Experimental and Numerical Studies on Flow and Turbulence Characteristics of Impinging Stream Reactors with Dynamic Inlet Velocity Variation
Abstract
1. Introduction
2. Model Description
2.1. Fluid Dynamics Modeling Framework
2.2. Inlet Velocity Variation
2.3. Boundary Conditions
2.4. Simulation Conditions and Grid Test
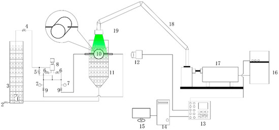
3. Experimental Setup
4. Results and Discussion
4.1. Experimental Verification
4.2. Flow Characteristics of the Flow Field
4.2.1. Velocity Distribution on the Axis
4.2.2. Motion Characteristics of the Impinging Surface
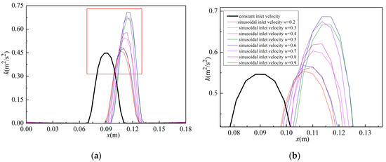
4.3. Turbulence Characteristic Analysis
5. Conclusions
- The outstanding features of the flow field in the impinging stream reactor with dynamic inlet flow patterns are that the impinging surface is instantaneously moving and that the position variation of the impinging surface varies linearly with w every half-period and makes a back-and-forth motion in one period under dynamic inlet velocity conditions.
- Dynamic inflow conditions play an important role in motion characteristic of the impinging surface. The range of motion of the impinging surface increases with an increase in T, A or ∆u. Increasing inlet velocity from either of the two inlets provides continuous and additional energy into the flow field, leading to a more severe impinging force and improving momentum transfer in the impinging zone.
- The turbulence characteristic of the impinging surface is closely related to inlet parameters and L/D. The maximum k(turbulence kinetic energy) of the flow field is still located at the impinging center in impinging stream reactors with dynamic inflow conditions. The mean k of the impingement region increases as A, u0aver, or ∆u increase and decreases with an increase of L/D. Besides, the mean k of the impingement region reaches a maximum value at some T or ∆φ (initial phase difference between two inlet velocities).
- Dynamic inflow conditions brings more intense turbulence into impinging zone with weak mean inlet velocities. Compared with conventional impinging stream reactors with equal mean inlet velocities, impinging stream reactors with dynamic inflow conditions under the same operating conditions can cause more intensely turbulent flows in the impinging zone with an instantaneously moving impinging surface.
- The results presented in this paper should be useful for designing future, optimized impinging stream reactors with more intense turbulence characteristics. Future research should focus on the development of impinging stream reactors with dynamic inflow conditions in practical applications, such as mixing, drying, combustion, etc.
Author Contributions
Funding
Conflicts of Interest
Nomenclature
| Symbol | Comment | Unit |
| k | Turbulence kinetic energy | m2/s2 |
| S | Modulus of mean rate of strain tensor | - |
| ε | Energy dissipation rate | m2/s3 |
| xi, xj | Coordinates | m |
| ∆t | Time step | s |
| T | Period | s |
| A | Amplitude | m/s |
| ρ | Density | kg/m3 |
| ui, uj | Velocity component | m/s |
| g | Gravitational acceleration | m2/s |
| τ | Stress tensors of liquid phase | Pa |
| t | Time | s |
| μ | Dynamic viscosity | kg/(m∙s) |
| μt | Turbulent viscosity | kg/(m∙s) |
| σk | Turbulent Prandtl number for k | - |
| σε | Turbulent Prandtl number for ε | - |
| υ | Kinematic viscosity | m2/s |
| u0 | Constant inlet velocity | m/s |
| u0aver | Average inlet velocity in one period | m/s |
| N | Number of periods, N ≥ 15 | - |
| uL, uR | Left inlet velocity, right inlet velocity | m/s |
| φL, φR | Initial phase of left and right inlet | ° |
| ∆φ | Phase difference | ° |
| ∆u | Inlet velocity difference between both opposed jets | m/s |
| u* | Instantaneous mean velocity of both inlet fluids | m/s |
| u0aver, L | Left mean inlet velocity during one period | m/s |
| u0aver, R | Right mean inlet velocity during one period | mm |
| D | Nozzle diameter | mm |
| L | Impinging spacing | mm |
| w | Degree of completed inflow conditions with dynamic inlet velocity variation in one period, w∈[0,1] | - |
| x | Coordinate of the nozzle axis | m |
| V | Liquid instantaneous velocity magnitude | m/s |
References
- Elperin, I.T. Heat and mass transfer in opposing currents. J. Eng. Phys. 1961, 6, 62–68. [Google Scholar]
- Tamir, A. Impinging-Streams Reactors: Fundamentals and Applications; Elsevier: Amsterdam, The Netherlands, 1994. [Google Scholar]
- Kudra, T.; Mujumdar, A.S. Impingement streams dryers for particles and pastes. Dry. Technol. 1989, 7, 219–266. [Google Scholar] [CrossRef]
- Du, M.; Gong, J.; Chen, W.; Wang, Q. Mathematical Model Based on DSMC Method for Particulate Drying in a Coaxial Impinging Streams Dryer. Dry. Technol. 2015, 33, 646–658. [Google Scholar] [CrossRef]
- Khomwachirakul, P.; Devahastin, S.; Swasdisevi, T.; Soponronnarit, S. Simulation of flow and drying characteristics of high-moisture particles in an impinging streams dryer via CFD-DEM. Dry. Technol. 2016, 34, 403–419. [Google Scholar] [CrossRef]
- Fan, H.L.; Zhou, S.F.; Qi, G.S.; Liu, Y.Z. Continuous preparation of Fe3O4 nanoparticles using impinging streams-rotating packed bed reactor and magnetic property thereof. J. Alloys Compd. 2016, 662, 497–504. [Google Scholar] [CrossRef]
- Fan, H.L.; Zhou, S.F.; Gao, J.; Liu, Y.Z. Continuous preparation of Fe3O4 nanoparticles through Impinging Streams-Rotating Packed Bed reactor and their electrochemistry detection toward heavy metal ions. J. Alloys Compd. 2016, 671, 354–359. [Google Scholar] [CrossRef]
- Berman, Y.; Tanklevsky, A.; Oren, Y.; Tamir, A. Modeling and experimental studies of SO2 absorption in coaxial cylinders with impinging streams: Part I. Chem. Eng. Sci. 2000, 55, 1009–1021. [Google Scholar] [CrossRef]
- Berman, Y.; Tanklevsky, A.; Oren, Y.; Tamir, A. Modeling and Experimental studies of SO2 absorption in coaxial cylinders with impinging streams: Part II. Chem. Eng. Sci. 2000, 55, 1023–1028. [Google Scholar] [CrossRef]
- Liu, Z.; Guo, L.; Huang, T.; Wen, L.; Chen, J. Experimental and CFD studies on the intensified micromixing performance of micro-impinging streams reactors built from commercial T-junctions. Chem. Eng. Sci. 2014, 119, 124–133. [Google Scholar] [CrossRef]
- Krupa, K.; Nunes, M.I.; Santos, R.J.; Bourne, J.R. Characterization of micromixing in T-jet mixers. Chem. Eng. Sci. 2014, 111, 48–55. [Google Scholar] [CrossRef]
- Saien, J.; Moradi, V. Low interfacial tension liquid-liquid extraction with impinging-jets contacting method: Influencing parameters and relationship. J. Ind. Eng. Chem. 2012, 18, 1293–1300. [Google Scholar] [CrossRef]
- Rajaie, E.; Sohrabi, M. Application of the Monte Carlo technique in simulation of flow and modeling the residence time distribution in a continuous two impinging liquid-liquid streams contactor. Chem. Eng. J. 2008, 143, 249–256. [Google Scholar] [CrossRef]
- Wu, D.; Li, J.; Liu, Z.; Zheng, C. Numerical study of particle behavior in laminar axisymmetric opposed-jet flows. Powder Technol. 2015, 270, 176–184. [Google Scholar] [CrossRef]
- Du, M.; Zhao, C.; Zhou, B.; Guo, H.; Hao, Y. A modified DSMC method for simulating gas–particle two-phase impinging streams. Chem. Eng. Sci. 2011, 66, 4922–4931. [Google Scholar] [CrossRef]
- Ghasemi, N.; Sohrabi, M.; Khosravi, M.; Mujumdar, A.S.; Goodarzi, M. CFD simulation of solid–liquid flow in a two impinging streams cyclone reactor:Prediction of mean residence time and holdup of solid particles. Chem. Eng. Process. 2010, 49, 1277–1283. [Google Scholar] [CrossRef]
- Choicharoen, K.; Devahastin, S.; Soponronnarit, S. Numerical Simulation of Multiphase Transport Phenomena during Impinging Streams Drying of a Particulate Material. Dry. Technol. 2012, 30, 1227–1237. [Google Scholar] [CrossRef]
- Metzger, L.; Kind, M. The influence of mixing on fast precipitation processes—A coupled 3D CFD-PBE approach using the direct quadrature method of moments (DQMOM). Chem. Eng. Sci. 2017, 169, 284–298. [Google Scholar] [CrossRef]
- Metzger, L.; Kind, M. On the mixing in confined impinging jet mixers-Time scale analysis and scale-up using CFD coarse-graining methods. Chem. Eng. Res. Des. 2016, 109, 464–476. [Google Scholar] [CrossRef]
- Erkoç, E.; Fonte, C.P.; Dias, M.M.; Lopes, J.C.; Santos, R.J. Numerical study of active mixing over a dynamic flow field in a T-jets mixer—Induction of resonance. Chem. Eng. Res. Des. 2016, 106, 74–91. [Google Scholar] [CrossRef]
- Li, W.F.; Yao, T.L.; Liu, H.F.; Wang, F.C. Experimental Investigation of Flow Regimes of Axisymmetric and Planar Opposed Jets. AIChE J. 2011, 57, 1434–1446. [Google Scholar] [CrossRef]
- Li, J.; Wang, H.; Xiong, Y.; Jiang, G.; Liu, Z.; Zheng, C. Experimental investigation on turbulence modification in a dilute gas-particle axisymmetric opposed jets flow. Chem. Eng. J. 2016, 286, 76–90. [Google Scholar] [CrossRef]
- Wang, S.J.; Mujumdar, A.S. Flow and mixing characteristics of multiple and multi-set opposing jets. Chem. Eng. Process. 2007, 46, 703–712. [Google Scholar] [CrossRef]
- Sun, W.; Zhong, W.; Zhang, Y. LES-DPM simulation of turbulent gas-particle flow on opposed round jets. Powder Technol. 2015, 270, 302–311. [Google Scholar] [CrossRef]
- Huai, X.L.; Peng, X.F.; Wang, G.X.; Liu, D.Y. Multi-phase flow and drying characteristics in a semi-circular impinging streams dryer. Int. J. Heat Mass Transf. 2003, 46, 3061–3067. [Google Scholar] [CrossRef]
- Zhang, W.; Chai, Z.; Shi, B.; Guo, Z. Lattice Boltzmann study of flow and mixing characteristics of two-dimensional confined impinging streams with uniform and non-uniform inlet jets. Comput. Math. Appl. 2013, 65, 638–647. [Google Scholar] [CrossRef]
- Metzger, L.; Kind, M. On the transient flow characteristics in Confined Impinging Jet Mixers-CFD simulation and experimental validation. Chem. Eng. Sci. 2015, 133, 91–105. [Google Scholar] [CrossRef]
- Kleingeld, A.W.; Lorenzen, L.; Botes, F.G. The development and modelling of high-intensity impinging streams jet reactors for effective mass transfer in heterogeneous systems. Chem. Eng. Sci. 1999, 54, 4991–4995. [Google Scholar] [CrossRef]
- Ahmed, Z.U.; Al-Abdeli, Y.M.; Matthews, M.T. The effect of inflow conditions on the development of non-swirling versus swirling impinging turbulent jets. Comput. Fluids 2015, 118, 255–273. [Google Scholar] [CrossRef]
- Li, W.; Sun, Z.; Liu, H.; Wang, F.; Yu, Z. Experimental and numerical study on stagnation point offset of turbulent opposed jets. Chem. Eng. J. 2008, 138, 283–294. [Google Scholar] [CrossRef]
- Wang, S.; Li, X.; Fang, J.; Zhao, J.; Liu, L.; Liu, Y.; Liu, Y. Simulations of flow behavior of oscillatory opposed dilute gas–solid jets. Powder Technol. 2015, 284, 595–603. [Google Scholar] [CrossRef]
- Ghadi, S.; Esmailpour, K.; Hosseinalipour, S.M.; Mujumdar, A. Experimental study of formation and development of coherent vertical structures in pulsed turbulent impinging jet. Exp. Therm. Fluid Sci. 2016, 74, 382–389. [Google Scholar] [CrossRef]
- Wu, C.; Cheng, Y.; Ding, Y.; Jin, Y. CFD-DEM simulation of gas-solid reacting flows in fluid catalytic cracking (FCC) process. Chem. Eng. Sci. 2010, 65, 542–549. [Google Scholar] [CrossRef]























| Flow Pattern | uL | Notes |
|---|---|---|
| Sinusoidal inlet velocity | uR = 2um − uL ≥ 0, where a1, a2, b1, b2, c1, c2, c3, d1 and d2 are constant; uL reaches a maximum value at t = T/4 and a minimum value at t = 3T/4 for all inlet velocity flow patterns. The maximum and minimum value and T are equal for different inlet velocity flow patterns. | |
| Parabolic inlet velocity | ||
| Step inlet velocity | ||
| Triangular inlet velocity | ||
| Constant inlet velocity (conventional impinging streams) |
| Parameter | CFD Model | Experiment | Inlet Velocity Flow Pattern |
|---|---|---|---|
| um (m/s) | 1.25, 1.4, 1.5 | 1.25, 1.4, 1.5 | Constant |
| T (s) | 0.2, 0.3, 0.4, 0.5, 0.6 | 0.2, 0.3, 0.4, 0.5, 0.6 | Sinusoidal, Step |
| A (m/s) | 0.15,0.2, 0.25, 0.35, 0.4 | 0.15,0.2, 0.25, 0.35, 0.4 | Sinusoidal, Step |
| ∆φ | T/12, T/6, T/4, T/3, 5T/12, T/2 | - | Sinusoidal |
| Property/Symbol | Unit | Value |
|---|---|---|
| Water density/ρ | kg/m3 | 998.2 |
| Water viscosity/μ | kg/m∙s | 0.001003 |
| Nozzle diameter/D | mm | 20 |
| Impinging distance/L | mm | 80, 100, 120, 140, 160 |
© 2018 by the authors. Licensee MDPI, Basel, Switzerland. This article is an open access article distributed under the terms and conditions of the Creative Commons Attribution (CC BY) license (http://creativecommons.org/licenses/by/4.0/).
Share and Cite
Liu, X.; Yue, S.; Lu, L.; Gao, W.; Li, J. Experimental and Numerical Studies on Flow and Turbulence Characteristics of Impinging Stream Reactors with Dynamic Inlet Velocity Variation. Energies 2018, 11, 1717. https://doi.org/10.3390/en11071717
Liu X, Yue S, Lu L, Gao W, Li J. Experimental and Numerical Studies on Flow and Turbulence Characteristics of Impinging Stream Reactors with Dynamic Inlet Velocity Variation. Energies. 2018; 11(7):1717. https://doi.org/10.3390/en11071717
Chicago/Turabian StyleLiu, Xueqing, Song Yue, Luyi Lu, Wei Gao, and Jianlan Li. 2018. "Experimental and Numerical Studies on Flow and Turbulence Characteristics of Impinging Stream Reactors with Dynamic Inlet Velocity Variation" Energies 11, no. 7: 1717. https://doi.org/10.3390/en11071717
APA StyleLiu, X., Yue, S., Lu, L., Gao, W., & Li, J. (2018). Experimental and Numerical Studies on Flow and Turbulence Characteristics of Impinging Stream Reactors with Dynamic Inlet Velocity Variation. Energies, 11(7), 1717. https://doi.org/10.3390/en11071717
