC BY) license (http://creativecommons.org/licenses/by/4.0/).
Share and Cite
Motamedi, M.; Chung, C.-Y.; Rafeie, M.; Hjerrild, N.; Jiang, F.; Qu, H.; A. Taylor, R. Experimental Testing of Hydrophobic Microchannels, with and without Nanofluids, for Solar PV/T Collectors. Energies 2019, 12, 3036. https://doi.org/10.3390/en12153036
Motamedi M, Chung C-Y, Rafeie M, Hjerrild N, Jiang F, Qu H, A. Taylor R. Experimental Testing of Hydrophobic Microchannels, with and without Nanofluids, for Solar PV/T Collectors. Energies. 2019; 12(15):3036. https://doi.org/10.3390/en12153036
Chicago/Turabian StyleMotamedi, Mahdi, Chia-Yang Chung, Mehdi Rafeie, Natasha Hjerrild, Fan Jiang, Haoran Qu, and Robert A. Taylor. 2019. "Experimental Testing of Hydrophobic Microchannels, with and without Nanofluids, for Solar PV/T Collectors" Energies 12, no. 15: 3036. https://doi.org/10.3390/en12153036
APA StyleMotamedi, M., Chung, C.-Y., Rafeie, M., Hjerrild, N., Jiang, F., Qu, H., & A. Taylor, R. (2019). Experimental Testing of Hydrophobic Microchannels, with and without Nanofluids, for Solar PV/T Collectors. Energies, 12(15), 3036. https://doi.org/10.3390/en12153036

