Preliminary Design of Multistage Radial Turbines Based on Rotor Loss Characteristics under Variable Operating Conditions
Abstract
1. Introduction
2. Preliminary Design Method Based on the Loading-to-Flow Diagram
3. Analysis of Rotor Loss Characteristics
3.1. Pressure Ratio Change
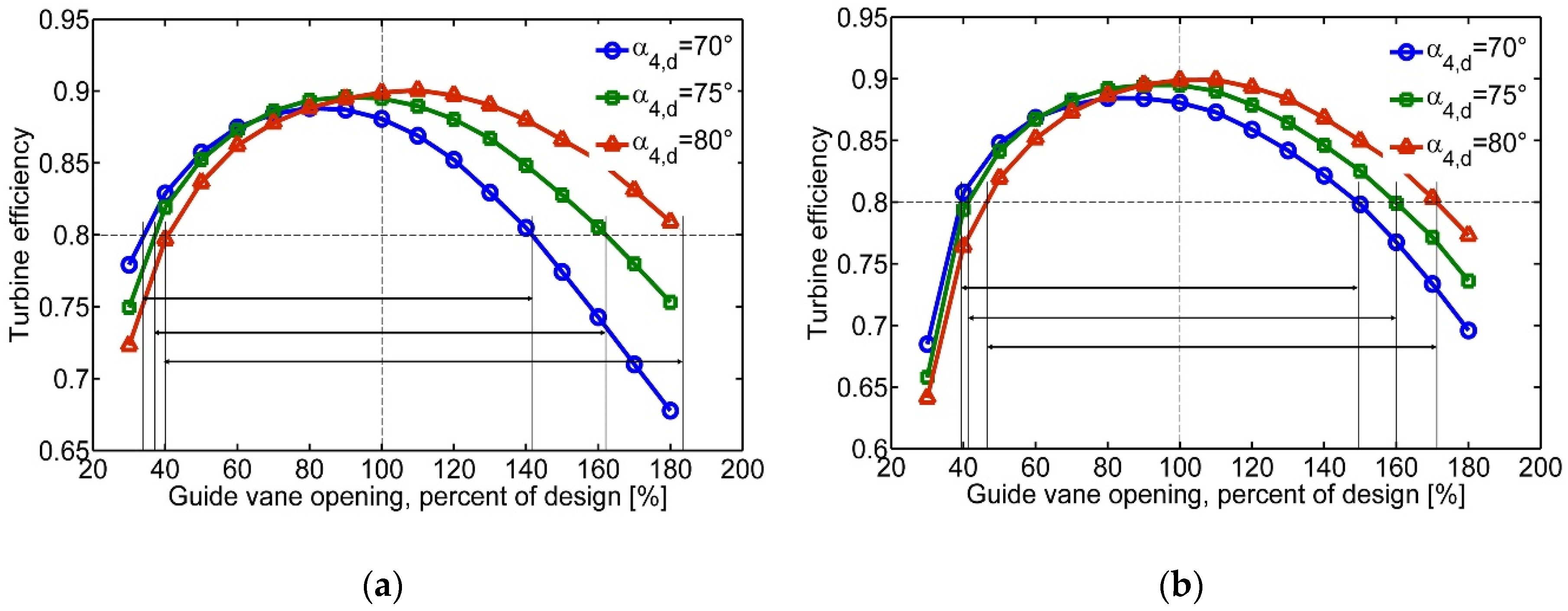
3.2. Guide Vane Opening Change
4. Optimal Design of the Guide Vane Outlet Flow Angle for Multistage Radial Turbines
- The variable operating condition of the LP turbine belongs to the expansion ratio change, and the flow coefficient varies notably within a range smaller than the design value. According to the findings on the relationship of off-design performance versus for radial turbines under pressure ratio change (Section 3.1), a larger should be used for the LP turbine to achieve better off-design performance. A value of approximately 80° is recommended.
- The variable operating condition of the MP turbine also belongs to the expansion ratio change, but the flow coefficient varies within a small range that is less than the design value. Therefore, turbine efficiency under design conditions dominates the performance of the MP turbine under variable operating conditions. As a result, a larger should be used for the MP turbine (i.e., about 80°).
- The variable operating condition of the HP turbine is a complicated case where the pressure ratio changes inversely with the guide vane opening and maintains a nearly constant flow coefficient. According to the findings on the relationship of off-design performance versus for radial turbines under guide vane opening change (Section 3.2), the optimum mainly depends on the direction of the guide vane opening changes relative to the design point. For a multistage radial turbine in a CAES system with constant air storage pressure, the inlet pressure of the HP turbine stage remains at the rated value, so only the down-regulation of the guide vane opening is performed. Accordingly, a smaller should be used for the HP turbine stage to achieve better off-design performance. Further considering the influence of design efficiency on off-design performance, the recommended design values are in the range of 70–75°. For a multistage radial turbine in a CAES system with varying air storage pressure, the inlet pressure of the HP turbine stage varies with air storage pressure, so there is a simultaneous need for up- and down-regulation of the guide vane opening. In this case, it is necessary to comprehensively consider the influence of the rotor loss characteristics and design efficiency on the off-design performance in determining .
5. Case Study and Discussion
6. Conclusions
Author Contributions
Funding
Conflicts of Interest
References
- He, W.; Wang, J.; Ding, Y. New radial turbine dynamic modelling in a low-temperature adiabatic compressed air energy storage system discharging process. Energy Convers. Manag. 2017, 153, 144–156. [Google Scholar] [CrossRef]
- Tong, S.; Cheng, Z.; Cong, F.; Tong, Z.; Zhang, Y. Developing a grid-connected power optimization strategy for the integration of wind power with low-temperature adiabatic compressed air energy storage. Renew. Energy 2018, 125, 73–86. [Google Scholar] [CrossRef]
- Venkataramani, G.; Parankusam, P.; Ramalingam, V.; Wang, J. A review on compressed air energy storage—A pathway for smart grid and polygeneration. Renew. Sustain. Energy Rev. 2016, 62, 895–907. [Google Scholar] [CrossRef]
- Argyrou, M.C.; Christodoulides, P.; Kalogirou, S.A. Energy storage for electricity generation and related processes: Technologies appraisal and grid scale applications. Renew. Sustain. Energy Rev. 2018, 94, 804–821. [Google Scholar] [CrossRef]
- Li, H.; Li, W.; Liu, D.; Zhang, X.; Zhu, Y.; Chen, H. Effect of adjustable guide vanes on the characteristic of multistage reheating radial inflow turbine. Proc. CSEE 2016, 36, 6180–6186. [Google Scholar]
- Liu, D.; Li, W.; Li, H.; Zhang, X.; Zhu, Y.; Chen, H. Characteristic analysis of combined regulation of adjustable guide vanes of multistage radial inflow turbines. Energy Storage Sci. Technol. 2017, 6, 1286–1294. [Google Scholar]
- Cheng, Z.; Tong, S.; Tong, Z. Bi-directional nozzle control of multistage radial-inflow turbine for optimal part-load operation of compressed air energy storage. Energy Convers. Manag. 2019, 181, 485–500. [Google Scholar] [CrossRef]
- Li, P.; Han, Z.; Jia, X.; Mei, Z.; Han, X. Analysis of the effects of blade installation angle and blade number on radial-inflow turbine stator flow performance. Energies 2018, 11, 2258. [Google Scholar] [CrossRef]
- Capata, R.; Hernandez, G. Preliminary design and simulation of a turbo expander for small rated power Organic Rankine Cycle (ORC). Energies 2014, 7, 7067–7093. [Google Scholar] [CrossRef]
- Tong, Z.; Li, Y.; Westerdahl, D.; Adamkiewicz, G.; Spengler, J.D. Exploring the effects of ventilation practices in mitigating in-vehicle exposure to traffic-related air pollutants in China. Environ. Int. 2019, 127, 773–784. [Google Scholar] [CrossRef]
- Tong, Z.; Chen, Y.; Malkawi, A. Defining the Influence Region in neighborhood-scale CFD simulations for natural ventilation design. Appl. Energy 2016, 182, 625–633. [Google Scholar] [CrossRef]
- Daabo, A.M.; Al Jubori, A.; Mahmoud, S.; Al-Dadah, R.K. Development of three-dimensional optimization of a small-scale radial turbine for solar powered Brayton cycle application. Appl. Therm. Eng. 2017, 111, 718–733. [Google Scholar] [CrossRef]
- Fiaschi, D.; Innocenti, G.; Manfrida, G.; Maraschiello, F. Design of micro radial turboexpanders for ORC power cycles: From 0D to 3D. Appl. Therm. Eng. 2016, 99, 402–410. [Google Scholar] [CrossRef]
- Rahbar, K.; Mahmoud, S.; Al-Dadah, R.K. Mean-line modeling and CFD analysis of a miniature radial turbine for distributed power generation systems. Int. J. Low Carbon Technol. 2016, 11, 157–168. [Google Scholar] [CrossRef][Green Version]
- Chen, H.; Baines, N.C. Analytical Optimization Design of Radial and Mixed Flow Turbines. Proc. Inst. Mech. Eng. Part A J. Power Energy 1992. [Google Scholar] [CrossRef]
- Chen, H.; Baines, N.C. The aerodynamic loading of radial and mixed-flow turbines. Int. J. Mech. Sci. 1994, 36, 63–79. [Google Scholar] [CrossRef]
- Ventura, C.A.M.; Jacobs, P.A.; Rowlands, A.S.; Petrie-Repar, P.; Sauret, E. Preliminary design and performance estimation of radial inflow turbines: An automated approach. J. Fluid Eng. Trans. ASME 2012, 134, 31102. [Google Scholar] [CrossRef]
- Shao, S.; Deng, Q.H.; Feng, Z.P. An automated approach for the radial inflow turbine preliminary design and off-design prediction. J. Eng. Thermophys. 2016, 37, 67–71. [Google Scholar]
- Da Silva, E.R.; Kyprianidis, K.G.; Säterskog, M.; Camacho, R.G.R.; Sarmiento, A.L.E. Preliminary design optimization of an organic Rankine cycle radial turbine rotor. In Proceedings of the ASME Turbo Expo, Charlotte, NC, USA, 26–30 June 2017. [Google Scholar] [CrossRef]
- Lauriau, P.T.; Binder, N.; Carbonneau, X.; Cros, S.; Roumeas, M. Preliminary design considerations for variable geometry radial turbines with multi-points specifications. In Proceedings of the 12th European Conference on Turbomachinery Fluid Dynamics and Thermodynamics (ETC 2017), Stockholm, Sweden, 3–7 April 2017. [Google Scholar]
- Woolley, N.H.; Hatton, A.P. Viscous Flow in Radial Turbomachine Blade Passages. In Proceedings of the Conference on Heat and Fluid Flow in Steam and Gas Turbine Plant, London, UK, 3–5 April 1974; pp. 175–181. [Google Scholar]
- Spence, S.W.T.; Artt, D.W. An experimental assessment of incidence losses in a radial inflow turbine rotor. Proc. Inst. Mech. Eng. Part A J. Power Eng. 1998. [Google Scholar] [CrossRef]
- Moustapha, H.; Zelesky, M.F.; Japiske, D.; Baines, N.C. Axial and Radial Turbines; Concepts NREC: White River Junction, VT, USA, 2003. [Google Scholar]
- Suhrmann, J.F.; Peitsch, D.; Gugau, M.; Heuer, T.; Tomm, U. Validation and development of loss models for small size radial turbines. In Proceedings of the ASME Turbo Expo, Glasgow, UK, 14–18 June 2010. [Google Scholar] [CrossRef]
- Qiu, X.; Baines, N. Performance prediction for high pressure-ratio radial inflow turbines. In Proceedings of the ASME Turbo Expo, Montreal, QC, Canada, 14–17 May 2007. [Google Scholar] [CrossRef]
- Spence, S.W.T.; Artt, D.W. Experimental performance evaluation of a 99.0 mm radial inflow nozzled turbine with different stator throat areas. Proc. Inst. Mech. Eng. Part A J. Power Eng. 1997. [Google Scholar] [CrossRef]
- Spence, S.W.T.; Doran, W.J.; Artt, D.W. Experimental performance evaluation of a 99.0 mm radial inflow nozzled turbine at larger stator-rotor throat area ratios. Proc. Inst. Mech. Eng. Part A J. Power Eng. 1999. [Google Scholar] [CrossRef]
- Zhang, N.; Cai, R. Analytical solutions and typical characteristics of part-load performances of single shaft gas turbine and its cogeneration. Energy Convers. Manag. 2002, 43, 1323–1337. [Google Scholar] [CrossRef]
- Meitner, P.L.; Glassman, A.J. Off-Design Performance Loss Model for Radial Turbines with Pivoting, Variable-Area Stators; NASA TP-1708; NASA: Washington, DC, USA, 1980.
- Otsuka, K.; Komatsu, T.; Tsujita, H.; Yamaguchi, S.; Yamagata, A. Numerical analysis of flow in radial turbine (Effects of nozzle vane angle on internal flow). Int. J. Fluid Mach. Syst. 2016, 9, 137–142. [Google Scholar] [CrossRef]
- Wang, S.; Zhang, X.; Yang, L.; Zhou, Y.; Wang, J. Experimental study of compressed air energy storage system with thermal energy storage. Energy 2016, 103, 182–191. [Google Scholar] [CrossRef]
- Dixon, S.; Hall, C. Fluid Mechanics and Thermodynamics of Turbomachinery; Elsevier Ltd.: Amsterdam, The Netherlands, 2010. [Google Scholar]
- Glassman, A.J.; Center, L.R. Computer Program for Design Analysis of Radial-Inflow Turbines; NASA TN D-9164; NASA: Washington, DC, USA, 1976.











| Turbine Stage | Input Pressure, MPa | Outlet Pressure, MPa |
|---|---|---|
| High-Pressure Turbine (HP) | 2.50 | 1.13 |
| Medium-Pressure Turbine (MP) | 1.12 | 0.40 |
| Low-Pressure Turbine (LP) | 0.39 | 0.10 |
| Loss | Reference | Model |
|---|---|---|
| Stator Loss | [33] | |
| Incidence Loss | [29] | |
| Rotor Loss | [29] | |
| Exit Loss | [24] |
| Parameter | Value |
|---|---|
| Inlet Temperature, K | 430 |
| Inlet Total Pressure, MPa | 10.00 |
| Outlet Pressure, MPa | 3.33 |
| Mass Flow Rate, kg/s | 24.80 |
| Parameter | Case A | Case B | Case C |
|---|---|---|---|
| Guide Vane Outlet Flow Angle, degree | 70 | 75 | 80 |
| Loading Coefficient | 0.78 | 0.82 | 0.88 |
| Flow Coefficient | 0.28 | 0.23 | 0.16 |
| Rotor | |||
| Rotational Speed, r/min | 50112 | 39620 | 32329 |
| Inlet Radius, mm | 73.5 | 90.8 | 107.0 |
| Inlet Tip Width, mm | 8.6 | 9.3 | 11.7 |
| Inlet Relative Flow Angle, degree | −38.5 | −40.6 | −38.2 |
| Blade Number | 11 | 15 | 18 |
| Outlet Tip Radius, mm | 21.1 | 24.1 | 29.0 |
| Outlet Hub Radius, mm | 52.1 | 59.6 | 72.0 |
| Outlet Blade Angle, degree | −62.3 | −66.4 | −73.2 |
| Stator | |||
| Inlet Radius, mm | 99.0 | 119.4 | 138.8 |
| Throat Width, mm | 11.7 | 8.4 | 5.2 |
| Vane height, mm | 8.6 | 9.3 | 11.7 |
| Outlet Radius, mm | 79.2 | 95.5 | 111.0 |
| Blade Number | 14 | 18 | 23 |
| Performance | |||
| Total-to-Static Efficiency | 0.881 | 0.895 | 0.899 |
© 2019 by the authors. Licensee MDPI, Basel, Switzerland. This article is an open access article distributed under the terms and conditions of the Creative Commons Attribution (CC BY) license (http://creativecommons.org/licenses/by/4.0/).
Share and Cite
Tong, Z.; Cheng, Z.; Tong, S. Preliminary Design of Multistage Radial Turbines Based on Rotor Loss Characteristics under Variable Operating Conditions. Energies 2019, 12, 2550. https://doi.org/10.3390/en12132550
Tong Z, Cheng Z, Tong S. Preliminary Design of Multistage Radial Turbines Based on Rotor Loss Characteristics under Variable Operating Conditions. Energies. 2019; 12(13):2550. https://doi.org/10.3390/en12132550
Chicago/Turabian StyleTong, Zheming, Zhewu Cheng, and Shuiguang Tong. 2019. "Preliminary Design of Multistage Radial Turbines Based on Rotor Loss Characteristics under Variable Operating Conditions" Energies 12, no. 13: 2550. https://doi.org/10.3390/en12132550
APA StyleTong, Z., Cheng, Z., & Tong, S. (2019). Preliminary Design of Multistage Radial Turbines Based on Rotor Loss Characteristics under Variable Operating Conditions. Energies, 12(13), 2550. https://doi.org/10.3390/en12132550
