Study on the Characteristics of a High Capacity Nickel Manganese Cobalt Oxide (NMC) Lithium-Ion Battery—An Experimental Investigation
Abstract
1. Introduction
2. Experimental Method
2.1. Lithium-Ion Battery
2.1.1. Lithium-Ion Battery Specifications
2.1.2. Lithium-Ion Battery Performance Index
- Battery capacity: The amount of electricity that the battery can release under certain discharge conditions is called the capacity of the battery, indicated by the symbol ; the unit is Ah or mAh. The battery capacity is reflected in the mileage of an electric vehicle.
- Theoretical capacity: The amount of electricity that can be supplied under the assumption that all the active substances of the battery participate in the reaction of the battery. It can be calculated according to Faraday's law. The symbol used is .
- Actual capacity: it refers to the actual discharge of a battery under certain discharge conditions. The mathematical calculation for actual capacity is shown in Equation (1):where is the actual cell capacity in Ampere-hours. and refer to the estimated at the times and , respectively. represents the cell current at the time . is the Coulombic efficiency [43].
- Battery energy: The energy of a battery refers to the power output of a battery in a certain discharge regime, usually expressed in Watt (W) or kilowatt (kW). The energy of the battery reflects the capacity of the battery to perform its work, and it is also a measure of the energy conversion in the current discharge process.
- Theoretical energy: Assuming that the battery is always in a balanced state during the discharge process, the discharge voltage keeps the electromotive force constant, and the utilization ratio of the active substance is 100%, that is, the discharge capacity is equal to the theoretical capacity, and the energy output by the battery is the theoretical capacity under this condition.
- Actual energy: Actual energy is the electrical energy that the battery can output under certain discharge conditions. The actual energy of the battery is the product of its actual capacity and the average voltage of the discharge process.
- Specific energy: Specific energy is the energy output by unit mass or unit volume battery, which is called mass ratio energy or volume ratio energy, mass energy density abbreviated to specific energy, and volume energy density is called energy density for short.
- Specific power: The power of a battery is the power that the battery can output at a unit time under a prescribed discharge condition. The unit is Watt (W) or kilowatt (kW). The output power of the unit mass cell is called the specific power, and the unit power output of the unit volume is the power density. The size of the specific power represents the working current that the battery can bear, and the power and specific power of the battery mainly affect the speed, acceleration and climbing performance of the electric vehicle.
- C rate: C rate refers to the output value of the battery within the specified time, and the output value is equal to the multiple of the rated capacity. C rate represents the magnitude of charge/discharge current.
2.1.3. SOC Definition
- It can accurately reflect the battery real state of charge with different discharge C-rate, temperature, self-discharging and cycle life.
- The SOC correction method should be simple and clear enough to correct the operating process of different kinds of batteries. The complexity of the correction method and the acquisition of correction parameters should be simple; thus the can meet the performance of embedded system in real use.
2.1.4. SOP Definition
2.1.5. Lithium-Ion Battery Equivalent Circuit Model
2.2. Experiment Tests for Battery Characterizations
2.2.1. Test Bench
2.2.2. Static Capacity Test
2.2.3. Pulse Test
3. Results
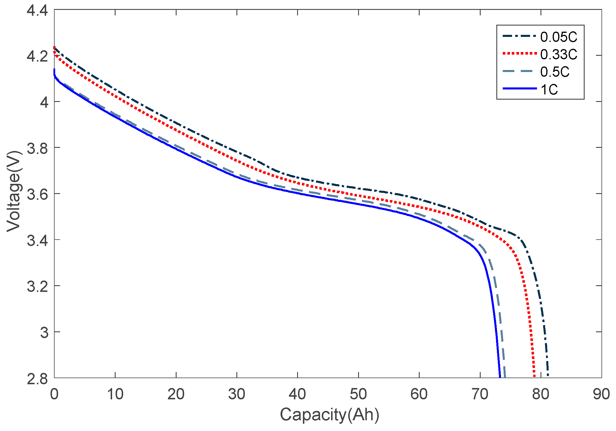
3.1. Battery Capacity
3.2. Battery Internal Resistance
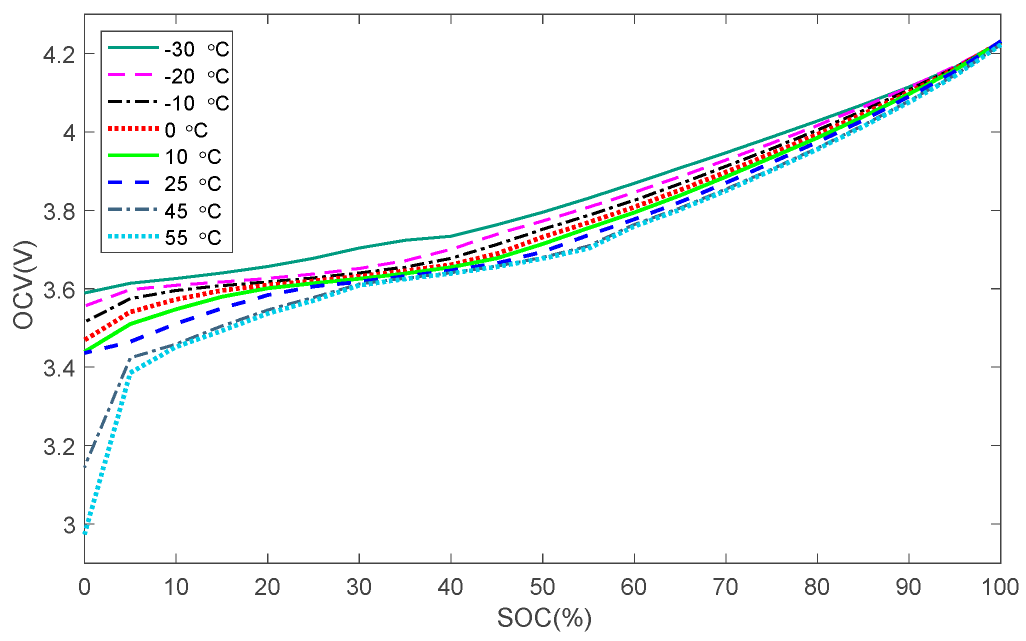
3.3. OCV-SOC Relationship
3.4. Battery Cell Power Limitation
3.5. Battery Cell Temperature Limitation
4. Discussion
5. Conclusions
Author Contributions
Funding
Acknowledgments
Conflicts of Interest
Nomenclature
| Acronyms: | |
| A | Ampere |
| BMS | Battery management system |
| CC | Constant current |
| CCCV | Constant current-constant voltage |
| CKF | Cubature Kalman filter |
| CV | Constant voltage |
| EKF | Extend Kalman filter |
| ECM | Equivalent circuit model |
| EV | Electric vehicle |
| KF | Kalman filter |
| LCO | Lithium cobalt oxide |
| LMO | Lithium manganese oxide |
| LFP | Lithium iron phosphate |
| LTO | Lithium titanium oxide |
| NCA | Nickel cobalt aluminum |
| NMC | Nickel manganese cobalt |
| OCV | Open circuit voltage |
| PF | Particle filter |
| SMO | Sliding mode observer |
| SOC | State of charge |
| SOH | State of health |
| SOP | State of power |
| SPKF | Sigma-point Kalman filter |
| STCEKF | Strong tracking cubature extended Kalman filter |
| UKF | Unscented Kalman filter |
| Symbols: | |
| Battery capacity change factor | |
| Capacity influence factor of the cycle number | |
| Capacity change factor caused by temperature | |
| Coulombic efficiency | |
| Actual cell capacity | |
| Capacity of the battery | |
| Capacitor of the first circuits block of ECM | |
| Capacitor of the second circuits block of ECM | |
| Time step | |
| Load current | |
| Cycle times | |
| Peak power of the battery during discharging | |
| Peak power of the battery during charging | |
| Nominal power of the battery | |
| Remaining capacity of the battery | |
| Nominal capacity | |
| Ohmic resistance | |
| Resistance of the first circuits block of ECM | |
| Resistance of the second circuits block of ECM | |
| , | Resistance of the battery under the state |
| t | Time |
| T | Sampling period |
| Minimum of the battery cell voltage | |
| Maximum of the battery cell voltage | |
| Open circuit voltage of the battery | |
| Open circuit voltage | |
| Terminal voltage | |
| Subscripts: | |
| min | Minimum value |
| max | Maximum value |
References
- Goodenough, J.B.; Kim, Y. Challenges for Rechargeable Li Batteries. Chem. Mater. 2014, 22, 587–603. [Google Scholar] [CrossRef]
- Meng, J.; Luo, G.; Gao, F. Lithium polymer battery state-of-charge estimation based on adaptive unscented kalman filter and support vector machine. IEEE Trans. Power Electron. 2016, 31, 2226–2238. [Google Scholar] [CrossRef]
- Marongiu, A.; Nußbaum, F.; Waag, W.; Garmendia, M.; Sauer, D.U. Comprehensive study of the influence of aging on the hysteresis behavior of a lithium iron phosphate cathode-based lithium ion battery—An experimental investigation of the hysteresis. Appl. Energy 2016, 171, 629–645. [Google Scholar] [CrossRef]
- Ianniciello, L.; Biwolé, P.H.; Achard, P. Electric vehicles batteries thermal management systems employing phase change materials. J. Power Sources 2018, 378, 383–403. [Google Scholar] [CrossRef]
- Hannan, M.A.; Lipu, M.S.H.; Hussain, A.; Mohamed, A. A review of lithium-ion battery state of charge estimation and management system in electric vehicle applications: Challenges and recommendations. Renew. Sustain. Energy Rev. 2017, 78, 834–854. [Google Scholar] [CrossRef]
- Rao, Z.; Wang, Q.; Huang, C. Investigation of the thermal performance of phase change material/mini-channel coupled battery thermal management system. Appl. Energy 2016, 164, 659–669. [Google Scholar] [CrossRef]
- Cheng, K.W.E.; Divakar, B.P.; Wu, H.; Ding, K.; Ho, H.F. Battery-management system (BMS) and SOC development for electrical vehicles. IEEE Trans. Veh. Technol. 2011, 60, 76–88. [Google Scholar] [CrossRef]
- Mauro, A. The Role of the Voltaic Pile in the Galvani-Volta Controversy Concerning Animal vs. Metallic Electricity. J. Hist. Med. Allied Sci. 1969, 24, 140–150. [Google Scholar] [CrossRef] [PubMed]
- Kurzweil, P. Gaston Planté and his invention of the lead–acid battery—The genesis of the first practical rechargeable battery. J. Power Sources 2010, 195, 4424–4434. [Google Scholar] [CrossRef]
- Sun, Z.; Wang, S.; Yan, L.; Xiao, M.; Han, D.; Meng, Y. Mesoporous carbon materials prepared from litchi shell as sulfur encapsulator for lithium-sulfur battery application. J. Power Sources 2016, 324, 547–555. [Google Scholar] [CrossRef]
- Propp, K.; Auger, D.J.; Fotouhi, A.; Longo, S.; Knap, V. Kalman-variant estimators for state of charge in lithium-sulfur batteries. J. Power Sources 2017, 343, 254–267. [Google Scholar] [CrossRef]
- Urbonaite, S.; Novák, P. Importance of ‘unimportant’ experimental parameters in Li–S battery development. J. Power Sources 2014, 249, 497–502. [Google Scholar] [CrossRef]
- Huff, L.A.; Rapp, J.L.; Baughman, J.A.; Rinaldi, P.L.; Gewirth, A.A. Identification of lithium-sulfur battery discharge products through 6Li and 33S solid-state MAS and 7Li solution NMR spectroscopy. Surf. Sci. 2015, 631, 295–300. [Google Scholar] [CrossRef]
- Shen, X.; Liu, H.; Cheng, X.B.; Yan, C.; Huang, J.Q. Beyond lithium ion batteries: Higher energy density battery systems based on lithium metal anodes. Energy Storage Mater. 2018, 12, 161–175. [Google Scholar] [CrossRef]
- Sun, L.; Li, H.; Zhao, M.; Wang, G. High-performance lithium-sulfur batteries based on self-supporting graphene/carbon nanotube foam@ sulfur composite cathode and quasi-solid-state polymer electrolyte. Chem. Eng. J. 2018, 332, 8–15. [Google Scholar] [CrossRef]
- Manthiram, A.; Yu, X.; Wang, S. Lithium battery chemistries enabled by solid-state electrolytes. Nat. Rev. Mater. 2017, 2. [Google Scholar] [CrossRef]
- Oh, K.Y.; Samad, N.A.; Kim, Y.; Siegel, J.B.; Stefanopoulou, A.G.; Epureanu, B.I. A novel phenomenological multi-physics model of Li-ion battery cells. J. Power Sources 2016, 326, 447–458. [Google Scholar] [CrossRef]
- Panchal, S.; Mathewson, S.; Fraser, R.; Culham, R.; Fowler, M. Experimental Measurements of Thermal Characteristics of LiFePO4 Battery; Technical Report for SAE International: Warrendale, MI, USA, 14 April 2015. [Google Scholar]
- Zou, C.; Manzie, C.; Nešić, D.; Kallapur, A.G. Multi-time-scale observer design for state-of-charge and state-of-health of a lithium-ion battery. J. Power Sources 2016, 335, 121–130. [Google Scholar] [CrossRef]
- Li, Y.; Chattopadhyay, P.; Ray, A.; Rahn, C.D. Identification of the battery state-of-health parameter from input–output pairs of time series data. J. Power Sources 2015, 285, 235–246. [Google Scholar] [CrossRef]
- Feng, T.; Yang, L.; Zhao, X.; Zhang, H.; Qiang, J. Online identification of lithium-ion battery parameters based on an improved equivalent-circuit model and its implementation on battery state-of-power prediction. J. Power Sources 2015, 281, 192–203. [Google Scholar] [CrossRef]
- Waag, W.; Fleischer, C.; Sauer, D.U. Adaptive on-line prediction of the available power of lithium-ion batteries. J. Power Sources 2013, 242, 548–559. [Google Scholar] [CrossRef]
- Lavigne, L.; Sabatier, J.; Francisco, J.M.; Guillemard, F.; Noury, A. Lithium-ion open circuit voltage (OCV) curve modelling and its ageing adjustment. J. Power Sources 2016, 324, 694–703. [Google Scholar] [CrossRef]
- Ting, T.O.; Man, K.L.; Lim, E.G.; Leach, M. Tuning of Kalman filter parameters via genetic algorithm for state-of-charge estimation in battery management system. Sci. World J. 2014, 2014, 176052. [Google Scholar] [CrossRef] [PubMed]
- Xia, B.; Zheng, W.; Zhang, R.; Lao, Z.; Sun, Z.; Sciubba, E. A novel observer for lithium-ion battery state of charge estimation in electric vehicles based on a second-order equivalent circuit model. Energies 2017, 10, 1150. [Google Scholar] [CrossRef]
- Yatsui, M.W.; Bai, H. Kalman Filter Based State-of-Charge Estimation for Lithium-Ion Batteries in Hybrid Electric Vehicles Using Pulse Charging. In Proceedings of the 2011 IEEE Vehicle Power and Propulsion Conference, Chicago, IL, USA, 6–9 September 2011. [Google Scholar]
- He, H.; Xiong, R.; Guo, H. Online estimation of model parameters and state-of-charge of LiFePO4 batteries in electric vehicles. Appl. Energy 2012, 89, 413–420. [Google Scholar] [CrossRef]
- Pei, L.; Zhu, C.; Wang, T.; Lu, R.; Chan, C.C. Online peak power prediction based on a parameter and state estimator for lithium-ion batteries in electric vehicles. Energy 2014, 66, 766–778. [Google Scholar] [CrossRef]
- Xia, B.; Sun, Z.; Zhang, R.; Cui, D.; Lao, Z.; Wang, W. A Comparative Study of Three Improved Algorithms Based on Particle Filter Algorithms in SOC Estimation of Lithium Ion Batteries. Energies 2017, 10, 1149. [Google Scholar] [CrossRef]
- Nejad, S.; Gladwin, D.T.; Stone, D.A. A systematic review of lumped-parameter equivalent circuit models for real-time estimation of lithium-ion battery states. J. Power Sources 2016, 316, 183–196. [Google Scholar] [CrossRef]
- He, H.; Xiong, R.; Fan, J. Evaluation of lithium-ion battery equivalent circuit models for state of charge estimation by an experimental approach. Energies 2011, 4, 582–598. [Google Scholar] [CrossRef]
- Lin, C. Comparison of current input equvialent circuit models of electrical vehicle battery. Chin. J. Mech. Eng. 2005, 41, 76–81. [Google Scholar] [CrossRef]
- Liu, C.; Liu, W.; Wang, L.; Hu, G.; Ma, L.; Ren, B. A new method of modeling and state of charge estimation of the battery. J. Power Sources 2016, 320, 1–12. [Google Scholar] [CrossRef]
- Dong, G.; Wei, J.; Zhang, C.; Chen, Z. Online state of charge estimation and open circuit voltage hysteresis modeling of LiFePO4 battery using invariant imbedding method. Appl. Energy 2016, 162, 163–171. [Google Scholar] [CrossRef]
- Fleischer, C.; Waag, W.; Heyn, H.M.; Sauer, D.U. On-line adaptive battery impedance parameter and state estimation considering physical principles in reduced order equivalent circuit battery models part 2. Parameter and state estimation. J. Power Sources 2014, 262, 457–482. [Google Scholar] [CrossRef]
- Burgos, C.; Sáez, D.; Orchard, M.E.; Cárdenas, R. Fuzzy modelling for the state-of-charge estimation of lead-acid batteries. J. Power Sources 2015, 274, 355–366. [Google Scholar] [CrossRef]
- Yang, F.; Wang, D.; Xing, Y.; Tsui, K.L. Prognostics of Li (NiMnCo) O2-based lithium-ion batteries using a novel battery degradation model. Microelectron. Reliab. 2017, 70, 70–78. [Google Scholar] [CrossRef]
- Gandolfo, D.; Brandão, A.; Patiño, D.; Molina, M. Dynamic model of lithium polymer battery—Load resistor method for electric parameters identification. J. Energy Inst. 2015, 88, 470–479. [Google Scholar] [CrossRef]
- Li, X.; Fan, G.; Pan, K.; Wei, G.; Zhu, C.; Rizzoni, G. A physics-based fractional order model and state of energy estimation for lithium ion batteries. Part I: Model development and observability analysis. J. Power Sources 2017, 367, 187–201. [Google Scholar] [CrossRef]
- Mu, H.; Xiong, R.; Zheng, H.; Chang, Y.; Chen, Z. A novel fractional order model based state-of-charge estimation method for lithium-ion battery. Appl. Energy 2017, 207, 384–393. [Google Scholar] [CrossRef]
- Sabatier, J.; Francisco, J.M.; Guillemard, F.; Lavigne, L.; Moze, M.; Merveillaut, M. Lithium-ion batteries modeling: A simple fractional differentiation based model and its associated parameters estimation method. Signal Process. 2015, 107, 290–301. [Google Scholar] [CrossRef]
- Sabatier, J.; Aoun, M.; Oustaloup, A.; Grégoire, G.; Ragot, F.; Roy, P. Fractional system identification for lead acid battery state of charge estimation. Signal Process. 2006, 86, 2645–2657. [Google Scholar] [CrossRef]
- Li, S.; Pischinger, S.; He, C.; Liang, L.; Stapelbroek, M. A comparative study of model-based capacity estimation algorithms in dual estimation frameworks for lithium-ion batteries under an accelerated aging test. Appl. Energy 2018, 212, 1522–1536. [Google Scholar] [CrossRef]
- Xiang, S.; Hu, G.; Huang, R.; Guo, F.; Zhou, P. Lithium-Ion Battery Online Rapid State-of-Power Estimation under Multiple Constraints. Energies 2018, 11, 283. [Google Scholar] [CrossRef]
- Sun, F.; Xiong, R.; He, H. A systematic state-of-charge estimation framework for multi-cell battery pack in electric vehicles using bias correction technique. Appl. Energy 2016, 162, 1399–1409. [Google Scholar] [CrossRef]
- Gao, Z.; Chin, C.; Woo, W.; Jia, J. Integrated equivalent circuit and thermal model for simulation of temperature-dependent LiFePO4 battery in actual embedded application. Energies 2017, 10, 85. [Google Scholar] [CrossRef]
- Sun, B.; Jiang, J.; Zheng, F.; Zhao, W.; Liaw, B.Y.; Ruan, H. Practical state of health estimation of power batteries based on Delphi method and grey relational grade analysis. J. Power Sources 2015, 282, 146–157. [Google Scholar] [CrossRef]
- Zhang, R.; Xia, B.; Li, B.; Cao, L.; Lai, Y.; Zheng, W. State of the Art of Lithium-Ion Battery SOC Estimation for Electrical Vehicles. Energies 2018, 11, 1820. [Google Scholar] [CrossRef]
- Zheng, Y.; Ouyang, M.; Han, X.; Lu, L.; Li, J. Investigating the error sources of the online state of charge estimation methods for lithium-ion batteries in electric vehicles. J. Power Sources 2018, 377, 161–188. [Google Scholar] [CrossRef]
- Xing, S.; Chen, S.; Wei, Z.; Xia, J. Unifying Electrical Engineering and Electronics Engineering. In Proceedings of the 2012 International Conference on Electrical and Electronics Engineering, Shanghai, China, 18–19 August 2012. [Google Scholar]
















| Item | Specification Parameter |
|---|---|
| Battery Dimension | L/mm: 148.40 ± 0.30 |
| W/mm: 39.70 ± 0.30 | |
| H/mm: 95.00 ± 0.30 | |
| Nominal Capacity | 76.5 Ah (1/3 C) |
| 75.0 Ah (1 C) | |
| Nominal Voltage | 3.70 V (1/3 C) |
| 3.65 V (1 C) | |
| Weight | 1.32 kg |
| Internal Impedance | 0.65 mΩ @50% SOC, 1 kHz |
| Internal Resistance | 1.3 mΩ @10 s 200 A, 50% SOC |
| Upper Charge Cut-Off Voltage | 4.25 V |
| Lower Discharge Cut-Off Voltage | 2.80 V (T > −10 °C) |
| 2.50 V (−20 °C ≤ T ≤ −10 °C) | |
| 2.10 V (T ≤ −20°C) | |
| Continuous Charging Current | 75 A (25 °C) |
| Continuous Discharge Current | 75 A (25 °C) |
| Maximum Pulse Charging Current | 350 A @10 s, 50% SOC, 25 °C |
| Maximum Pulse Discharge Current | 350 A @10 s, 50% SOC, 25 °C |
| Charge Upper Limit Protection Voltage | 4.30 V |
| Charge Lower Limit Protection Voltage | 2.5 V (25 °C) |
| Working Temperature | Discharge temperature range: −30~55 °C |
| Charge temperature range: −20~55 °C |
| Charge Rate (C) | Discharge Rate (C) | Total Charge Capacity (Ah) | Total Discharge Capacity (Ah) | |
|---|---|---|---|---|
| 1 | 1 | 71.3 | 73.3 | 102.8% |
| 1 | 0.5 | 72.0 | 74.1 | 102.8% |
| 1 | 0.33 | 77.6 | 78.9 | 101.6% |
| 1 | 0.05 | 76.7 | 81.2 | 105.8% |
| Temperature (°C) | −30 | −20 | −10 | 0 | 10 | 25 | 35 | 45 | 55 |
| Maximum Discharge Capacity (Ah) | 54.6 | 62.5 | 63.1 | 66.7 | 71.4 | 76.4 | 79.1 | 80.0 | 80.8 |
| SOC | −30 °C | −20 °C | −10 °C | 0 °C | 10 °C | 25 °C | 45 °C | 55 °C |
|---|---|---|---|---|---|---|---|---|
| 100% | 14.69 | 10.07 | 6.51 | 4.01 | 2.65 | 1.56 | 1.06 | 0.92 |
| 95% | 14.36 | 9.75 | 6.31 | 3.83 | 2.59 | 1.56 | 1.07 | 0.93 |
| 90% | 14.10 | 9.50 | 6.17 | 3.74 | 2.57 | 1.57 | 1.09 | 0.95 |
| 80% | 13.77 | 9.20 | 6.01 | 3.67 | 2.54 | 1.60 | 1.15 | 1.00 |
| 70% | 13.58 | 9.10 | 5.94 | 3.67 | 2.57 | 1.64 | 1.18 | 1.04 |
| 60% | 13.58 | 9.10 | 5.90 | 3.72 | 2.61 | 1.66 | 1.16 | 1.02 |
| 50% | 13.67 | 9.22 | 5.81 | 3.66 | 2.47 | 1.46 | 0.97 | 0.84 |
| 40% | 13.94 | 9.46 | 5.88 | 3.64 | 2.39 | 1.45 | 0.98 | 0.87 |
| 30% | 14.51 | 9.95 | 6.16 | 3.82 | 2.49 | 1.53 | 1.00 | 0.88 |
| 20% | 15.66 | 10.90 | 6.69 | 4.16 | 2.76 | 1.67 | 1.06 | 0.92 |
| 10% | 18.32 | 13.68 | 8.28 | 5.16 | 3.57 | 2.14 | 1.16 | 0.96 |
| 5% | 29.98 | 27.81 | 10.91 | 6.77 | 5.06 | 3.17 | 1.43 | 1.15 |
© 2018 by the authors. Licensee MDPI, Basel, Switzerland. This article is an open access article distributed under the terms and conditions of the Creative Commons Attribution (CC BY) license (http://creativecommons.org/licenses/by/4.0/).
Share and Cite
Zhang, R.; Xia, B.; Li, B.; Lai, Y.; Zheng, W.; Wang, H.; Wang, W.; Wang, M. Study on the Characteristics of a High Capacity Nickel Manganese Cobalt Oxide (NMC) Lithium-Ion Battery—An Experimental Investigation. Energies 2018, 11, 2275. https://doi.org/10.3390/en11092275
Zhang R, Xia B, Li B, Lai Y, Zheng W, Wang H, Wang W, Wang M. Study on the Characteristics of a High Capacity Nickel Manganese Cobalt Oxide (NMC) Lithium-Ion Battery—An Experimental Investigation. Energies. 2018; 11(9):2275. https://doi.org/10.3390/en11092275
Chicago/Turabian StyleZhang, Ruifeng, Bizhong Xia, Baohua Li, Yongzhi Lai, Weiwei Zheng, Huawen Wang, Wei Wang, and Mingwang Wang. 2018. "Study on the Characteristics of a High Capacity Nickel Manganese Cobalt Oxide (NMC) Lithium-Ion Battery—An Experimental Investigation" Energies 11, no. 9: 2275. https://doi.org/10.3390/en11092275
APA StyleZhang, R., Xia, B., Li, B., Lai, Y., Zheng, W., Wang, H., Wang, W., & Wang, M. (2018). Study on the Characteristics of a High Capacity Nickel Manganese Cobalt Oxide (NMC) Lithium-Ion Battery—An Experimental Investigation. Energies, 11(9), 2275. https://doi.org/10.3390/en11092275

