Abstract
A swirling burner with a variable inner secondary air (ISA) flaring angle β is proposed and a laboratory scale opposed-firing furnace is built. Temperature distribution and NOx emission are designedly measured. The combustion characteristics affected by variable β are experimentally evaluated from ignition and burnout data. Meanwhile, NOx reduction by the variable β is analyzed through emissions measurements. Different inner/outer primary coal-air concentration ratios γ, thermal loads and coal types are considered in this study. Results indicate that β variation provides a new approach to promote ignition and burnout, as well as NOx emission reduction under conditions of fuel rich/lean combustion and load variation. The recommended β of a swirling burner under different conditions is not always constant. The optimal βopt of the swirling burner under all conditions for different burning performance are summarized in the form of curves, which could provide reference for exquisite combustion adjustment.
1. Introduction
Combustion adjustment technology is still a major interest for coal-based thermal power plants, because coal plays an important role as the primary energy source in the development of countries of large coal reserves, such as China and Japan [1,2,3]. With increasing demands of energy conservation and emission reduction, great progress has been made in combustion optimization and higher control level of NOx emission in academic studies [4,5,6,7] and engineering applications [8,9]. Because low-NOx burning can relieve stress on the denitration system downstream of the flue, research on NOx control by swirling burners is perennially conducted. The operating parameters of swirling burners are focused on combustion organization and low-NOx burning. Sung et al. [9] studied the effect of secondary air swirl intensity on flame and NOx reduction. Katzer et al. [10] explored the relationship between burner operating conditions (including variable loads and air distribution) and flame characteristics. Song et al. [11] discussed the impact of inner and outer secondary air distribution in the burner on aerodynamic characteristics in down-fired boiler. Meanwhile, the structure of swirling burners is also a research interest of many investigators. Wang et al. [12] experimentally researched the effect of inner secondary air vane angles of swirl burners for 300 MW down-fired boilers on NOx reduction, and gave the optimal angle value. Ti et.al. decreased the NOx emissions of a 600 MW wall-fired boiler through outer secondary air vane angles optimization [13], and numerically studied the effect of varying swirl burner cone length on the ignition and NOx emissions in a cylindrical furnace [14]. Chen et al. [15] added a baffle ring to a swirl burner duct outlet to improve the penetration depth of coal/air flow, which obtained favorable results for NOx control in a 300 MW down-fired boiler. Li et al. [16] discussed the effect of swirl burner outer secondary air vane angle variation on combustion characteristics and NOx emissions with laboratory-scale and industrial-scale experiments, respectively. Jing et al. [17] also researched the influence of swirl burner outer secondary air vane angles on combustion and NOx formation in 300 MW wall-fired boilers. Luo et al. [18] proposed a swirl burner with dual-gear rings and double conical flaring based on dual register structure, and experimentally studied the effect on combustion and NOx emissions in the laboratory. Zhou et al. [19] numerically studied the effect of a Venturi tube and partition annulus in the primary air pipe on temperature and gas species distribution in a furnace. The optimized swirl burner obtained favorable performance with significant NOx reduction. In conclusion, the studies of operating parameters of burners are mainly focused on swirl intensity, air distribution and ways of feeding fuel, while the focused burner structures mainly consider the swirl vane angle, adding some new parts in the primary air pipe of burners, and retrofitting burner types. However, fewer papers have reported the effect of swirl burner flaring angle, which is a commonly used structure in swirl burners and also significantly impacts the combustion organization of burners [20]. The flaring angles of burner are mostly still fixed at present, and not utilized as an operating parameter for combustion optimization in power plants.
Fuel rich/lean combustion is an important means of reducing NOx in coal-fired boilers. Song et al. [21] researched the influence of the mass ratio of coal in fuel-rich flow to that in fuel-lean flow in a 600 MW down-fired boiler, and obtained the optimal mass ratio for high burnout and low NOx emissions. Zeng et al. [22] studied the effect of coal bias distribution on the slagging with swirl burner organizing combustion. Zhou et al. [23] experimentally studied the effect of the block size and particle concentrations in burner primary air pipe on flow characteristics. Li et al. [24] discussed the effects of particle concentration variation in the primary air duct on combustion and NOx emissions for swirl burners. Chen et al. [25] studied the fuel bias influence in the primary air duct on gas/particle flow characteristics. However, the effects of swirl burner flaring angle variation on rich/lean combustion have not been considered. Moreover, in order to improve the capacity of renewable energy sources, developing deep peaking transformation for coal-fired power plant is meaningful [26]. Some researchers have studied combustion characteristics under different loads, including ignition and NOx formation [15,27]. Nonetheless, how to use burner flaring for improving ignition under different loads is still less reported in the literature.
In this paper, a swirling burner with real-time adjustable inner secondary air flaring angle is proposed and built on a laboratory scale. Although some related works [20,28] have been conducted about the burner adjustable flaring angle influence mechanism and combined control with air distribution, its application under various load and fuel rich/lean combustion conditions is still not reported. The effects of burner flaring angle on fuel rich/lean combustion and low load combustion are separately studied by combustion experiments in a laboratory-scale opposed-firing furnace. The authors have strived to reveal the burner flaring variation rules for application in combustion adjustment.
2. Experimental Setup and Research Methods
The studied swirling burner is based on a dual register swirling burner structure, which is composed from the inside out of a center pipe, inner/outer primary air (IPA/OPA) pipe and inner/outer secondary air (ISA/OSA) pipe, as Figure 1 shows. The novel flaring of the burner is composed of multiple metal flakelets partly stacked in a circumferential layout, as Figure 1a shows. Thus, the novel flaring angle varies when the flakelets are rotating. Each flakelet is connected with pin on the end of the ISA straight pipe. Each pin is fixed to one linkage and all the linkages are connected by a rear ring. In the experiment, two steel rods are separately fixed on the rear ring symmetrically, so as to vary the flaring angle β by pulling or pushing the steel rods.
Figure 1.
Schematic diagram of the novel swirling burner: (a) Spout photograph of the swirling burner; (b) Assembly diagram of this novel burner: (1) outer-secondary air flaring; (2) adjustable inner-secondary air flaring; (3) outer-primary air flaring; (4) center air pipe; (5) inner-primary air pipe; (6) swirling vane; (7) the pull rod of the swirling vane; (8) the pull rod of the adjustable flaring.
A laboratory-scaled furnace combustion test system is set up, which is comprised of a furnace body system, pulverized coal feeding system, air and gas system, water cooling system, ignition system and measurement system, as Figure 2 shows. The furnace body system provides a pulverized coal burning space and simulates the features of actual boilers. The coal feeding system contains four coal feeders and related pipes, which guarantees a persistent fuel supply. The air and gas system provides fresh air for coal burning, and exhausts the flue gas from furnace. The water cooling system serves for cooling the flue gas from the outlet of the furnace and all the measurement equipment working in the furnace. The ignition system uses an oil gun to heat the furnace and ignite the pulverized coal at the beginning of the tests.
Figure 2.
Combustion test system.
A couple of the proposed swirling burners are symmetrically installed on the front and rear walls of the lower furnace. The lower furnace cross-section is 1.0 m × 0.8 m for depth × width. A rectangular coordinate system is built for the furnace, the origin of which is set as the center of the burner couple axis. The dimensionless depth, width and height of furnace are separately defined as X = x/a, Y = y/a, Z = z/a, where a is the axis distance of front and rear wall burner spout as a reference size.
Two different bituminous coals from Huangling County of Shaanxi Province (HL coal) and Wuhai of Inner Mongolia Province (WH coal) in China are separately used in this study. The results of proximate and ultimate analysis, as well as net calorific value, are detailed in Table 1. The coals are pulverized before the combustion tests, and supplied through two coal feeders into the IPA pipe and OPA pipe of one swirl burner for burning in the furnace. Fuel rich/lean combustion is realized through controlling the pulverized coal concentration in the IPA and OPA pipes. The fuel rich/lean ratio (γ) is defined as the ratio of pulverized coal concentration in IPA to that in OPA. The fuel rich/lean ratio (γ) is varied from 1 to 3 in this study through adjusting the coal feeding rate in the inner/outer primary air pipes, respectively. The thermal power input is set to 0.7, 0.6 and 0.5 MW by changing the coal amount of the feeders. The ISA flaring expanding or shrinking can be adjusted in real-time by pulling and pushing the burner tie rod, thus the burner ISA flaring angle (β) changes. All the parameters and study conditions are listed in Table 2.
Table 1.
Coal properties (as received).
Table 2.
Study conditions and concerning parameters.
The swirl number n is calculated using Equation (1) [29,30]:
where di is the inner diameter of the swirler, and do is the outer diameter of the swirler. Thus, the swirl number n primarily depends on the swirl vane angle. Because the swirl vane angle in the ISA pipe is fixed in this study, the swirl number of co-axial jetting is constant.
The measurement system of the experiments is comprised of thermocouples, a gas analyzer and sampling equipment. Before measurements the thermocouple device and flue gas analyzer are calibrated. A water-cooled probe was utilized in the experimental measurements to prevent the equipment from suffering burnout [12]. The flue gas temperature in lower furnace is monitored with water-cooled PtRh10-Pt thermocouples (Xi’an Xiyi Industrial Control Instrument Factory, Xi’an, China). The gas temperature in the upper furnace is measured with NiCr-NiSi thermocouples nested in porcelain sleeves. These two thermocouples are calibrated with a relative error of 0.75%|t|. To avoid any interferences, such as soot pollution and unsteady situations during switching between two different conditions, sufficient time was given between measurements to ensure the accuracy of measurements [15]. For quantitative description and analysis of the combustion parameters, Tig and Tmax are extracted and compared between the different conditions. The gas temperature of the measuring point close to the spout along the burner axis direction is considered as the ignition characteristic temperature Tig, and the highest gas temperature Tmax along the furnace height is considered as the combustion intensity.
NOx emissions are obtained through a GASMET-DX4000 flue gas analyzer (Gasmet Technologies Oy, Helsinki, Finland) with an accuracy of ±2 vol %. The oxygen component of flue gas is monitored by a MSI-Compact flue gas analyzer (Drägerwerk AG & Co., Lübeck, Germany) with an accuracy of ±0.3 vol %. The experimentally obtained NO data were converted to the standard of 6% O2 according to the Equation (2) [27]:
where NOx (ppm @6%O2) in standard state, 6% O2, (ppm); NO (ppm) is the measured volume fraction of NO, (ppm); O2 is the volume fraction of oxygen, (%); 0.95 is the assumed ratio of NO to total NOx.
Unburned carbon in the fly ash is sampled at the furnace outlet using a water-cooled probe as Figure 3 shows. The particles in the sampled fly ash continue burn in the thermal gravimetric analyzer (TGA). The burnout can be calculated by the following formula [28,30,31,32]:
where ψ is char burnout, w is the ash weight fraction, and the subscript k and x refer to the ash contents in the input coal and char sample, respectively.
Figure 3.
Measurement system scheme.
3. Results and Discussion
3.1. Effect on Fuel Rich/Lean Combustion
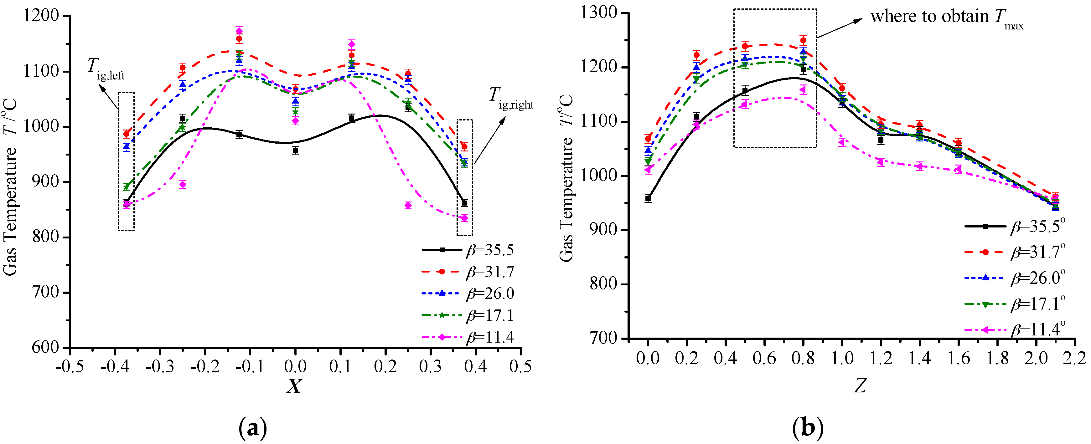
Coal bias burning is an important factor of low nitrogen burning. In the following analysis, the effect of β on bias burning is researched under a thermal load of 0.7 MW. Figure 4 shows the gas temperature along the furnace depth and height direction under a certain condition, respectively. Figure 4a shows that the gas temperature rises from burner spout to the furnace center, which reflects the pulverized coal ignition process. The average of two measurement points of each curve close to burner spout is considered as Tig for a specific condition. Figure 4b displays that the gas temperature of the lower furnace rises with fluctuation along the furnace centerline, and gradually decreases in the upper furnace in the burnout stage. The Tmax is extracted from the maximum value of one temperature distribution curve for each condition.
Figure 4.
Temperature distribution in test furnace (Huangling County of Shaanxi Province coal (HL coal) burning, γ = 2, Q = 0.7 MW): (a) along the depth direction; (b) along the height direction.
Adjustment of swirl burner ISA flaring angle β affects the temperature distribution along the furnace depth. Enlarging the flaring angle (β = from 11.4° to 31.7°) improves the reverse flow zone to induce hot gas closer to spout, while the gas temperature in the furnace center is not high. However, too large a flaring angle (β = 35.5°) of the burner maybe leads to open airflow outside the burner spout, which is detrimental to ignition. In Figure 4a, the condition of β = 26.0°–31.7° favors ignition improvement. In some case, β could be adjusted smaller to prevent the burner spout from burnout.
Figure 4b shows that the gas temperature along the furnace centerline rises from burner layer to the outlet of the lower furnace, and then decreases gradually in the upper furnace. The temperature level in the lower furnace is significantly affected by the burner flaring angle β. The condition of larger β of burner (β = 31.7°) can achieve a higher temperature level of the furnace in Figure 4.
Figure 5 summarizes Tig under conditions of different γ for bias burning. Tig of HL coal appears above 750 °C because of this coal’s high calorific value and volatile content. When γ = 1, the condition of β = 35.5° displays a better ignition performance, because a large β improves the reverse hot flow to the spout significantly. When β becomes smaller, the temperature distribution along the burner axis appears higher in the center and lower near the spout. If bias burning works, the temperature along the burner axis appears higher at center and lower aside as well. When γ = 2, the condition of β = 26.0°–31.7° is in favor of ignition improvement. When γ = 3, the condition of large β loses the ability of helping coal ignition. The swirling burner with smaller β (β = 17.1°) ignites coal better under condition of higher γ.
Figure 5.
Ignition characteristic temperature variation with different β and γ.
The ignition of WH coal is worse than HL coal, thus the impact of γ and β is more significant. Under different γ conditions, increasing β generally improves ignition. WH coal needs more ignition heat and therefore requires a larger flaring angle to form a high temperature gas reflux. When dense-dilute burning works (γ is larger), the flaring angle β enlargement of the burner benefits ignition and temperature level along the burner axis. This indicates that when the inner primary airstream has high coal concentration, a swirl burner with larger β can draw hot gas near the burner spout to ignite the thick coal stream, and improve the temperature level near the burner spout rapidly.
Figure 6 compares the highest temperature level of the furnace. On conditions of HL coal combustion, Tmax in the furnace seems more affected by γ than β. Because of the flammable characteristics of HL coal, its combustion temperature depends more on fuel concentration than airflow variation slightly by β. Fuel rich/lean ratio γ directly affects local fuel concentration distribution, so as to influence temperature level more significantly. When non-bias or low bias burning applies, the coal can burn strongly because of the reasonable fuel-air mixing ratio. The variation of β affects the temperature level in some extent through adjusting the inner secondary airflow. When the fuel rich/lean ratio γ rises, coal burning worsens. The secondary airflow has less impact than the primary airflow. The impact of β on the gas temperature level appears insignificant. Therefore, Figure 6 shows that burners with β = 26.0°–31.7° achieve higher temperature levels in the furnace for lower γ, while conditions of different β give almost the same temperature level for higher γ.
Figure 6.
Maximum temperature variation with different β and γ.
Conditions of WH coal burning are more affected by β than γ. WH coal is less flammable than HL coal, thus its combustion temperature level is more affected by the airflow of the burner. When fuel rich/lean ratio is in a median range, a larger β obviously promotes Tmax as the condition of γ = 2 shows. This states that under this fuel concentration distribution situation, a burner with β = 35.5° would provide the most appropriate air supply mode for combustion temperature level promotion. When non-bias burning or high-bias burning works, the β variation has limited impact on Tmax. In this situation, fuel supply plays a leading role in the temperature level and weakens the secondary air function. For example, burners with β = 26° provide a little higher temperature level under condition of γ = 1 and γ = 3. Thus, combustion adjustment through both γ and β are necessary for lean coal.
Figure 7 displays the NOx emissions and burnout with two different coals, separately. NOx reduction is generally realized through low-NOx burning in furnace or gas denitration after burning. The previous technology has been popularly utilized for fuel rich/lean combustion, which controls NOx formation through restricting the local low oxygen concentration in the high temperature zone. Fuel rich/lean combustion can basically reduce NOx emissions significantly, as the hollow-dot solid lines in Figure 7 show. Moreover, NOx emission reduction can also be realized through burner flaring angle β adjustment for both HL coal and WH coal. That is because the variation of flaring angle β changes the secondary airflow direction and jetting rigidity, so as to influence fuel and air mixing outside the burner spout. For example, if the inner secondary air flaring angle is enlarged, the outlet area of the inner secondary air increases, and the rigidity of airflow decreases. Meanwhile, the outer secondary airflow becomes more rigid, and the flow direction moves away from the burner axis. Thus, the mixing between pulverized coals with different layer airflow becomes different. It can also be considered as local rich/lean combustion in another way. When fuel rich/lean ratio γ keeps constant, variations of β affect NOx emission more significantly for non-rich/lean combustion than that for fuel rich/lean combustion. It is inferred that local rich/lean combustion caused by flaring angle β variation plays a more important role in non-rich/lean combustion for NOx reduction. If fuel rich/lean combustion employs a swirling burner, less effect of NOx formation control is obtained through the “local” fuel rich/lean combustion caused by β variation. In addition, the NOx emission of condition β = 35.5° reached a much lower level than other conditions, which is contributed by both extra local rich/lean combustion and combustion deterioration at the cost of low burnout.
Figure 7.
NOx emission and burnout comparison with different β and γ: (a) HL coal; (b) Wuhai of Inner Mongolia Province coal (WH coal).
The optimal β for NOx control is not the same for the two different coals. For example, under condition of γ = 3, the suggested β is 17.1° for HL coal but 35.5° for WH coal. HL coal ignition is better than WH coal as Table 1 shows. It can be inferred that a more reducing atmosphere forms in the outside spout for HL coal than WH coal. A smaller β is enough for HL coal to control NOx formation than that needed for WH coal. Variation of β brings more adaptability for burners. That’s also the reason that the burner with real-time adjustable flaring angle is proposed and studied in this paper.
Burnout is impacted by both fuel rich/lean ratio and burner flaring angle in this study, and illustrated in Figure 7. The effect of burner flaring angle β is determined through changing the secondary airflow and fuel-air mixing in a later period, which seems more significant than that of fuel rich/lean ratio γ for all conditions. When burning difficult-flammable WH coal, the smaller β in non-rich/lean combustion and larger β in fuel rich/lean combustion are suggested for high burnout. Whatever coal is used, HL coal or WH coal, the burner flaring angle β can be considered as an auxiliary adjustment to control NOx emissions and further improve burnout.
3.2. Effect on Load Variation
To study the effect of β on ignition and stable combustion under variable loads, the characteristic parameters (Tig and Tmax) are extracted from the measured temperature distributions for analysis as Figure 8 shows. Ignition characteristic temperature is mainly decided by the thermal load for both HL coal and WH coal, because the thermal load influences the global temperature level in the furnace. Moreover, ignition is also affected by the hot flue gas entrainment ability, which can be adjusted by the inner secondary air flaring angle β.
Figure 8.
Ignition comparison among the conditions of different β and loads: (a) Ignition characteristics; (b) combustion intensity characteristics.
High thermal load could not ensure a high flame temperature level, because an increasing load requires more fresh air supply. Fresh cold air would possibly decrease the temperature level in the furnace if pulverized coal does not ignite and release heat in a timely way in the combustion process. Therefore, the highest temperature value in the furnace depends on the mixing of pulverized coal and air, which can be realized by the timely flaring angle variation of the proposed swirling burner.
In Figure 8a the enlargement of β does not always help improving HL coal ignition. Especially when the gas temperature level is low, a large β results in the cold reflux flue gas which does not benefit ignition. The combustible HL coal ignition needs fresh air more than temperature. Thus, under low thermal load with burning HL coal, a small burner β promotes primary/secondary air mixing earlier which could better improve ignition.
For difficult-flammable WH coal, load increasing improves WH ignition significantly. Under low thermal load, burners with β = 11.4°–26.0° provide the best stable ignition. This suggests that low load conditions require a small burner β for ignition. The β for WH coal ignition appears larger than that for HL coal. That’s because difficult-flammable WH coal ignition requires not only oxygen, but also hot flue gas in order to reach a suitable reactivity level.
The effects on temperature level of the furnace under variant loads were also researched. Figure 8b shows that Tmax is mainly impacted by the thermal load, especially for HL coal. Under low load β is suggested to rise to above 31.7° for HL coal, while reducing β to below 17.1° for WH coal, which would benefit timely ignition and strong burning. The inferred explanation is that burners with small β can adapt to the situation of coal-air supply reduction, and avoid forming open airflows. In a word, combustion adjustment with β promotes stable burning, especially under conditions of low thermal load.
For example, whether burning HL coal or WH coal, the difference of characteristic ignition temperature between various loads conditions becomes smaller if we adjust the burner ISA flaring angle to a smaller value (β = 11.4–26°). The temperature difference between Q = 0.7 MW and Q = 0.5 MW is about 100 °C with β = 11.4°, but more than 250 °C with β = 35.5°. Therefore, under higher load the burner flaring angle could be set larger (β = 26.0°–35.5°) for a higher ignition characteristic temperature, but should be set smaller as β = 11.4°–17.1° for a stable ignition characteristic temperature (the temperature drops less than 200 °C in the combustion experiment). However, there is still a void in using the adjustable flaring angle burner in a practical utility boiler. This experimental study provides some demonstration for further applications.
Figure 9 shows the NOx emissions and burnouts of different load conditions. Whether HL coal or WH coal is used, the NOx emission maximum increases with rising thermal load. That is because a higher temperature level in furnace caused by high thermal load leads to more NOx formation in the combustion. Moreover, varying β could change the NOx emissions in some extent. For example, burners with larger or smaller β could control combustion with lower NOx emissions.
Figure 9.
NOx emission and burnout comparison with different β and Q: (a) HL coal; (b) WH coal.
Burnout is also achieved as shown in Figure 9. Generally, HL coal burning performs higher burnout than WH coal, which is consistent with the inherent fuel characteristics. The burnout is affected by both the thermal load and burner flaring angle. There is an optimal ISA flaring angle βopt corresponding to the highest burnout. βopt decreases with thermal load reduction for both coals. βopt = 26.0°–31.7° is suggested for HL coal burning, and βopt = 11.4°–26.0° is suggested for WH coal.
3.3. Combustion Adjustment Suggestion
Combined with an adjustable swirling burner flare angle, combustion can be more improved and optimized through use of a swirling burner. The variation of β affects combustion through swirling burner flaring, which not only guides the inside but also outside airflow from the spout.
For fuel rich/lean combustion and low-load combustion, an adjustable burner flaring angle brings adaptability for coal and load, enriches the combustion optimization methods and offers better potential of clean and efficiency combustion. To expediently guide engineering applications of swirling burner with adjustable flaring angles, the optimal β values corresponding to the condition of easiest ignition, highest burnout and lowest NOx emission are summarized in Figure 10, respectively.
Figure 10.
Suggested β adjustment for γ and Q variation: (a) for fuel rich/lean combustion; (b) for variant-load combustion.
The optimal β of a burner varies according to the operating conditions and the specifics concerning combustion performance. The variation rules for diverse coals, fuel rich/lean ratios and thermal loads are different. For example, when the fuel rich/lean ratio γ increases, the flaring angle β is suggested to augment for HL coal but is lower for WH coal to ignite coal in a timely way as Figure 10a shows, whereas, when the thermal loads increases, the β is suggested to be raised for both HL and WH coal. Under some conditions, β variation affects combustion adjustment less. For example, NOx emissions are less impacted by β with burning WH coal when rich/lean ratio varies. Under some other conditions, the effects of β display parabolic curve rules, such as NOx emission and burnout of WH coal with load variations. The flaring angle β variation enriches the necessary adjustment methods and flexibility for combustion optimization in engineering applications.
Because the adjustable flaring angle of the burner is composed of rotating multi-flakelets instead of traditional fixed geometry flaring, it is possible to install the adjustable flaring burners on an actual boiler, and control the flaring angle through some mechanical structures, such a pullrod. It is also necessary to apply this burner for solving stable ignition problems under low-load and fuel rich/lean combustion conditions. The combustion experiments are designed and operated according to the similarity rules of experimental fluid. The fuel characteristics, chemical reactions and heat transfer processes are almost the same as the actual conditions. The qualitative results from this work can be directly referred to for actual use. For example, if the fuel rich/lean combustion with this adjustable flaring burner is conducted in a boiler burning WH coal, when the fuel rich/lean ratio needs to augment for lower NOx formation, the burnout may worsen. In this situation, Figure 10 tells us that the flaring angle should simultaneously be adjusted to a larger value, which benefits WH coal burnout, as the hollow blue triangle line shows in Figure 10.
4. Conclusions
The effect of adjustable flaring of swirling burner on fuel rich/lean combustion and variant load combustion was investigated through combustion experiments in a laboratory-scale furnace. The evaluation of ignition, NOx emission and burnout of each test conditions indicates that the ISA flaring angle of burner should adapt different combustion conditions to adjust instead of keeping it fixed, which is necessary for combustion optimization. The primary results can be summarized as follows:
- (1)
- Under fuel rich/lean combustion conditions, burner ISA β variation could promote ignition characteristic temperatures above 200 °C. For ignition improvement it is suggested to reduce β for HL coal but to augment it for WH coal when rich/lean ratio γ increases. NOx emissions are less affected by β than γ, but variation of β has a further reduction effect on NOx emissions than fixed β. Rising β could promote burnout for both coals if γ increases for fuel rich/lean combustion.
- (2)
- Under fuel rich/lean combustion conditions, burner ISA β diminution could promote ignition for both coals when load decreases. Under the same load, the optimal β obtains about 50–100 °C higher ignition characteristic temperature than the worst β condition. Variation of β can reduce NOx emissions by about 50 ppm and enhance burnout about 10% compared with the worst β conditions under the same load.
In conclusion, the optimal β of a burner should vary according to the operating conditions and the specific concerning combustion performance. Finally the suggested β for ignition, NOx emission and burnout with variation of rich/lean ratio and thermal load is summarized as curve group for engineering reference. The detailed rules for more coal types should to be researched in future work.
Author Contributions
Conceptualization, R.L. and Q.Z.; Formal analysis, Y.Z.; Funding acquisition, Y.Z., Y.D. and Q.Z.; Investigation, Y.Z. and R.L.; Methodology, Y.Z. and R.L.; Supervision, Q.Z.; Writing—original draft, R.L.; Writing—review & editing, Y.Z. and Y.D.
Funding
This research was funded by National Science and Technology Major Project of the Ministry of Science and Technology of China (grant number: 2016ZX05017-006-HZ03); Natural Science Foundation of Shaanxi Province of China (grant number: 2017JQ5108); Special Scientific Research Plan of Shaanxi Province Education Department (grant number: 17JK0594); Ministry of Industry and Information Technology Support Project for High-Tech Ships and the Fundamental Research Funds for the Central Universities in Xi’an Jiaotong University.
Conflicts of Interest
The authors declare no conflict of interest. The funders had no role in the design of the study; in the collection, analyses, or interpretation of data; in the writing of the manuscript, and in the decision to publish the results.
Nomenclature
| Variables | |
| a | depth of furnace (m) |
| x, y, z | depth, width and height coordinate of the furnace (m) |
| X, Y, Z | dimensionless of depth, width and height of the furnace (-) |
| V | air ratio |
| n | swirl number |
| α | excess air ratio |
| β | inner secondary air flaring angle (°) |
| w | mass fraction (%) |
| ψ | char burnout |
| Q | thermal load |
| γ | ratio of rich(inner) to lean(outer) for pulverized coal concentration |
| T | temperature |
| Abbreviations | |
| IPA | inner primary air |
| OPA | outer primary air |
| ISA | inner secondary air |
| OSA | outer secondary air |
| Subscripts | |
| 1/2, 3/4 | inner/outer primary air, inner/outer secondary air |
| k | input coal |
| x | char sample |
| opt | optimization |
| ig | ignition |
| max | maximum |
References
- Chang, S.; Zhuo, J.; Meng, S.; Qin, S.; Yao, Q. Clean coal technologies in China: Current status and future perspectives. Engineering 2016, 2, 447–459. [Google Scholar] [CrossRef]
- Guan, G. Clean coal technologies in Japan: A review. Chin. J. Chem. Eng. 2017, 25, 689–697. [Google Scholar] [CrossRef]
- Zhang, L.; He, C.; Yang, A.; Yang, Q.; Han, J. Modeling and implication of coal physical input-output table in China—Based on clean coal concept. Resour. Conserv. Recycl. 2018, 129, 355–365. [Google Scholar] [CrossRef]
- Gaikwad, P.; Kulkarni, H.; Sreedhara, S. Simplified numerical modelling of oxy-fuel combustion of pulverized coal in a swirl burner. Appl. Therm. Eng. 2017, 124, 734–745. [Google Scholar] [CrossRef]
- Fan, W.; Li, Y.; Guo, Q.; Chen, C.; Wang, Y. Coal-nitrogen release and nox evolution in the oxidant-staged combustion of coal. Energy 2017, 125, 417–426. [Google Scholar] [CrossRef]
- Xiouris, C.Z.; Koutmos, P. Fluid dynamics modeling of a stratified disk burner in swirl co-flow. Appl. Therm. Eng. 2012, 35, 60–70. [Google Scholar] [CrossRef]
- Sanmiguel-Rojas, E.; Burgos, M.A.; del Pino, C.; Fernandez-Feria, R. Three-dimensional structure of confined swirling jets at moderately large reynolds numbers. Phys. Fluids 2008, 20, 044104. [Google Scholar] [CrossRef]
- Kryjak, M.; Dennis, J.; Ridler, G. Nox reduction using advanced techniques in a 175mwth multi-fuel corner-fired boiler. Energy Procedia 2017, 120, 689–696. [Google Scholar] [CrossRef]
- Sung, Y.; Lee, S.; Eom, S.; Moon, C.; Ahn, S.; Choi, G.; Kim, D. Optical non-intrusive measurements of internal recirculation zone of pulverized coal swirling flames with secondary swirl intensity. Energy 2016, 103, 61–74. [Google Scholar] [CrossRef]
- Katzer, C.; Babul, K.; Klatt, M.; Krautz, H.J. Quantitative and qualitative relationship between swirl burner operatingconditions and pulverized coal flame length. Fuel Process. Technol. 2017, 156, 138–155. [Google Scholar] [CrossRef]
- Song, M.; Zeng, L.; Chen, Z.; Li, Z.; Kuang, M. Aerodynamic characteristics of a 350-mwe supercritical utility boiler with multi-injection and multi-staging: Effects of the inner and outer secondary air distribution in the burner. J. Energy Inst. 2018, 91, 65–74. [Google Scholar] [CrossRef]
- Wang, Q.; Chen, Z.; Che, M.; Zeng, L.; Li, Z.; Song, M. Effect of different inner secondary-air vane angles on combustion characteristics of primary combustion zone for a down-fired 300-mwe utility boiler with overfire air. Appl. Energy 2016, 182, 29–38. [Google Scholar] [CrossRef]
- Ti, S.; Chen, Z.; Li, Z.; Min, K.; Zhu, Q.; Chen, L.; Wang, Z. Effect of outer secondary air vane angles on combustion characteristics and nox emissions for centrally fuel rich swirl burner in a 600-mwe wall-fired pulverized-coal utility boiler. Appl. Therm. Eng. 2017, 125, 951–962. [Google Scholar] [CrossRef]
- Ti, S.; Chen, Z.; Kuang, M.; Li, Z.; Zhu, Q.; Zhang, H.; Wang, Z.; Xu, G. Numerical simulation of the combustion characteristics and no x emission of a swirl burner: Influence of the structure of the burner outlet. Appl. Therm. Eng. 2016, 104, 565–576. [Google Scholar] [CrossRef]
- Chen, Z.; Wang, Q.; Wang, B.; Zeng, L.; Che, M.; Zhang, X.; Li, Z. Anthracite combustion characteristics and no x formation of a 300 mw e down-fired boiler with swirl burners at different loads after the implementation of a new combustion system. Appl. Energy 2017, 189, 133–141. [Google Scholar] [CrossRef]
- Li, S.; Chen, Z.; Li, X.; Jiang, B.; Li, Z.; Sun, R.; Zhu, Q.; Zhang, X. Effect of outer secondary-air vane angle on the flow and combustion characteristics and nox formation of the swirl burner in a 300-mw low-volatile coal-fired boiler with deep air staging. J. Energy Inst. 2017, 90, 239–256. [Google Scholar] [CrossRef]
- Jing, J.; Li, Z.; Liu, G.; Chen, Z.; Ren, F. Influence of different outer secondary air vane angles on flow and combustion characteristics and nox emissions of a new swirl coal burner. Energy Fuels 2010, 24, 346–354. [Google Scholar] [CrossRef]
- Luo, R.; Zhang, Y.; Li, N.; Zhou, Q.; Sun, P. Experimental study on flow and combustion characteristic of a novel swirling burner based on dual register structure for pulverized coal combustion. Exp. Therm. Fluid Sci. 2014, 54, 136–150. [Google Scholar] [CrossRef]
- Zhou, H.; Yang, Y.; Liu, H.; Hang, Q. Numerical simulation of the combustion characteristics of a low nox swirl burner: Influence of the primary air pipe. Fuel 2014, 130, 168–176. [Google Scholar] [CrossRef]
- Luo, R.; Li, N.; Zhang, Y.; Wang, D.; Liu, T.; Zhou, Q.; Chen, X. Effect of the adjustable inner secondary air-flaring angle of swirl burner on coal-opposed combustion. J. Energy Eng. 2016, 142, 04015018. [Google Scholar] [CrossRef]
- Song, M.; Zeng, L.; Yang, X.; Chen, Z.; Li, Z. Influence of the mass ratio of pulverized-coal in fuel-rich flow to that in fuel-lean flow on the gas/particle flow and particle distribution characteristics in a 600 mwe down-fired boiler. Exp. Therm. Fluid Sci. 2018, 91, 363–373. [Google Scholar] [CrossRef]
- Zeng, L.; Li, Z.; Cui, H.; Zhang, F.; Chen, Z.; Zhao, G. Effect of the fuel bias distribution in the primary air nozzle on the slagging near a swirl coal burner throat. Energy Fuels 2009, 23, 4893–4899. [Google Scholar] [CrossRef]
- Zhou, H.; Ma, W.; Zhao, K.; Yang, Y.; Qiu, K. Experimental investigation on the flow characteristics of rice husk in a fuel-rich/lean burner. Fuel 2016, 164, 1–10. [Google Scholar] [CrossRef]
- Li, Z.; Li, S.; Zhu, Q.; Zhang, X.; Li, G.; Liu, Y.; Chen, Z.; Wu, J. Effects of particle concentration variation in the primary air duct on combustion characteristics and nox emissions in a 0.5-mw test facility with pulverized coal swirl burners. Appl. Therm. Eng. 2014, 73, 859–868. [Google Scholar] [CrossRef]
- Chen, Z.; Li, Z.; Jing, J.; Wang, F.; Chen, L.; Wu, S. The influence of fuel bias in the primary air duct on the gas/particle flow characteristics near the swirl burner region. Fuel Process. Technol. 2008, 89, 958–965. [Google Scholar] [CrossRef]
- Gu, Y.; Xu, J.; Chen, D.; Wang, Z.; Li, Q. Overall review of peak shaving for coal-fired power units in China. Renew. Sustain. Energy Rev. 2016, 54, 723–731. [Google Scholar] [CrossRef]
- Li, S.; Chen, Z.; He, E.; Jiang, B.; Li, Z.; Wang, Q. Combustion characteristics and no x formation of a retrofitted low-volatile coal-fired 330 mw utility boiler under various loads with deep-air-staging. Appl. Therm. Eng. 2017, 110, 223–233. [Google Scholar] [CrossRef]
- Luo, R.; Fu, J.; Li, N.; Zhang, Y.; Zhou, Q. Combined control of secondary air flaring angle of burner and air distribution for opposed-firing coal combustion. Appl. Therm. Eng. 2015, 79, 44–53. [Google Scholar] [CrossRef]
- Beér, J.M.; Chomiak, J.; Smoot, L.D. Fluid dynamics of coal combustion: A review. Prog. Energy Combust. Sci. 1984, 10, 177–208. [Google Scholar] [CrossRef]
- Sung, Y.; Choi, G. Non-intrusive optical diagnostics of co- and counter-swirling flames in a dual swirl pulverized coal combustion burner. Fuel 2016, 174, 76–88. [Google Scholar] [CrossRef]
- Li, Z.; Jing, J.; Chen, Z.; Ren, F.; Xu, B.; Wei, H.; Ge, Z. Combustion characteristics and no x emissions of two kinds of swirl burners in a 300-mwe wall-fired pulverized-coal utility boiler. Combust. Sci. Technol. 2008, 180, 1370–1394. [Google Scholar] [CrossRef]
- Sung, Y.; Moon, C.; Eom, S.; Choi, G.; Kim, D. Coal-particle size effects on no reduction and burnout characteristics with air-staged combustion in a pulverized coal-fired furnace. Fuel 2016, 182, 558–567. [Google Scholar] [CrossRef]
© 2018 by the authors. Licensee MDPI, Basel, Switzerland. This article is an open access article distributed under the terms and conditions of the Creative Commons Attribution (CC BY) license (http://creativecommons.org/licenses/by/4.0/).









